踪征雪1,2,丁恩杰2,刘燕1,2,张丙鑫1,2,赵端2
(1.矿山物联网应用技术国家地方联合工程实验室,江苏 徐州 221008;2.中国矿业大学 信息与控制工程学院,江苏 徐州 221008)
摘要:针对目前能量收集技术能够收集到的可用能量受限,导致无线协作网络中继节点处易出现能量短板的问题,为了避免整个网络因中继节点大量死亡而瘫痪,提出了一种基于能量收集技术的无线协作网络中继选择方案,即联合最大能量和最大数据传输链路的中继选择方案。首先,基于节点的能量收集状况,选出每跳中能量最大的节点进行解码转发;然后,结合每连续两跳的链路传输状态,选出与源节点和目的节点之间的数据传输信道最优者作为中继节点。结合Nakagami-m信道衰落模型,将该方案与随机选择方案、最大数据链路信道增益(MaDs)方案和基于中继-窃听链路最小信道增益(BNBF)方案进行对比分析,结果表明:在满足收集的能量足够用于下一时隙能量收集和数据传输的前提下,用于能量收集的比例越小,网络中断概率越小;联合最大能量和最大数据传输链路的中继选择方案在网络中断性能方面优于其他方案,其中断概率随信噪比的增大而减小,特别是当平均信噪比为38 dB时,网络中断概率降到10-5。
关键词:矿山物联网;无线协作网络;能量收集;中继节点;中继选择;网络中断性能
能量是矿山物联网系统正常运行必不可少的条件之一[1],能量收集技术已成为解决矿山无线协作网络寿命受限于能量约束问题的一种可行技术[2-3]。矿山无线协作网络中的传感器节点通过感知、收集耗散在周围环境中的能量,可实现网络的自我可持续,有效减小网络对电池供电的依赖[4-5]。目前能量收集技术能够收集到的可用能量受限,只能供小功率设备使用,因此,能量的应用和管理十分重要。
在无线协作网络中,中继节点的能耗很大,整个网络很容易因为中继节点的死亡而瘫痪。针对该问题,学者们提出各种基于瑞利衰落信号传输模型的中继选择方案[6]。文献[7]探讨了无线协作网络中能量与速率的关系,并证明最大能量与信息速率之间可以达到很好的平衡。文献[8]比较了多跳协作网络中基于最大数据链路信道增益(Maximum Channel Gain of Data Links,MaDs)的中继选择和基于中继-窃听链路最小信道增益(Minimum Channel Gain of Relays-Eavesdropper Links,MiEs)的中继选择,得出MaDs方案优于MiEs方案。文献[9]提出了一种基于最近-最远用户(Best-Near Best-Far,BNBF)的中继选择方案,在瑞利衰落条件下,BNBF方案优于随机选择方案。然而,瑞利衰落信号传输模型过于理想化,Nakagami-m衰落模型更贴合实际衰落情况,因此,文献[10-13]在Nakagami-m衰落模型的基础上分析并导出了无线网络系统的中断性能。
本文在上述研究基础上,结合Nakagami-m衰落模型,提出了一种基于能量收集技术的无线协作网络中继选择方案,即联合最大能量和最大数据传输链路的中继选择方案,以提高井下数据传输的可靠性。
考虑到无线协作网络中多跳的复杂性,以简单的两跳网络为例,网络模型如图1所示。两跳网络由1个源节点(S)、N个中继节点(R1—RN)和M个目的节点(D1—DM)组成。当网络拓展到两跳以上时,两跳网络中的目的节点就变成中继节点,因此,对目的节点的选择也是对中继的选择。

图1 无线协作网络模型
Fig.1 Wireless cooperative network model
假设所有中继节点都没有嵌入式能源供应,从发射功率为P的源节点收集能量,用于数据传输和下一次能量收集。此外,所有节点都配备有单天线并以全双工解码转发模式操作,所有信道都受准静态独立同分布的Nakagami-m衰落的影响,衰落严重程度用m表示,并且每个接收节点都有完整的信道增益状态信息。平均信道增益可表示为
(1)
式中:
为节点I到节点J的信道增益;L为参考距离d0处的路径损耗;dIJ为节点I和节点J之间的距离;β为损耗指数。
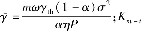
能量收集和信号传输功率分配机制如图2所示。用α(0<α<1)表示用于下一时隙能量收集工作的能量比例,η(0<η<1)表示能量转换效率,则每个工作时隙T中用于能量收集的功率为αηP,用于信息传输的功率为(1-α)ηP。

图2 能量收集和信号传输功率分配机制
Fig.2 Power allocation mechanism of energy collection and signal transmission
源节点发送的信号x一部分被内部电路转换为能量,另一部分通过中继解码转发。第i个中继节点Ri将接收信号重新编码转发至目的节点。节点Ri接收的信号yRi及其收集的能量ER(i)分别为
(2)
ER(i)=αηP
T
(3)
式中nRi为节点Ri处的加性高斯白噪声,服从均值为0、方差为σ2的高斯分布。
相比于数据传输的能耗,源和中继的电路能耗等能耗非常小,因此可以忽略不计,故假设中继节点收集的能量用于信号处理,则目的节点Dj接收的来自中继节点Ri的信号为
(4)
式中nDj为节点Dj处的加性高斯白噪声,服从均值为0、方差为σ2的高斯分布。
节点Ri和Dj的瞬时信噪比分别为
(5)
(6)
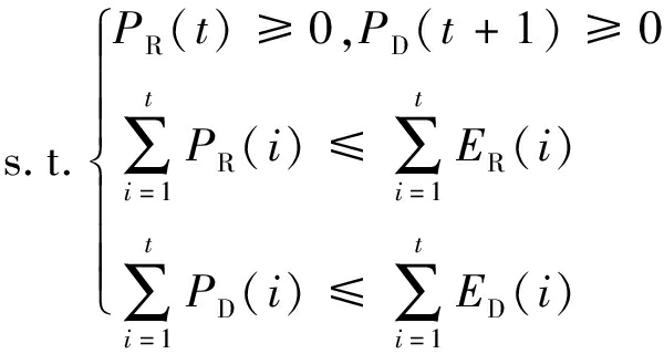
设在第t个时隙中,中继的发送功率为PR(t),则在中继可靠解码该消息时有PR(t)≤P,同样,目的节点功率PD(t+1)必须满足PD(t+1)≤PR(t+1),可得中继网络的最低功率为

(7)
如果所收集的能量可使式(7)存在最优功率
和
则能够满足多中继网络的传输。反之,如果无论t取何值,当前功率都不能保证网络正常运行,那么就会通过减小当前功率的方法使得其值满足式(7),而不会降低第t个时隙源消息的可实现传输速率。因此,式(7)总存在最优功率,故而收集的能量能够支持中继的正常工作。
联合最大能量和最大数据传输链路是指在每个数据传输时隙中,选择能量收集最多的中继节点来转发数据,再从这些节点中挑选出与源节点和目的节点之间的数据传输信道最优者作为中继节点。由式(3)可知,影响能量收集的因素包括能量转换效率、信道增益等。信道增益越大,在其他条件不变的情况下收集的能量就越大。数据传输链路状态好坏的直接表现是接收数据的信噪比。信噪比越高,链路传输的状态越好,信道传输的有效数据就越多。两跳链路中只要有一跳传输中断,网络就中断传输,因此,网络的最大信噪比取决于两跳传输中信噪比最小的一跳,选择中继节点时除了考虑收集的能量和源-中继信道外,还要考虑中继-目的信道。该中继选择方案的数学表达式为
(8)
首先基于式(5)、式(6)计算出源-中继信道和中继-目的信道的瞬时信噪比,然后联合式(8)选出连续两跳中的最佳中继,最后判断当前数据传输的信噪比γk(k=1,2,…,K,K∈(N,M))是否满足系统要求,若满足则传输成功,否则传输中断,其流程如图3所示,其中γth为系统需求的信噪比。此时,连续两跳的瞬时信噪比可表示为
(9)

图3 联合最大能量和最大数据传输链路的中继选择流程
Fig.3 Relay selection process combining maximum energy and maximum data transmission link
中断概率可以很好地表达通信链路的容量情况,是网络性能的重要评价标准。当数据传输速率小于目标速率时,数据传输效果不理想,认为网络传输出现中断。网络中断概率可表示为[12]
Pout=Pr[log2(1+γ)<Bth],
(10)
式中:γ为数据信噪比;Bth为目标数据速率;Pr[·]表示满足一定条件时的概率;γth=2Bth-1。
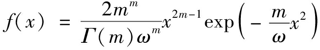
Nakagami-m衰落模型采用Gamma分布密度函数拟合实验数据,对实测数据具有很好的拟合性。在Nakagami-m衰落模型中,接收信号服从m分布,其概率密度函数为[14]
(11)
式中:ω为平均功率;Γ(·)为伽马函数。
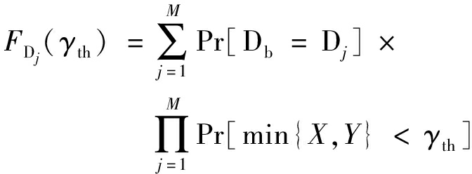
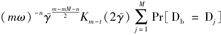
m值越大,对应的信道衰落越小[15]。结合式(10)可知,联合最大能量和最大数据传输链路的中继选择方案的中断概率Pout为
Pout=1-[1-FRi(γth)][1-FDj(γth)]
(12)
(13)

(14)

(15)
式中:FRi(γth)和FDj(γth)分别为γRi和γDj的累积分布函数;Rb=Ri,Db=Dj表示满足条件的节点Rb,Db分别被选为最佳中继和目的节点。
式(13)可通过积分操作来计算:
FRi(γth)=![]()
N1-mN-uΓ(mN+u)
(16)
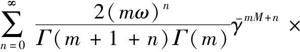
式(14)等号右边包含2个部分,其中第1部分可通过积分操作来计算:
![]()
![]()
M1-mM-uΓ(mM+u)
(17)
式(14)等号右边第2部分计算公式为
1-[1-FX(γth)][1-FY(γth)]
(18)
通过对密度函数积分,可得出式(18)中累计分布函数FX(γth)和FY(γth)表达式为
FX(γth)=![]()
(19)
(20)
式中:
表示第二类(m-t)阶的贝塞尔函数。
将FRi(γth)和FDj(γth)代入式(12)中便可得出中断概率Pout。
设Rth=1 bit/s,β=3,η=0.7,d0=1 m,L=-10,对中继选择方案进行Monte Carlo模拟,并将本文方案与MaDs方案和BNBF方案作比较。其中,MaDs方案依据信道增益最大原则实现最佳中继的选择,BNBF方案是在对信号和信道状态信息估算之前进行最佳中继选择的。
平均信噪比为30 dB、信道衰落严重度为2时各方案的中断概率如图4所示。可以看出,网络中断概率是α的凹函数,因为网络需要更多的能量进行数据传输,所以当α>0.25时,所有方案的网络中断概率值达到饱和;当α<0.25时,本文方案、MaDs方案和BNBF方案的中断概率值都低于随机选择方案的中断概率值;特别是当α越接近0时,3种方案的中断概率值越低,这是因为随机选择方案没有考虑能量对节点的影响。因此,在满足收集的能量足够用于下一时隙能量收集和数据传输的前提下,α越小越好。

图4 平均信噪比为30 dB,m=2时各方案的中断概率
Fig.4 Interruption probability of each scheme when the average signal-to-noise ratio is 30 dB andm=2
以随机选择方案为基准,信道衰落严重度为2,α=0.2时各方案的中断概率如图5所示。

图5m=2,α=0.2时各方案的中断概率
Fig.5 Interruption probability of each scheme whenm=2 andα=0.2
从图5可看出,随机选择方案的网络中断性能优于MaDs方案和BNBF方案。这是因为实际应用中数据传输受衰落信道的影响相对较大,基于数据传输链路的优劣选择最佳中继时,中断概率会随着衰落信道影响的增加而增加,而随机选择方案并不依据数据传输链路的优劣选择最佳中继。随着信噪比的增加,本文方案的中断性能越来越优于其他选择方案,特别是当平均信噪比为38 dB时,网络中断概率降到10-5。这是因为MaDs方案和BNBF方案选择最佳中继时没有考虑能量对节点的影响,随机选择方案也没有联合最大能量和最大数据传输链路,而本文方案能较好地权衡最大数据传输链路和最大能量,所以中断性能优于其他方案。
平均信噪比为30 dB,α=0.2时各方案的中断概率如图6所示。

图6 平均信噪比为30 dB,α=0.2时各方案的中断概率
Fig.6 Interruption probability of each scheme when average signal-to-noise ratio is 30 dB andα=0.2
从图6可看出,m<1时,BNBF方案、随机选择方案和本文方案的网络中断概率与衰落严重度呈正相关;而当m>1时,随着衰落严重度的增加,所有方案的网络中断概率呈稳定状态,且本文方案的网络中断概率始终小于其他方案。也就是说,当数据传输链路状况很差的时候,通过本文方案依然可以很好地选出最佳中继,使网络中断概率保持在较低值。
在无线协作网络中引入能量收集技术,以减小中继节点死亡率,延长整个网络的使用寿命。提出了一种联合最大能量和最大数据传输链路的中继选择方案,结合Nakagami-m衰落信道,通过Monte Carlo仿真分析了网络的中断性能。仿真分析结果表明,在满足收集的能量足够用于下一时隙能量收集和数据传输的前提下,用于能量收集的比例越小,网络中断概率越小;本文方案在网络中断性能方面优于随机选择方案、MaDS方案和BNBF方案,在Nakagami-m衰落信道的影响下,能够较好地选出最佳中继节点,使网络中断概率保持在较低水平。
参考文献(References):
[1] 丁恩杰,赵志凯.煤矿物联网研究现状及发展趋势[J].工矿自动化,2015,41(5):1-5.
DING Enjie,ZHAO Zhikai.Research advances and prospects of mine Internet of things[J].Industry and Mine Automation,2015,41(5):1-5.
[2] TAN J,LIU W,WANG T,et al.An adaptive collection scheme-based matrix completion for data gathering in energy-harvesting wireless sensor networks[J].IEEE Access,2019,7:6703-6723.
[3] BARGHI H,AZHARI S V.Joint energy sustainability and quality of service framework providing soft guarantees for energy harvesting wireless mesh networks[J].Wireless Personal Communications,2018,105:37-60.
[4] MUKHERJEE M,SHU L,PRASAD R V,et al.Sleep scheduling for unbalanced energy harvesting in industrial wireless sensor networks[J].IEEE Communications Magazine,2019,57(2):108-115.
[5] AKHTAR F,REHMANI M H.Energy harvesting for self-sustainable wireless body area networks[J].IT Professional,2017,19(2):32-40.
[6] DO T N,DA COSTA D B,DUONG T Q,et al.Exploiting direct links in multiuser multirelay SWIPT cooperative networks with opportunistic scheduling[J].IEEE Transactions on Wireless Communications,2017,16(8):5410-5427.
[7] XIONG Ke,WANG Beibei,LIU K J R.Rate-energy region of SWIPT for MIMO broadcasting under nonlinear energy harvesting model[J].IEEE Transactions on Wireless Communications,2017,16(8):5147-5161.
[8] NGUYEN S Q,KONG H Y.Exact outage analysis of the effect of co-channel interference on secured multi-hop relaying networks[J].International Journal of Electronics,2016,103(11):1822-1838.
[9] DO T N,DA COSTA D B,DUONG T Q,et al.A BNBF user selection scheme for NOMA-based cooperative relaying systems with SWIPT[J].IEEE Communications Letters,2016,21(3):664-667.
[10] ANH P V T,BAO V N Q,LE K N.On the performance of wireless energy harvesting TAS/MRC relaying networks over Nakagami-m fading channels[C]//2016 3rd National Foundation for Science and Technology Development Conference on Information and Computer Science,2016.
[11] LE N P.Throughput analysis of power-beacon assisted energy harvesting wireless systems over non-identical Nakagami-mfading channels[J].IEEE Communications Letters,2018,22(4):840-843.
[12] 李兴旺,李静静,靳进,等.Nakagami-m衰落下中继系统性能分析[J].西安电子科技大学学报,2018,45(3):123-128.
LI Xingwang,LI Jingjing,JIN Jin,et al.Performance analysis of Nakagami-mfading relay system[J].Journal of Xidian University,2018,45(3):123-128.
[13] 李婷婷,雷宏江,赵辉,等.独立不同分布Nakagami-m信道下选择合并分集信噪比的统计特性及其应用[J].中国科学:信息科学,2017,47(4):507-515.
LI Tingting,LEI Hongjiang,ZHAO Hui,et al.On the statistics of the outcome SNR of selective combiner over i.n.d.Nakagami-mchannels and its applications[J].Scientia Sinica(Informationis),2017,47(4):507-515.
[14] ALEXANDROPOULOS G C,PEPPAS K P.Secrecy outage analysis over correlated composite Nakagami-m/Gamma fading channels[J].IEEE Communications Letters,2018,22(1):77-80.
[15] WAN D,WEN M,FEI J,et al.Cooperative NOMA systems with partial channel state information over Nakagami-mfading channels[J].IEEE Transactions on Communications,2018,66(3):947-958.
ZONG Zhengxue1,2,DING Enjie2,LIU Yan1,2,ZHANG Bingxin1,2,ZHAO Duan2
(1.The National and Local Joint Engineering Laboratory of Internet Application Technology on Mine, Xuzhou 221008, China; 2.School of Information and Control Engineering, China University of Mining and Technology, Xuzhou 221008, China)
Abstract:In view of problem that available energy collected by current energy collection technologies is limited which leads to energy shortboards at relay nodes in wireless cooperative networks, in order to avoid paralysis of the entire network due to large number of deaths of relay nodes, a relay selection scheme in wireless cooperative networks based on energy collection technology, namely a relay selection scheme for combined maximum energy and maximum data transmission link was proposed.First, based on energy collection status of the nodes, the node with the highest energy in each hop is selected for decoding and forwarding; then, based on link transmission status of each two consecutive hops, the relay node is selected which can optimize the data transmission channel between the source node and the destination node.Combined with Nakagami-mchannel fading model, the proposed scheme is compared with the random selection scheme, MaDs scheme and BNBF scheme.The results show that under the premise that the collected energy is sufficient for energy collection and data transmission in the next time slot, the smaller the proportion of energy collection used, the smaller the probability of network interruption; the relay selection scheme that joints maximum energy and maximum data transmission link is superior to other schemes in terms of network interruption performance, its interruption probability decreases as the signal-to-noise ratio increases, especially when the average signal-to-noise ratio is 38 dB, the network interruption probability drops to 10-5.
Key words:mine Internet of things; wireless cooperative network; energy collection; relay node; relay selection; network interruption performance
中图分类号:TD655.3
文献标志码:A
收稿日期:2019-09-27;修回日期:2020-03-12;责任编辑:胡娴。
基金项目:“十三五”国家重点研发计划项目(2017YFC0804400)。
作者简介:踪征雪(1993-),女,江苏徐州人,硕士研究生,主要研究方向为矿山物联网能量收集与管理,E-mail:zhengxuezong@sina.cn。
引用格式:踪征雪,丁恩杰,刘燕,等.基于能量收集技术的无线协作网络中继选择[J].工矿自动化,2020,46(3):49-54.
ZONG Zhengxue,DING Enjie,LIU Yan,et al.Relay selection in wireless cooperative networks based on energy collection technology[J].Industry and Mine Automation,2020,46(3):49-54.
文章编号:1671-251X(2020)03-0049-06
DOI:10.13272/j.issn.1671-251x.17514