华明国1, 姚邦华2, 李建伟3
(1.潞安集团 余吾煤业有限责任公司, 山西 长治 046100; 2.河南理工大学 安全科学与工程学院, 河南 焦作 454000; 3.山西晋煤晟泰能源有限公司, 山西 晋城 048000)
摘要:针对目前水力冲孔技术研究较少考虑倾斜煤层水力冲孔卸压范围随方向变化的特点及煤层倾角对水力冲孔卸压有效半径影响的问题,以某煤矿3号煤层为研究对象,利用多物理场耦合数值模拟软件COMSOL Multiphysics 对倾斜煤层水力冲孔有效影响半径进行了数值模拟,研究了不同方向上的钻孔有效抽采半径。数值模拟结果表明:在冲孔作用下,抽采影响范围随抽采时间的增加而不断扩大,但扩展速度随时间下降; 在冲孔卸压作用下,煤层渗透性大大增加,钻孔周边影响范围呈近似椭圆形分布; 连续抽采90 d后,上部方向的影响半径为6 m左右,下部方向的影响半径为4 m左右,水平方向的影响半径为5 m左右;为了确保抽采达标,该煤层水力冲孔钻场横向钻孔布置间距设定为3.5 m左右,纵向钻孔布置间距为4.0 m左右。该研究结果对于优化水力冲孔工艺参数、指导抽采钻孔的准确布置、提升矿井的瓦斯治理效果具有重要的现实意义。
关键词:煤炭开采; 倾斜煤层; 瓦斯抽采钻孔; 水力冲孔; 有效影响半径; 煤体变形-渗流气固耦合模型
水力冲孔依靠高压水的冲击能力, 在煤体中形成一个大尺寸的水力孔洞,造成孔周围煤体充分卸压,从而提高煤层瓦斯渗透率,大幅度释放瓦斯,以达到消突目的。近年来,水力冲孔技术在煤层增透方面得到了广泛的应用[1-3],相关学者开展了大量研究工作。理论研究方面,文献[4-6]基于流变力学理论,分析了冲孔钻孔周围煤岩的蠕变-渗流行为,并得到了孔径和渗透率的时空演化规律。文献[7]通过理论分析,认为冲孔将煤体冲出的必要条件是冲孔压力需高于煤体单轴抗压强度。在实验研究方面,文献[8-9]通过水力冲孔物理模拟实验平台,考虑冲孔压力、钻杆转动、煤层强度等影响因素,开展了相应的物理模拟研究。在数值模拟研究方面,文献[10]利用FLAC3D对水力冲孔围岩径向应力、应变分布等特征进行了分析。基于水力冲孔卸压半径的实测数据,文献[11]利用 RFPA2D-Flow对冲孔围岩应力分布及透气性系数变化等进行了数值模拟。上述研究对于分析冲孔卸压煤体变形、渗流规律、揭示增透机理具有重要意义。水力冲孔技术的核心问题是冲孔的有效影响半径研究。通过数值模拟方法对水力冲孔有效影响半径进行研究具有重要意义。文献[12]通过模拟不同出煤量的水力冲孔有效影响半径变化,得出水力冲孔有效影响半径随冲出煤量和抽放时间的增加而增加的结论。文献[13]模拟得出抽采有效影响半径随冲出煤量的增加而逐渐增大,且等量单孔扩煤量增加到一定程度时,抽采有效影响半径增加的幅度减小的结论。但是上述研究均没有考虑煤层倾角对于水力冲孔卸压有效半径的影响,对于冲孔后煤层的倾向和走向不同卸压范围及程度等研究较少。鉴此,本文在岩石力学、渗流力学等理论的基础上,建立了水力冲孔的煤体变形-渗流气固耦合模型,利用多物理场耦合数值模拟软件COMSOL Multiphysics 对倾斜煤层水力冲孔有效影响半径进行了数值模拟,研究了不同方向上的钻孔有效抽采半径,研究结果对于优化水力冲孔工艺参数、指导抽采钻孔的准确布置、提升矿井瓦斯治理效果具有现实意义。
瓦斯在煤层中的流动过程中包括了煤的力学变形、流体流动及吸附作用等多物理场耦合作用[14]。首先,瓦斯在煤层中吸附和流动会改变煤层的应力状态,煤层会发生相应的变形;煤层变形后孔隙率会发生改变,进而会改变煤层的渗透率,最终会影响瓦斯的吸附和流动。因此,卸压煤层变形和瓦斯流动是一个典型的气固耦合过程。本节基于岩石力学、渗流力学等理论,建立煤层的变形方程及瓦斯渗流方程,为后续的数值模拟打下理论基础。
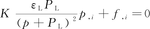
用张量表示的煤体平衡微分方程为
Gui,kk+
uk,ki-αp,i-
(1)
式中:G为剪切模量;u为煤体位移;v为煤体泊松比;α为 Biot系数,α=1-K/Ks,K为煤的体积模量,Ks为煤体骨架的体积模量;p为瓦斯压力;εL为Langmuir体积应变;PL为Langmuir压力常数;f为体积力。
αp,i反映了瓦斯压力对煤体变形的影响;
反映了瓦斯吸附对煤体变形的影响。
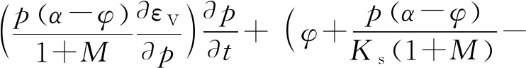
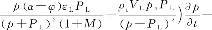
瓦斯渗流方程为
(2)
式中:
为煤的体积应变,
为煤层孔隙率;ρc为煤层密度;pa为大气压力;VL为Langmuir体积常数;k为渗透率;μ为瓦斯动力黏度系数。
式(1)和式(2)即为煤层抽采的煤层变形-瓦斯渗流方程。可见,方程中不但包含了煤层变形、瓦斯渗流,而且考虑了瓦斯的吸附解吸等的影响。
研究矿井为山西潞安集团某矿。该矿主要含煤地层为山西组和太原组。其中山西组含煤4层,主采3号煤层位于本组中下部,为全区稳定可采煤层。煤层顶板为泥岩、粉砂质泥岩,局部为细砂岩。底板为泥岩、粉砂岩。煤层厚度为5~7.3 m,平均厚度为6 m。煤层普氏系数实测结果为0.41~0.51,平均原始瓦斯含量为8.5 m3/t,瓦斯压力为0.12~0.66 MPa;钻孔瓦斯流量衰减系数为0.08~0.25 d-1,透气性系数为0.5~1.7 m2/(MPa2·d),煤层透气性系数属可以抽放和难抽煤层。一般采用普通顺层钻孔对回采工作面进行预抽,钻孔施工工程量较大,流量衰减快,抽采效率低,导致抽采达标时间较长。为增加煤层透气性,提高钻孔抽采流量,快速降低煤体瓦斯含量,部分区域采用水力冲孔等方式进行煤层增透。
根据矿井相关测试资料,研究区域工作面煤层倾角为20°左右,属于中倾斜煤层。瓦斯含量为9.5 m3/t,其中可解吸瓦斯含量为7.0 m3/t,残存瓦斯含量WCC(即常压不可解吸瓦斯含量)为2.5 m3/t。由于回采工作面设计日产量大于10 000 t,根据《煤矿瓦斯抽采达标暂行规定》(安监总煤装〔2011〕163号)及AQ 1027—2006《煤矿瓦斯抽采规范》中的相关要求,该工作面抽采达标时的可解吸瓦斯含量Wj应不大于4.0 m3/t,根据此含量值进行计算,即将抽采后的可解吸瓦斯含量降低到4.0 m3/t时的抽采率为
(3)
综上,该矿抽采达标时的煤层可解吸瓦斯含量应由9.5 m3/t降至4.0 m3/t以下,则抽采达标时3号煤层残余瓦斯含量WCY=Wj+WCC,经计算,WCY≤6.5 m3/t。利用间接法计算出对应的残余瓦斯压力PCY=0.28 MPa,也即抽采达标的临界瓦斯压力为0.28 MPa。
基于包含煤层变形、气体扩散渗流、气体吸附及气体渗流的变形-渗流耦合模型,根据研究对象所处地质条件,利用多物理场耦合数值模拟软件COMSOL Multiphysics建立了对应的数值计算模型,如图1所示。模型尺寸为80 m×40 m×50 m,煤层埋深H为400 m,厚度为1.8 m,倾角为20°。巷道位于模型中部靠左,抽采钻孔从巷道向右上方打孔,钻孔孔深为28 m,钻孔与水平方向夹角为20°。模型应力边界条件:上边界为应力边界,应力为10 MPa,左右两边约束水平方向位移,前后面约束与其垂直方向的位移,下边界约束垂直方向位移。瓦斯渗流边界条件:巷道周边边界压力为大气压,抽采钻孔未封孔段压力为抽采负压,其余边界均为无渗流边界。初始煤层瓦斯压力为0.56 MPa左右。煤层主要参数见表1。

图1 数值计算模型
Fig.1 Numerical calculation model
表1 煤层主要参数
Table 1 Main parametersof coal seam

冲孔后煤层瓦斯压力三维分布云图如图2所示,冲孔后不同时刻煤层瓦斯压力分布云图如图3所示。从图2和图3可看出,在钻孔抽采作用下,随着抽采时间(t)的增加,抽采影响范围越来越大,且由于冲孔对煤层的卸压作用,使得煤层渗透性大大增加,钻孔周边影响范围呈椭圆形分布。从图3还可看出,瓦斯抽采时间为30 d和90 d时的抽采影响范围相差不大,表明瓦斯抽采前期影响半径扩展速度快,后期扩展速度下降。

图2 冲孔煤层瓦斯压力三维分布云图
Fig.2 3D distribution cloud map of coal seam gas pressure after punching

(a)t=30 d

(b)t=60 d

(c)t=90 d
图3 冲孔作用下不同时刻煤层瓦斯压力平面分布云图
Fig.3 2D distribution cloud map of coal seam gas pressure at different time under punching
不同时刻、不同方向上煤层瓦斯压力分布曲线如图4所示。

(a) 煤层倾向

(b) 煤层走向
图4 冲孔作用下不同时刻煤层瓦斯压力分布曲线
Fig.4 Coal seam gas pressure distribution curves at different time under punching
从图4可看出,在冲孔作用下,随着抽采时间的增加,抽采影响范围急剧扩大。在上部方向,当抽采时间为30 d时,有效影响半径约为4 m左右;连续抽采90 d后,有效影响半径扩大到近6 m。在下部方向,当抽采时间为30 d时,有效影响半径约为3 m左右;连续抽采90 d后,有效影响半径扩大到4 m。在煤层走向(水平方向),当抽采时间为30 d时,水平有效影响半径约为3.5 m左右;连续抽采90 d后,有效影响半径扩大到5 m。
对于该倾斜煤层,煤层倾向上下方向以及水平方向的有效影响半径是不同的,这是因为煤层倾角较大,水力冲孔钻孔冲出煤体量在各个方向上有一定差别,在冲孔上部,由于倾斜煤层重力作用,冲出煤量较多,卸压范围较大;在冲孔下部,煤体不容易被冲出,卸压范围也较小;煤层走向(水平方向)冲出的煤量适中,卸压范围也介于倾向上部和下部卸压范围之间。
在煤层底抽巷布置1组10个观测孔,1个水力冲孔抽采孔,所有钻孔穿层进入煤层,观测钻孔孔径为94 mm,抽采钻孔孔径也为94 mm,各钻孔的设计如图5所示。

(a) 平面图

(b) 剖面图
图5 水力冲孔钻孔布置
Fig.5 Boreholes layout of hydraulic punching
其中1号、2号、3号、4号观测钻孔分别距C号水力冲孔增透抽采钻孔3、4、5、6 m,且分别交叉布置在水力冲孔增透抽采钻孔两侧。5号、6号、7号观测孔分别距C号水力冲孔抽采钻孔7、6、5 m且位于水力冲孔增透抽采钻孔的上部;8号、9号、10号观测孔分别距C号水力冲孔抽采孔3、4、5 m并且位于水力冲孔增透抽采钻孔的下部。
在实施水力冲孔措施过程中,冲孔水压为8 MPa,见煤段每米煤孔冲出煤量不少于1 t,抽采钻孔直径不小于94 mm,孔口负压不低于13 kPa。实施水力冲孔并完成冲孔卸压半径的考察后,对水力冲孔钻孔进行密封并合茬抽放,随着抽采时间的推移,每班(天)读取并记录各观测孔的压力表或“U”型压差计的相对压力读数变化情况。
水力冲孔后钻孔抽采过程中各观测孔压力变化情况见表2,从表2可看出,该矿水力冲孔上方有效影响半径为6 m左右,下方有效影响半径为4 m左右,横向有效影响半径为5 m左右。现场检验结果与数值模拟结果吻合,表明了模拟结果的正确性。同时,由冲孔有效影响半径的考察结果可对水力冲孔钻孔布置进行指导,钻场横向钻孔布置间距为3.5 m左右,纵向钻孔布置间距为4.0 m左右。
表2 水力冲孔钻孔抽采过程中各观测孔压力变化
Table 2 Pressure change of each observation hole during hydraulic punching and borehole extraction

建立了含瓦斯煤体变形-瓦斯渗流的气固耦合模型,并将该理论模型数值化,以某煤矿3号煤层为研究对象,对煤层冲孔后的卸压瓦斯渗流规律进行了数值模拟,分析了冲孔后的瓦斯抽采影响半径,得到如下结论:
(1) 在冲孔钻孔抽采作用下,随着抽采时间的增加,抽采影响范围越来越大,但扩展速度随时间下降;由于冲孔对煤层的卸压作用,使得煤层渗透性大大增加,钻孔周边影响范围呈近似椭圆形分布。
(2) 在冲孔作用下,连续抽采90 d后,在上部方向,有效影响半径为6 m左右;在下部方向,有效影响半径为4 m左右;在水平方向,有效影响半径为5 m左右。因此,该煤层水力冲孔钻场横向钻孔布置间距为3.5 m左右,纵向钻孔布置间距为4.0 m左右。
参考文献(References):
[1] 袁亮,林柏泉,杨威.我国煤矿水力化技术瓦斯治理研究进展及发展方向[J].煤炭科学技术,2015,43(1):45-49.
YUAN Liang, LIN Baiquan, YANG Wei. Research progress and development direction of gas control with mine hydraulic technology in China coal mine[J]. Coal Science and Technology, 2015,43(1):45-49.
[2] 李波,张路路,孙东辉,等.水力冲孔措施研究进展及存在问题分析[J].河南理工大学学报(自然科学版),2016,35(1):16-22.
LI Bo, ZHANG Lulu, SUN Donghui, et al. Hydraulic flushing research progress and its existed problems analysis[J]. Journal of Henan Polytechnic University (Natural Science), 2016,35(1):16-22.
[3] 徐冬冬.煤矿井下水力冲孔卸压抽采技术现状及展望[J].煤炭技术,2016,35(2):176-178.
XU Dongdong. Research current situation and prospect of hydraulic flushing technology for pressure releasing and gas drainage in coal mine underground[J]. Coal Technology, 2016,35(2):176-178.
[4] 郝富昌,孙丽娟,赵发军.蠕变-渗流耦合作用下水力冲孔周围煤体渗透率时空演化规律[J].中国安全生产科学技术,2016,12(8):16-22.
HAO Fuchang, SUN Lijuan, ZHAO Fajun. Reseach on coal permeability spatio-temporal evolution around hydraulic flushing based on creep-seepage coupling[J]. Journal of Safety Science and Technology, 2016,12(8):16-22.
[5] 郝富昌,孙丽娟,刘明举.考虑卸压和抽采效果的水力冲孔布孔参数优化研究[J].采矿与安全工程学报,2014,31(5):756-763.
HAO Fuchang, SUN Lijuan, LIU Mingju. Research on boreholes space optimization of hydraulic flushing considering press relief and gas drainage effect[J]. Journal of Mining and Safety Engineering, 2014,31(5):756-763.
[6] 郝富昌,孙丽娟,左伟芹.考虑流变特性的水力冲孔孔径变化规律及防堵孔技术[J].煤炭学报,2016,41(6):1434-1440.
HAO Fuchang, SUN Lijuan, ZUO Weiqin. Hydraulic flushing aperture variation and anti-blocking technology considering rheological property[J]. Journal of China Coal Society, 2016,41(6):1434-1440.
[7] 刘明举,任培良,刘彦伟,等.水力冲孔防突措施的破煤理论分析[J].河南理工大学学报(自然科学版),2009,28(2):142-145.
LIU Mingju, REN Peiliang, LIU Yanwei, et al. Breaking coal theoretical analysis of outburst prevention by hydraulic flushing[J]. Journal of Henan Polytechnic University (Natural Science), 2009,28(2):142-145.
[8] 冯丹,许江,陶云奇,等.水力冲孔物理模拟试验系统研制及其应用[J].采矿与安全工程学报,2017,34(4):782-788.
FENG Dan, XU Jiang, TAO Yunqi, et al. Development of hydraulic punching test system and its application[J]. Journal of Mining and Safety Engineering, 2017,34(4):782-788.
[9] 陶云奇,冯丹,马耕,等.水力冲孔物理模拟试验及其卸压增透效果研究[J].煤炭科学技术,2017,45(6):55-60.
TAO Yunqi, FENG Dan, MA Geng, et al. Study on physical simulation experiment of hydraulic borehole flushing and pressure released and permeability improved effect[J]. Coal Science and Technology, 2017,45(6):55-60.
[10] 杨继超.水力化钻孔径向应力应变分布特性实验研究[D].徐州:中国矿业大学,2015.
YANG Jichao. Experimental study of pressure and strain distribution around hydraulic borehole[D]. Xuzhou: China University of Mining and Technology, 2015.
[11] 王凯,李波,魏建平,等.水力冲孔钻孔周围煤层透气性变化规律[J].采矿与安全工程学报,2013,30(5):778-784.
WANG Kai, LI Bo, WEI Jianping, et al. Change regulation of coal seam permeability around hydraulic flushing borehole[J]. Journal of Mining and Safety Engineering, 2013,30(5):778-784.
[12] 魏建平,刘英振,王登科,等.水力冲孔有效影响半径数值模拟[J].煤矿安全,2012,43(11):9-12.
WEI Jianping,LIU Yingzhen,WANG Dengke,et al.Numerical simulation on effective influence radius of hydraulic flushing borehole[J]. Safety in Coal Mines, 2012,43(11):9-12.
[13] 程小庆,王兆丰.水力冲孔卸煤量对增透效果的影响[J].煤矿安全,2018,49(4):148-151.
CHENG Xiaoqing, WANG Zhaofeng. Influence of hydraulic punching coal unloading amount on permeability improvement[J]. Safety in Coal Mines, 2018,49(4):148-151.
[14] 张凤婕,吴宇,茅献彪,等.煤层气注热开采的热-流-固耦合作用分析[J].采矿与安全工程学报,2012,29(4):505-510.
ZHANG Fengjie, WU Yu, MAO Xianbiao, et al. Coupled thermal-hydrological-mechanical analysis of exploiting coal methane by heat injection[J].Journal of Mining and Safety Engineering,2012,29(4):505-510.
HUA Mingguo1, YAO Banghua2, LI Jianwei3
(1.Yuwu Coal Industry Co., Ltd., Lu'an Group, Changzhi 046100, China; 2.School of Safety Science and Engineering, Henan Polytechnic University, Jiaozuo 454000, China; 3. Jinmei Group Shengtai Energy Co., Ltd., Jincheng 048000, China)
Abstract:Current research on hydraulic punching technology seldom considers that pressure relief range of hydraulic punching in inclined coal seam varies with direction and influence of coal seam inclination on the effective radius of hydraulic punching pressure relief. In view of the above problem,taking the coal seam No.3 of a coal mine as research object, the effective influence radius for inclined coal seam under hydraulic punching was numerically simulated by using multi-physics coupling numerical simulation software COMSOL Multiphysics. The effective extraction radius of borehole in different directions was studied. The numerical simulation results show that under the action of punching, the range of extraction influences continues to increase with the increase of extraction time, but the expansion speed decreases with time. Due to the stress relief under punching, the permeability of coal seam is greatly increased, and the influence range around the borehole is approximately elliptic. After 90 days of continuous extraction, the influence radius is about 6 m in the upper direction, the influence radius is about 4 m in the lower direction and the influence radius is about 5 m in the horizontal direction. In order to reach the gas extraction standard, the horizontal drilling arrangement spacing of the hydraulic drilling tunnel of the coal seam is about 3.5 m, and the longitudinal drilling arrangement spacing is about 4.0 m. The research results have important practical significance for optimizing hydraulic punching process parameters, guiding the accurate layout of extraction boreholes, and enhancing the gas control effect of the mine.
Key words:coal mining; inclined coal seam; gas extraction and borehole; hydraulic punching; effective influence radius; gas-solid coupling model of coal deformation and gas seepage
文章编号:1671-251X(2020)02-0088-06
DOI:10.13272/j.issn.1671-251x.2019070040
中图分类号:TD713
文献标志码:A
收稿日期:2019-07-15;修回日期:2019-10-29;责任编辑:张强。
基金项目:“十三五”国家科技重大专项项目(2016ZX05067006-001);国家自然科学基金项目(U1704129);河南省高校基本科研业务费专项资金资助项目(NSFRF180330)。
作者简介:华明国(1982-),男,江苏扬州人,工程师,博士,主要从事煤矿安全生产方面的管理和技术研究工作,E-mail:huamingguo_0418@163.com。
通信作者:姚邦华(1984-),男,山东潍坊人,副教授,博士,主要从事煤矿瓦斯灾害方面的研究工作,E-mail:yaobanghua@126.com。
引用格式:华明国,姚邦华,李建伟.倾斜煤层水力冲孔有效影响半径数值模拟研究[J].工矿自动化,2020,46(2):88-93.
HUA Mingguo,YAO Banghua,LI Jianwei. Numerical simulation research on effective influence radius of hydraulic punching in inclined coal seam[J].Industry and Mine Automation,2020,46(2):88-93.