基于双圆弧样条曲线的采煤机上滚筒割煤路径规划

柴浩洛,邢存恩,华同兴

(太原理工大学 矿业工程学院, 山西 太原 030024)

摘要采煤机上滚筒常发生切割顶板岩层的现象,这不仅会缩短滚筒截齿寿命,还会降低采出率,因此必须对上滚筒割煤路径进行规划。而传统的采煤机割煤路径规划方法存在误差较大、无法适应地质条件的改变、算法复杂等问题。针对上述问题,提出了一种基于双圆弧样条曲线的采煤机上滚筒割煤路径规划方法。首先采集工作面钻孔、回风巷、运输巷及切眼等的数据建立三维煤层地质模型;然后根据煤壁空间坐标系对模型进行仿真切割,得到顶板控制点集合,以相邻两点为一组建立连续控制点坐标系,根据双圆弧基本结构求解圆弧半径及圆心坐标,根据圆弧参数得出相邻两控制点之间的路径,即上滚筒割煤路径;最后采用遗传算法分析顶板曲线与割煤路径之间的关系,建立煤岩适应度函数模型,经过选择、交叉、变异操作对割煤路径进行仿真优化,得到更为合理、精确度更高的割煤路径。仿真结果表明:通过遗传算法优化得到了较为光滑的割煤路径,其中上滚筒割煤路径与顶板误差范围为0.183 9~0.349 3 m,上滚筒截割顶板岩层现象得到改善,表明优化路径有效地减少了切矸量,提高了采出率。

关键词采煤机; 上滚筒割煤路径; 三维煤层地质模型; 煤壁空间坐标系; 双圆弧样条曲线; 切矸量

0 引言

近年来煤矿机械化程度日渐提高,综采工作面少人化、无人化已成为当前矿井发展的主要目标。采煤机作为综采工作面的核心生产装备,其自动化水平的高低将直接影响到矿井的生产效益。而在实际生产中由于井下恶劣的工作条件,采煤机上滚筒常发生切割顶板岩层的现象,这不仅会缩短滚筒截齿寿命,还会降低采出率[1],因此,有必要对上滚筒割煤路径进行规划。

传统的割煤路径规划方法大体分为几何控制法、人工势场法、单元划分法、智能规划法。杨海等[2]基于捷联惯导坐标系对采煤机进行了定位定姿,应用三角几何对滚筒割煤路径进行解算,得到了采煤机运动轨迹,但几何控制法在动态环境下误差较大。董刚等[3]通过建立引力场对采煤机上滚筒割煤路径进行规划,但其环境模型采用虚拟构建的煤岩界面,精确度较低。权国通等[4]采用粒子群算法对三次样条曲线进行优化,得到了平滑、可靠的割煤路径,但其适应能力较差,地质条件改变时需要对其进行人工干预。司垒[5]提出了基于改进D-S证据理论与多重神经网络的采煤机截割路径算法,对采煤机截割路径进行了合理规划,但算法复杂度较高,解算时间长。陈尔奎等[6]采用栅网格进行环境建模,基于改进遗传算法对复杂环境下移动机器人进行路径规划,但其本身实用性不强,无法适应矿井的复杂环境。

针对上述方法存在的误差较大、无法适应地质条件的改变、算法复杂等问题,本文提出了一种基于双圆弧样条曲线的采煤机上滚筒割煤路径规划方法,在真三维煤层环境下建立煤壁空间坐标系,通过计算顶板控制点之间的圆弧参数得到上滚筒割煤路径,应用遗传算法对割煤路径进行优化,得到了更为合理、精确度更高的割煤路径,对工作面自动化生产有一定的借鉴意义。

1 三维煤层地质模型及煤壁空间坐标系的建立

三维煤层地质模型是路径规划中的环境模型,本文通过采集工作面实际钻孔、回风巷、运输巷及切眼等的数据,建立了煤层上表面三角网(Delaunay-Triangulated Irregular Network ,DTIN)模型,利用广义三棱柱(Generalized Tri-Prism, GTP)体元地质体建模[7-9]原理完成采煤工作面三维模型的构建。

1.1 三维煤层地质模型建立

模型数据来源为山西某矿的一个自动化工作面的实际钻孔数据和经克里金插值法生成的虚拟钻孔数据,根据现场数据和虚拟插值建立的工作面模型能够较好地体现井下环境的变化。通过建立平面隐函数方程,切割煤层上表面获得采煤工作面上表面模型;根据GTP体元建模原理,煤层上表面三角单元沿对应钻孔轨迹向下扩展形成煤层下表面,得到采煤工作面DTIN三维模型,如图1所示。

图1 三维煤层地质模型
Fig.1 Three-dimensional geologic model of coal seam

1.2 煤壁空间坐标系建立

三维煤层地质模型数据库中存储有大量数据,关系复杂,运算繁琐,为了对数据进行有效管理,建立煤壁空间坐标系,这样可避免繁琐的坐标系转换,同时可将割煤数据直接存储在地理信息库中,对煤层地质模型进行修正。其中坐标原点在运输巷与切眼内交界点,以煤层倾向为X轴,煤层走向为Y轴,Z轴指向天,建立的坐标系如图2所示,对其进行仿真切割能够得到煤壁空间坐标系顶板控制点集合Qi={Q1Q2,…,Qn},i=1,2,…,n,n为控制点。

图2 煤壁空间坐标系
Fig.2 Coal wall spatial coordinate system

2 割煤路径规划方法

针对采煤机上滚筒在割煤过程中常发生切割顶板的现象,本文提出了一种基于双圆弧样条曲线的采煤机上滚筒割煤路径规划方法。首先采集工作面钻孔、回风巷、运输巷及切眼等的数据进行三维煤层地质模型的建立;然后根据煤壁空间坐标系对模型进行仿真切割,得到顶板控制点集合,以相邻两点为一组建立连续控制点坐标系,根据双圆弧基本结构求解圆弧半径及圆心坐标,根据双圆弧基函数可以得到相邻两控制点之间的路径,即上滚筒割煤路径;最后采用遗传算法,经过选择、交叉、变异操作对割煤路径进行仿真优化,得到了更为合理、精确度更高的割煤路径。其基本流程如图3所示。

图3 采煤机上滚筒割煤路径流程
Fig.3 Flow of cutting coal path of shearer up-drum

2.1 双圆弧定义及结构

圆弧样条曲线拟合基本思想[10]是将相邻两点之间用两段相切的圆弧进行拟合,其本质是一阶导数连续函数。当有n个控制点时,整条曲线是由2(n-1)段圆弧组成的,其绘制方法为通过CAD中spline命令将控制点连接起来,继而通过splinedit命令完成曲线拟合,系统将在端点处计算默认为切向。此处以顶板控制点Qi-2,Qi-1,Qi,Qi+1为例绘得图4,可以发现该线由6段圆弧组成。以Qi-1,Qi两点为例对双圆弧定义进行阐述:Ci-1圆弧以Qi-1为起点,且在Qi-1点存在一切向量Ti-1Ci圆弧以Qi为终点,在Qi点有一切向量TiCi-1段圆弧与Ci段圆弧之间存在一条公共切线,切点为KK点是Ci-1Ci的连接点(Ci-1Ci),是Ci-1的终点,也是Ci的起点。

2.2 双圆弧参数求解

若双圆弧曲线中有n个控制点,需要建立n个局部坐标系对圆弧参数进行计算,如图5所示。

图4 双圆弧基本结构
Fig.4 Basic structure of double arc

图5 双圆弧参数求解
Fig.5 Calculation of double arc parameters

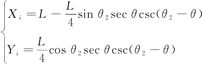
Qi-1,Qi两点连线为坐标系X轴,Qi-1为原点,过原点作与Qi-1,Qi两点连线垂直的线设为Y轴,当选择不同的公切点K时,半径、圆心坐标有不同的计算公式和计算结果,本文为了简化计算,K点设置在Qi-1,Qi两点的中垂线与圆弧的交点处,其中Qi-1,Qi两点连线之间距离为L,等腰三角形ΔQi-1KQi中,两侧角度都为θTi-1X轴夹角为θ1TiX轴夹角为θ2,其半径Ri-1,Ri及公切点K,圆心Oi-1,Oi的坐标表达式如下。

半径Ri-1,Ri

(1)

K点坐标(XKYK)为

(2)

Oi-1点坐标(Xi-1Yi-1)为

(3)

Oi点坐标(XiYi)为

(4)

θθ1,θ2之间的关系为θ=(θ1+θ2)/4,θ1,θ2为初始条件,可通过切向量Ti-1,Ti进行确定。

2.3 连续割煤路径生成

2.3.1 边界条件

对于顶板控制点集合Qi={Q1Q2,…,Qn},采用自然边界扩展方式确定边界条件Q0Qi+1:

(5)

2.3.2 曲线连续坐标系建立

通过对双圆弧曲线中单个坐标系进行分析可以得出相邻控制点之间的坐标关系,对于整个顶板控制点集合,要得出相互坐标关系必须建立连续坐标系,如图6所示。

图6 顶板控制点连续坐标系
Fig.6 Continuous coordinate system of roof control points

2.3.3 曲线基函数

根据图5可知,在各控制点上存在切向量Ti(i=1,2,…,n)。以Qi-1,Qi为例,在Qi-1,Qi点处存在切向量Ti-1Ti,则Ci-1,Ci圆弧可表示为

(6)

(7)

式中t∈[0,1],代表0到1之间的任一实数。

为了使圆弧曲线精度更高,使切向量Ti有效化,特引入参数ηi,ξi对切向量进行控制,控制方式如下:

(8)

(9)

式中:ηi为控制切向量长度的参数;ξi∈[0,1],为控制切向量方向的参数。

2.3.4 连续割煤路径生成

上滚筒生成连续割煤路径的基本思想为将煤层模型进行切片,厚度设置为截深,分别得到切片Sh(h=1,2,…,mm为切片),每一切片可生成顶板控制点数据,随后利用双圆弧拟合逼近得到割煤路径Cs(s=1,2,…,gg为割煤路经曲线),如图7所示。

图7 割煤路径切片模型
Fig.7 Slice model of cutting coal path

2.4 割煤路径优化步骤及参数设置

割煤路径优化是基于真三维煤层模型,综合考虑顶板岩层、煤层地质条件、液压支架支护效果等复杂因素,使割煤路径平滑拟合度更高,与煤层顶板曲线误差减小,减少截割顶板岩层的次数,从而降低煤层中含矸率,使经济效益最大化。由于遗传算法全局寻优能力强,相比其他神经网络算法优化效果较好,因此,本文采用遗传算法对割煤路径进行优化,优化步骤包括种群的初始化、适应度函数的构建(含约束条件)、选择、交叉、变异等操作,其中选择、交叉、变异分别采用轮盘赌竞争机制、单点交叉方式、非均匀变异操作,在此不做赘述。

2.4.1 种群初始化

种群初始化必须要保证随机性,为此选用随机函数对种群进行初步选取,选取方法为以相同的概率采用随机搜索方式生成初始种群[11],具体方式如下:

(10)

式中:(XiZi)为当前时刻下采煤机滚筒割煤线上的方位坐标;Xi,Xi+1生成的插值;(Xi+1Zi+1)为下一时刻的方位坐标;rand(1)为0~1之间的随机数;Zi,Zi+1生成的插值。

2.4.2 适应度函数

在矿井环境下,煤层地质条件、顶板岩层曲线、采煤工艺都会影响到割煤路径的规划,构建适应度函数的原则是割煤曲线与坐标系中X轴所围成面积最大,即使当前一刀煤采出率达到最高。函数模型如图8所示。

图8 适应度函数模型
Fig.8 Fitness function model

图8中X轴为采区煤壁空间坐标系中的X轴,纵轴为煤壁空间坐标系的Z轴。适应度函数构建原则是为了使煤层采出率最高,为此,回采指标用割煤曲线与X轴所围成的面积进行衡量,优化目标为割煤曲线与X轴所围面积达到最大,且不与顶板曲线相交。为此构建的适应度函数为

(11)

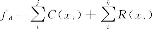
式中:M为采煤机实际截割煤量;C(x)为上滚筒割煤路径;R(x)为煤层与岩层的交界线。

从式(11)可以看出,需要另外构造出煤层顶板曲线函数表达式R(x)。为了简化计算和提高运算率,采用离散点对割煤曲线和顶板曲线进行描述,间隔1 m进行采样,则适应度函数的离散点形式为

(12)

式中:fd为适应度函数的离散形式;j为割煤曲线点低于顶板曲线点的集合;k为顶板曲线点低于割煤曲线点的集合。

割煤路径应尽量平滑,避免出现大的拐弯,为此,对适应度函数增加约束条件,设定顶板曲率变化不超过10°,约束条件设置为

C′(x)≤tan 10°

(13)

式中C′(x)为上滚筒割煤路径的一阶导数。

2.4.3 优化参数设置

通过对割煤曲线和顶板曲线进行离散化,使采煤机割煤曲线较为平滑。基于Matlab中自带的遗传算法工具箱编写程序代码进行仿真,具体遗传参数设置见表1,其中种群数量为50,单个种群内包含200个体,为防止过量进化导致数据有效性降低,设置进化代数为100,交叉概率为0.25,表示当50个种群随机分配产生的随机数小于0.25时,进行交叉操作。变异概率指的是对种群内每个个体分配一个随机数,当这个随机数小于0.01时,对其进行变异操作。变异概率不能太高,太高会导致子代无法继承父代的优良染色体,为此设为0.01。

表1 遗传算法参数设置
Table 1 Parameters setting of genetic algorithm

种群数量个体变量进化代数交叉概率变异概率50200×501000.250.01

3 仿真结果分析

为了验证割煤路径规划方法的准确性,以山西某矿的一个自动化工作面为研究对象。工作面长度为200 m,走向长度为1 000 m,煤层倾角为2.6~3.4°,煤层厚度为2.2~4.4 m;采煤机主体长为10 m,宽为0.6 m,高为0.4 m,滚筒直径为1 600 mm;截深为0.6 m;摇臂长为1 800 mm,宽为150 mm,高为150 mm。通过编写程序代码将上述参数输入到Matlab中,得到优化的轨迹,如图9所示。另外,采用BP(Back Propagation)、RBF(Radical Basics Function)神经网络算法对割煤路径进行优化对比,如图10所示。对采煤机实际生产过程进行仿真分析,得到连续三刀割煤路径,如图11所示,误差分析结果如图12所示。

图9 遗传算法轨迹优化
Fig.9 Trajectory optimization with genetic algorithm

图10 优化对比结果
Fig.10 Optimization and comparison result

图11 连续三刀上滚筒割煤路径
Fig.11 Cutting path of up-drum with three continuous cutting operations

图12 割煤路径与顶板误差曲线
Fig.12 Error curve of cutting path and roof

从图9可看出,原先顶板曲线在双圆弧逼近下平滑度有所提高,经遗传算法优化后,曲线平滑度进一步改善,表明遗传算法能够优化割煤路径。从图10可看出,遗传算法优化路径与顶板轨迹连线更为贴近。遗传算法、BP和RBF神经网络算法优化前后的均方差值分别为0.001 56、0.015 34、0.011 24,遗传算法优化误差较小,采出率较高。从图11可看出,滚筒割一刀煤行程为225.3 m,反向割三角煤距离为26.4 m,则一刀煤累计误差为1.1 m。从图12可看出,上滚筒割煤路径与顶板误差范围为0.183 9~0.349 3 m,上滚筒截割顶板岩层现象得到改善,出矸量有所减少。误差来源主要为遗传算法过量优化,子代继承了父代的优良染色体后,经过不断选择、交叉后会使父辈特性更易呈现,造成误差积累。

4 结论

(1) 通过现场实际数据以及虚拟数据建立三维煤层地质模型,在此基础上提出了基于双圆弧样条曲线的采煤机上滚筒路径规划方法,通过切割煤层模型产生一刀煤顶板数据,相邻两点建立坐标系,将顶板数据代入双圆弧曲线基函数得到每相邻两点间的基本路径,连接各段路径即为上滚筒割煤路径。

(2) 通过遗传算法优化得到了较为光滑的割煤路径,其中上滚筒割煤路径与顶板误差为0.183 9~0.349 3 m,误差较小,表明优化路径有效减少了切矸量,提高了采出率,在产量管理和实时管理方面具有一定的指导意义。

(3) 下一步工作将研究如何进一步减小上滚筒割煤路径与顶板之间的误差,即提高煤层模型精度以及对采煤机下滚筒割煤路径进行规划。

参考文献(References):

[1] 司垒,王忠宾,刘新华,等.基于煤层分布预测的采煤机截割路径规划[J].中国矿业大学学报,2014,43(3):464-471.

SI Lei,WANG Zhongbin, LIU Xinhua, et al.Cutting path planning of coal mining machine based on prediction of coal seam distribution[J].Joural of China University of Mining & Technology,2014,43(3):464-471.

[2] 杨海,李威,罗成名,等.基于捷联惯导的采煤机定位定姿技术实验研究[J].煤炭学报,2014,39(12):2550-2556.

YANG Hai,LI Wei,LUO Chengming,et al.Experimental study on position and attitude technique for shearer using SNIS measurement[J].Journal of China Coal Society, 2014,39(12):2550-2556.

[3] 董刚,马宏伟,聂真.基于虚拟煤岩界面的采煤机上滚筒路径规划[J].工矿自动化,2016,42(10):22-26.

DONG Gang, MA Hongwei, NIE Zhen.Path planning of shearer up-drum based on virtual coal-rock interface[J]. Industry and Mine Automation,2016,42(10):22-26.

[4] 权国通,谭超,侯海潮,等.基于粒子群三次样条优化的采煤机截割路径规划[J].煤炭科学技术,2011,39(3):77-79.

QUAN Guotong,TAN Chao,HOU Haichao,et al.Cutting path planning of shearer based on particle swarm triple spline optimization[J]. Coal Science and Technology, 2011,39(3):77-79.

[5] 司垒. 采煤机智能控制关键技术研究[D].徐州:中国矿业大学,2015.

SI Lei. Research on key technologies of intelligent control for shearer[D]. Xuzhou:China University of Mining and Technology,2015.

[6] 陈尔奎,吴梅花.基于改进遗传算法和改进人工势场法的复杂环境下移动机器人路径规划[J].科学技术与工程,2018,18(33):79-85.

CHEN Erkui,WU Meihua.The path planning of mobile robots based on the improved genetic algorithm and the improved artificial potential field algorithm in complex environment[J].Science Technology and Engineering, 2018,18(33):79-85.

[7] 郭志军.基于三维煤层模型综采面生产过程动态管理系统研究[D].太原:太原理工大学,2017.

GUO Zhijun.Research on dynamic management system for production process of fully mechanized coal mining face based on three dimensional coal seam[D]. Taiyuan:Taiyuan University of Technology,2017.

[8] 朱德福,邢存恩,乔港介.基于改进三棱柱体元构建三维煤层模型的实现[J].工矿自动化,2014,40(7):22-24.

ZHU Defu,XING Cun'en,QIAO Gangjie.Construction of 3D coal seam model based on improved triangular prism element[J]. Industry and Mine Automation,2014,40(7):22-24.

[9] 朱德福.改进三棱柱体剖分算法研究[J].工矿自动化,2015,41(3):34-37.

ZHU Defu.Research of subdivision algorithm of improved triangular prism[J]. Industry and Mine Automation, 2015,41(3):34-37.

[10] 王国兵,侯增选,卢建彪,等.二次均匀B样条曲线的双圆弧逼近方法[J].计算机应用研究,2008,25(4):1087-1089.

WANG Guobing,HOU Zengxuan,LU Jianbiao,et al.Biarc approach for approximating quadratic uniform B-spline curve[J]. Application Research of Computers,2008,25(4):1087-1089.

[11] 魏彤,龙琛.基于改进遗传算法的移动机器人路径规划[J].北京航空航天大学学报,2020,46(4):703-711.

WEI Tong,LONG Chen.Path planning for mobile robot based on improved genetic algorithm[J]. Journal of Beijing University of Aeronautics and Astronautics,2020,46(4):703-711.

Cutting coal path planning of shearer up-drum based on double arc spline curve

CHAI Haoluo, XING Cun'en, HUA Tongxing

(College of Mining Engineering, Taiyuan University of Technology, Taiyuan 030024, China)

AbstractThe life of the drum cutters is shortened and the coal output rate is reduced due to the problem that the shearer up-drum often cuts the roof rocks. It is therefore essential to plan the cutting path of the up-drum. However, the characteristic features of traditional methods are large errors, inability to adapt to changes in geological conditions and complicated algorithms. A method for cutting coal path planning of shearer up-drum based on double arc spline curve is proposed to solve the above problems. Firstly, the data of borehole, return airway, headentry and open-off cut from the working face is collected to build a three-dimensional geologic model of coal seam; Secondly, the model is simulated and cut to obtain a set of roof control points according to the coal wall spatial coordinate system, and a continuous control point coordinate system is established with two adjacent points as a group. The arc radius and center coordinates are calculated according to the basic structure of double arc, and the path between two adjacent control points, namely the up-drum cutting path, is obtained according to the arc parameters. A genetic algorithm is used to analyze the relationship between the roof curve and the cutting path so as to establish the rock fitness function model. A more reasonable and accurate cutting path is achieved by simulating and optimizing the cutting path through selection, crossover and mutation operations. Simulation results show that a smoother cutting path is obtained through genetic algorithm optimization. The error range between the up-drum cutting path and the roof is 0.183 9-0.349 3 m. The problem that the up-drum cutting the roof rocks has been improved, indicating that the optimized path effectively reduces the gangue amount and increases the recovery rate.

Key words:shearer; up-drum cutting path; three-dimensional geologic model of coal seam; coal wall spatial coordinate system; double arc spline curve; gangue amount

中图分类号:TD632

文献标志码:A

文章编号1671-251X(2020)12-0084-06

DOI:10.13272/j.issn.1671-251x.2020060049

收稿日期:2020-06-17;修回日期:2020-10-29;责任编辑:张强。

基金项目:山西省自然科学基金项目(RZ17103676);太原理工大学学院发展基金项目(DF17100278)。

作者简介:柴浩洛(1996-),男,山西运城人,硕士研究生,研究方向为数字化矿山与智能化开采技术,E-mail:chl19960123@163.com。

引用格式:柴浩洛,邢存恩,华同兴.基于双圆弧样条曲线的采煤机上滚筒割煤路径规划[J].工矿自动化,2020,46(12):84-89.

CHAI Haoluo, XING Cun'en, HUA Tongxing.Cutting coal path planning of shearer up-drum based on double arc spline curve[J].Industry and Mine Automation,2020,46(12):84-89.