煤矿光纤传感应急通信系统设计

康志坚1,张红娟1,高妍1,王宇2,靳宝全2

(1.太原理工大学 电气与动力工程学院, 山西 太原 030024;2.太原理工大学 新型传感器与智能控制教育部与山西省重点实验室, 山西 太原 030024)

摘要针对煤矿井下发生瓦斯爆炸、突水等灾害时造成断电使通信中断的问题,设计了一种基于煤矿井下既有光缆的光纤传感应急通信系统,实现了矿井灾后无电环境下对井下被困人员声音信息的采集、传输和处理。该系统包含光纤声音传感子系统与硬件解调子系统2个部分:在井下巷道铺设的光缆中加入光纤探头,构建光纤声音传感子系统,侦听巷道内被困人员呼喊、敲击等声音信号;硬件解调子系统放置于地面,用于提取并还原加载在光信号里的音频信息。光纤声音传感子系统采用ASE宽带光源作为探测光,通过延迟光纤解决测量盲区问题,根据探测光的相位和光强变化与声波信号的关系实现井下声音信息采集;硬件解调子系统通过光电转换模块和音频处理模块对采集的声音信号进行解调处理,对微弱信号进行提取放大。实验结果表明,在10 km的测试距离内,该系统可检测并提取距光纤探头0~5 m、频率范围为0.3~3.4 kHz的声音信号,精度为±0.5 Hz。

关键词矿井应急通信; 井下声音信息采集; 光纤传感; 光纤探头; 声音检测; 光电转换

0 引言

井下煤炭开采是高危行业,煤矿瓦斯爆炸、火灾、突水等灾害时有发生,在灾害发生后第一时间获知煤矿井下人员信息,对保障工人人身安全和煤矿正常运营至关重要。因此,研究矿井通信方式对灾后快速制定应急方案具有极高的实用价值[1-3]。目前,煤矿人员信息交互手段主要有矿用调度电话、矿井广播等有线方式和个人手持式电话系统(Personal Handy-phone System,PHS)、4G、WiFi等无线方式[4-6]。矿用调度电话、矿井广播通信终端均为固定设备,工作时需井下供电。采用PHS、4G、WiFi等无线通信方式时,井下基站需电力支持。在遭遇瓦斯爆炸、粉尘爆炸、火灾、突水、顶板冒落等灾害时,通信线缆与设备终端易受冲击破坏;无线电波易受复杂环境阻断;当灾害致使煤矿井下电力系统瘫痪时,依托电力支持的通信链路难以维系,影响通信系统的正常工作,从而造成煤矿井下救援信息无法传输[7-9]

光纤具有本质安全、无源传输、抗干扰性强、灵敏度高、耐腐蚀、电绝缘、便于铺设、易工程化等优势[10-11],可摆脱电能束缚,在煤矿井下潮湿、地形多变、电磁干扰、易燃易爆的复杂环境中稳定工作[12-13]。因此,本文设计了一种煤矿光纤传感应急通信系统,实现了矿井灾后无电环境下对井下被困人员声音信息的采集、传输和处理。该系统包含光纤声音传感子系统与硬件解调子系统2个部分:在井下巷道铺设的光缆中加入光纤探头,构建光纤声音传感子系统,侦听巷道内被困人员呼喊、敲击等声音信号;硬件解调子系统放置于地面,用于提取并还原加载在光信号里的音频信息。

1 光纤声音传感子系统设计

干涉型光纤传感系统灵敏度高,适用于微小振动信号检测,根据光干涉原理可分为Sagnac,Mach-Zehnder,Michelson系统。本文结合Sagnac系统光程差为零与Mach-Zehnder系统易实现的优点,搭建长距离光纤声音传感子系统,如图1所示。该系统包括ASE宽带光源、隔离器、2×2耦合器、延迟光纤、2×1耦合器、传感光纤、法拉第旋转镜。ASE宽带光源为系统提供探测光,隔离器用于隔离反射光,以消除反射光对光源的不良影响;延迟光纤用于解决环形Sagnac结构因互易效应存在测量盲区的问题,法拉第旋转镜用于探测光的反射,光纤探头用于接收被困人员的声音信号[14]。光纤声音传感子系统与硬件解调子系统通过FC/APC接口连接。

图1 光纤声音传感子系统
Fig.1 Optical fiber sound sensing subsystem

ASE宽带光源提供的探测光经2×2耦合器分为2路探测光,2路探测光潜在的传播路径如下:① 4─A─B─D─E─D─C─3;② 3─C─D─E─D─B─A─4;③ 4─A─B─D─E─D─B─A─4;④ 3─C─D─E─D─C─3。路径①和路径②传播路程相同,光程差为零,而其他任意2种探测光的传播路径均大于可发生干涉的最大相干长度,无法发生干涉,故探测光的传播路径为路径①和路径②。

当光波经过长度为L的光纤时,相位延迟为

φ=βL

(1)

式中β为光传播常数。

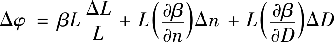
当声压作用于传感光纤时,探测光相位变化为

(2)

式中:ΔL为光纤长度变化量;n为光纤折射率,Δn为其变化量;D为光纤直径,ΔD为其变化量。

式(2)中,等号右边第1项表示光纤长度变化引起的相位变化,第2项表示光纤折射率变化引起的相位变化,第3项表示光纤直径变化引起的相位变化。

探测光相位的变化进一步引起光强的变化,沿路径①和路径②传播的2束探测光光强I1,I2分别为

(3)

(4)

式中:I0为探测光输入光功率;c为光波传播速度;t为时间;τ1τ2分别为探测光经过路径①和路径②到达光纤探头的时间。

根据Sagnac效应,2束探测光在2×2耦合器处的干涉光强为

(5)

式中ΔT代表由其他信号或器件引起的非互易相移常数。

由式(5)可知2束探测光的干涉光强I与Δφ之间的关系,结合式(2)可得干涉光强与声波信号的关系[15-17]。故当煤矿井下发生灾害导致人员无法通过通信设备求救时,可向铺设光缆的方向呼喊、敲击,声音信号可经光纤探头采集并通过光缆传输至地面。

2 硬件解调子系统设计

硬件解调子系统对采集的声音信号进行解调处理,对微弱信号进行提取放大。该子系统包含光电转换模块和音频处理模块,如图2所示。光电转换模块包含光电转换单元、电流电压转换单元和四阶滤波单元。音频处理模块包含差分传输单元、滤波单元、前置放大单元、功率放大单元、控制单元和输出单元。

图2 硬件解调子系统
Fig.2 Hardware demodulation subsystem

光纤探头在井下采集承载声音信息的光信号并通过光缆输送至井上,经光纤声音传感子系统输出。在光电转换模块中,采用高速PIN光电二极管将光信号转换为电流信号。为方便后续处理,采用芯片OPA657搭建电流电压转换单元,将电流信号转换为电压信号。为提高电压信号信噪比,采用芯片TL082搭建四阶滤波单元进行滤波处理,根据人耳听觉频率范围0.02~20 kHz,设置截止频率为20 kHz。

在音频处理模块中,采用以芯片THS4131 为核心的差分传输单元将电压信号由单端传输转换为差分传输,以提高抗干扰能力,降低噪声。采用匝数比为1+1∶1+1、材料为坡莫合金的音频变压器滤除信号转换过程中的直流干扰。降噪处理后信号电压等级为毫伏级,不足以支撑信道信息还原输出。因此,采用芯片INA11AP和TDA7053A分别搭建前置放大电路和功率放大电路,以提升信号电压等级。通过外接音频设备将电压信号转换为声音信号,实现电声信号转换。采用控制电平输入的方式调节输出音量大小。

硬件解调子系统对声音的还原效果好,占用的硬件资源少,信号实时处理能力强。

3 实验分析

在实验室条件下,利用ASE宽带光源、隔离器、2×2耦合器、2×1耦合器、法拉第旋转镜和单模光纤搭建光纤声音传感子系统。延迟光纤由长度为4 km的G652D单模光纤缠绕而成,放置在2×2耦合器与2×1耦合器之间。10 km单模光纤用于模拟井下长距离光缆传输。将长度为6 m的G652D单模光纤缠绕成直径为10 cm的圆环,用圆环制作光纤探头;光纤探头接入光缆末端,光缆最尾部与法拉第旋转镜连接。采用隔音海绵对除光纤探头以外的系统装置进行隔音处理,在光纤探头附近施加敲击等声音信号,并通过光纤探头拾取。在实验过程中,ASE宽带光源采用12 V数字电源供电,向系统提供光功率为1 mW、中心波长为1 550 nm的探测光。当外界无声音信号时光电转换模块的输出信号如图3所示。由图3可知,系统本身噪声幅值约为10 mV。

图3 无声音信号时光电转换模块输出信号
Fig.3 Output signal of photoelectric conversion module without sound source

在相同实验条件下,用手指轻敲光纤探头,测得光电转换模块的输出信号,如图4(a)所示。由图4(a)可知,响应曲线的峰峰值为102.6 mV,光纤声音传感子系统对外界声音变化敏感,可实时反映外界声音变化。选取图4(a)中21~24 ms时间段的信号波形展开,如图4(b)所示。由图4(b)可知,光电转换模块输出的音频为交流电信号。

(a) 敲击光纤探头时的输出信号

(b) 21~24 ms时间段的信号波形
图4 敲击光纤探头时光电转换模块输出信号
Fig.4 Output signal of photoelectric conversion module when tapping the optical fiber probe

(a) 声源距离光纤探头1 m时的输出信号

(b) 声源距离光纤探头3 m时的输出信号

(c) 声源距离光纤探头5 m时的输出信号
图5 音频处理模块及光电转换模块输出信号
Fig.5 Output signals of audio processing module and photoelectric conversion module

(a) 0.5 kHz固定声源

(b) 1 kHz固定声源

(c) 2 kHz固定声源

(d) 3 kHz固定声源
图6 音频处理模块输出信号频谱
Fig.6 Spectrogram of output signals of audio processing module

采用100 dB·m,1 kHz的固定声源模拟外界声音信号,将声源分别放置在距光纤探头1,3,5 m的地方测试系统对声音的拾取、解调效果,响应曲线如图5所示。由图5可知,光电转换模块输出的电压信号峰峰值分别为0.187 9,0.141 9,0.110 6 V,电压信号幅值为毫伏级,且毛刺较多;音频处理模块输出的电压信号峰峰值分别为7.853,2.884,2.02 V。光电转换模块输出的电压信号经音频处理模块处理后,幅值可放大至伏级且毛刺较少。

人发声频率范围为0.02~3.3 kHz,选用频率分别为0.5,1~3 kHz的固定声源(100 dB·m)放置在距光纤探头1 m的位置,测试系统对拾取声音信号的还原效果,系统输出信号如图6所示。由图6可知,输出信号频率分别为0.500 5,1.000 4,1.999 7,3.000 4 kHz。由此可知,该系统还原性良好,精度达±0.5 Hz。

4 结论

提出了基于煤矿井下既有光缆的光纤传感应急通信系统设计方案,阐述了声波在Sagnac与Mach-zehnder复合光路结构中的传播原理,并搭建光纤声音传感子系统和硬件解调子系统进行实验验证。结果表明:在10 km的测试距离范围内,利用该系统可检测并提取距光纤探头0~5 m、频率为0.3~3.4 kHz的声音信号,系统还原性良好,精度达±0.5 Hz。

(2) 在实验过程中发现传感光纤的缠绕长度、ASE宽带光源提供的光功率、硬件解调子系统的增益倍数等会对测试结果产生影响,后续可从这些方面进行进一步研究。

参考文献(References):

[1] 郑德志,任世华.我国煤矿安全生产发展历程及演进趋势[J].能源与环保,2019,41(11):1-6.

ZHENG Dezhi,REN Shihua.Development history and evolution trend of coal mine safety production in China[J].China Energy and Environmental Protection,2019,41(11):1-6.

[2] 田宏亮,张阳,郝世俊,等.矿山灾害应急救援通道快速安全构建技术与装备[J].煤炭科学技术,2019,47(5):29-33.

TIAN Hongliang,ZHANG Yang,HAO Shijun,et al.Technology and equipment for rapid safety construction of emergency rescue channel after mine disaster[J].Coal Science and Technology,2019,47(5):29-33.

[3] 康红普,王国法,姜鹏飞,等.煤矿千米深井围岩控制及智能开采技术构想[J].煤炭学报,2018,43(7):1789-1800.

KANG Hongpu,WANG Guofa,JIANG Pengfei,et al.Conception for strata control and intelligent mining technology in deep coal mines with depth more than 1 000 m[J].Journal of China Coal Society,2018,43(7):1789-1800.

[4] 纵瑞利,吴威威,刘方远.我国煤矿生产事故统计及安全生产措施[J].煤炭技术,2020,39(1):205-207.

ZONG Ruili,WU Weiwei,LIU Fangyuan.Coal mine production safety measures and accident statistics in China[J].Coal Technology,2020,39(1):205-207.

[5] 胡青松,杨维,丁恩杰,等.煤矿应急救援通信技术的现状与趋势[J].通信学报,2019,40(5):163-179.

HU Qingsong,YANG Wei,DING Enjie,et al.State-of-the-art and trend of emergency rescue communication technologies for coal mine[J].Journal on Communications,2019,40(5):163-179.

[6] 郑学召,郭行,郭军,等.矿井广播系统及其在煤矿应急通信中的应用探讨[J].工矿自动化,2020,46(1):32-37.

ZHENG Xuezhao,GUO Hang,GUO Jun,et al.Discussion on mine broadcasting system and its application in coal mine emergency communication[J].Industry and Mine Automation,2020,46(1):32-37.

[7] 魏翠英.基于WiFi技术的煤矿井下应急救援无线通信系统设计[J].机电工程技术,2019,48(8):208-209.

WEI Cuiying.Design of underground communication emergency rescue wireless communication system based on WiFi technology [J].Mechanical & Electrical Engineering Technology,2019,48(8):208-209.

[8] 孙继平,张高敏.矿井应急通信系统[J].工矿自动化,2019,45(8):1-5.

SUN Jiping,ZHANG Gaomin.Mine emergency communication system[J].Industry and Mine Automation,2019,45(8):1-5.

[9] 孙继平,钱晓红.煤矿重特大事故应急救援技术及装备[J].煤炭科学技术,2017,45(1):112-116.

SUN Jiping,QIAN Xiaohong.Emergency rescue technology and equipment of mine extraordinary accidents[J].Coal Science and Technology,2017,45(1):112-116.

[10] 侯俊芳,裴丽,李卓轩,等.光纤传感技术的研究进展及应用[J].光电技术应用,2012,27(1):49-53.

HOU Junfang,PEI Li,LI Zhuoxuan,et al.Development and application of optical fiber sensing technology[J].Electro-Optic Technology Application,2012,27(1):49-53.

[11] 王贺,孙琪真,李晓磊,等.干涉型分布式光纤振动传感技术的研究进展[J].激光与光电子学进展,2013,50(2):30-41.

WANG He,SUN Qizhen,LI Xiaolei,et al.Progress in optical fiber interferometer based distributed vibration sensing technology[J].Laser & Optoelectronics Progress,2013,50(2):30-41.

[12] 林金梅,潘锋,李茂东,等.光纤传感器研究[J].自动化仪表,2020,41(1):37-41.

LIN Jinmei,PAN Feng,LI Maodong,et al.Research on optical fiber sensors[J].Process Automation Instrumentation,2020,41(1):37-41.

[13] 杭利军,何存富,吴斌.一种新的直线型Sagnac光纤干涉仪管道泄漏检测系统及其定位技术[J].中国激光,2007,34(6):820-824.

HANG Lijun,HE Cunfu,WU Bin.A new pipeline leakage detection system based on linear optical fiber Sagnac interferometer and its location technology[J].Chinese Journal of Lasers,2007,34(6):820-824.

[14] 张春熹,李勤,李立京,等.基于Sagnac组合型干涉仪的光纤分布式扰动传感器[J].红外与激光工程,2014,43(10):3378-3382.

ZHANG Chunxi,LI Qin,LI Lijing,et al.Fiber-optic distributed disturbance sensor based on merged Sagnac interferometers[J].Infrared and Laser Engineering,2014,43(10):3378-3382.

[15] 熊杰,周洋.一种高灵敏度的光纤Sagnac干涉型声音传感技术研究[J].铁道学报,2018,40(9):77-81.

XIONG Jie,ZHOU Yang.Design of high sensitivity optical fiber Sagnac interferometric sound sensing system[J].Journal of the China Railway Society,2018,40(9):77-81.

[16] 许海燕,徐锲,肖倩,等.基于时延估计的分布式光纤传感定位[J].光学学报,2010,30(6):1603-1607.

XU Haiyan,XU Qie,XIAO Qian,et al.Disturbance detection in distributed fiber-optic sensor based on time-delay estimation[J].Acta Optica Sinica,2010,30(6):1603-1607.

[17] 陈宇飞,谭冬生,刘小燕.一种基于Sagnac干涉式的光纤振动传感技术[J].光学仪器,2015,37(1):24-27.

CHEN Yufei,TAN Dongsheng,LIU Xiaoyan.Based on the interferometric fiber optic vibration sensor[J].Optical Instruments,2015,37(1):24-27.

Design of coal mine optical fiber sensing emergency communication system

KANG Zhijian1,ZHANG Hongjuan1,GAO Yan1,WANG Yu2,JIN Baoquan2

(1.College of Electrical and Power Engineering, Taiyuan University of Technology, Taiyuan 030024, China; 2.Key Laboratory of Advanced Transducers and Intelligent Control System, Ministry of Education, Taiyuan University of Technology, Taiyuan 030024, China)

Abstract:In view of problem of communication interruption due to power outages when gas explosions, water inrush and other disasters occurred in underground coal mines, an optical fiber sensing emergency communication system based on existing optical cables in underground coal mines was designed to realize collection, transmission and processing of sound information of trapped personnel in underground coal mines without electricity after mine disater. The system includes two parts: the optical fiber sound sensing subsystem and the hardware demodulation subsystem. The optical fiber sound sensing subsystem is constructed by adding optical fiber probes to the optical cables laid in underground roadway to monitor sound signals of the shouts and knocks of trapped people in the roadway. The hardware demodulation subsystem is placed on the ground to extract and restore the audio information loaded in the optical signal. The optical fiber sound sensing subsystem uses ASE broadband light source as the detection light, and solves measurement blind area problem through the delay fiber, and underground sound information collection is realized according to the relationship between the phase and light intensity changes of the detection light and the acoustic signal. The hardware demodulation subsystem adopts photoelectric conversion module and audio processing module to demodulate the collected sound signal, extract and amplify the weak signal. Experimental results show that within test distance of 10 km, the system can detect and extract sound signals with frequency range of 0.3-3.4 kHz and 0-5 m away from the fiber optic probe, with an accuracy of ±0.5 Hz.

Key words:mine emergency communication; underground sound information collection; optical fiber sensing; optical fiber probe; sound detection; photoelectric conversion

中图分类号:TD655

文献标志码:A

文章编号1671-251X(2020)11-0072-06

DOI:10.13272/j.issn.1671-251x.2020050081

收稿日期:2020-05-30; 修回日期:2020-10-19; 责任编辑:胡娴。

基金项目:山西省重点研发计划项目(201803D121071);山西省科技成果转化引导专项项目(201904D131022)。

作者简介:康志坚(1993-),男,山西太原人,硕士研究生,研究方向为电气工程与智能控制,E-mail:18435175815@163.com。

引用格式:康志坚,张红娟,高妍,等.煤矿光纤传感应急通信系统设计[J].工矿自动化,2020,46(11):72-76.

KANG Zhijian,ZHANG Hongjuan,GAO Yan,et al.Design of coal mine optical fiber sensing emergency communication system[J].Industry and Mine Automation,2020,46(11):72-76.