一种矿井漏电保护选线方法

于群,尚雪丽

(山东科技大学 电气与自动化工程学院, 山东 青岛 266590)

摘要针对目前矿井供电系统发生单相接地故障时选线准确率低的问题,根据故障线路与非故障线路零序电流波形存在明显差异的特点,提出了一种基于零序电流积分与改进Bhattacharyya距离算法的矿井漏电保护选线方法。该方法通过对故障后各线路首个1/4工频周期的零序电流数据进行积分递推处理,求出零序电流积分序列及其概率分布函数;利用改进的Bhattacharyya距离算法计算各线路零序电流积分序列之间的Bhattacharyya系数,以Bhattacharyya系数累加和求得的综合累加系数作为故障选线判据,并以同一时刻各线路电流采样值的乘积和作为辅助判据对母线故障进行判别。仿真结果表明,该方法能显著增大故障线路与非故障线路特征指标的差别,快速有效识别故障线路,适用于不同中性点接地方式,抗噪声干扰能力强,受不同故障工况的影响小,选线准确率高。

关键词矿井供电系统; 漏电保护; 单相接地故障; 故障选线; 零序电流积分; Bhattacharyya距离算法

0 引言

矿井供电系统中单相接地故障约占矿井电气故障的80%,若不及时检测并切除故障线路,可能会造成人身触电,甚至引起瓦斯爆炸事故[1],对作业人员生命安全造成严重威胁。因此,要求漏电保护装置必须灵敏可靠,快速准确切除故障线路[2]

目前,漏电保护方法分为基于稳态量的选线方法与基于暂态量的选线方法,主要有零序电压型保护法、零序功率方向保护法、五次谐波保护法、首半波法、附加直流检测式保护法等[3-4]。由于矿井条件限制及强电磁干扰等问题,上述方法在实际保护中的效果并不十分可靠,装置拒动、误动现象时有发生。文献[5]利用零序功率方向保护法对故障线路进行判别,但该方法受中性点接地方式的影响,当采用消弧线圈接地运行方式时,会导致误判;文献[6]利用小波算法获取特定频段的暂态分量,以故障线路零序电流小波系数对应的模极大值与波形相似趋势为判据进行故障选线,但当线路中出现强烈的干扰信号时,该方法不可靠,且不同的信号需要选择不同的小波函数,选择不当可能会导致选线错误。文献[7]提出了一种以零序电流波形相似性为判据的选线方法,采用互近似熵来反映零序电流波形之间的相似度,该方法具有较好的抗干扰能力,但当系统发生母线故障时,该方法不能有效识别。

本文提出了一种基于零序电流积分与改进Bhattacharyya距离算法的矿井漏电保护选线方法。该方法利用零序电流积分递推公式对零序电流波形进行预处理,减小了突变数据的影响;通过改进的Bhattacharyya距离算法求取各线路零序电流积分序列之间的Bhattacharyya系数,以Bhattacharyya系数累加和求得的综合累加系数作为选线判据,并以同一时刻各线路电流采样值的乘积和作为辅助判据对母线故障进行判别,可提高选线的准确性。

1 单相接地故障零序电流波形相似性分析

矿井电网发生单相接地故障时,零序网络如图1所示。L0i,R0i,C0i分别为第i(i=1,2,…,mm为线路数)条线路li的单位长度零序电感、零序电阻、零序电容;为故障点零序电压;Rf为过渡电阻;RL,L分别为消弧线圈电感和串联电阻;为流经消弧线圈的电流;为第i条线路的零序电流;为接地点电流。

图1 单相接地故障零序网络
Fig.1 Zero-sequence network of single-phase grounding fault

当中性点不接地(即开关K断开)时,非故障线路零序电流等于本线路对地电容电流,故障线路零序电流等于母线所有非故障线路的零序电流之和。因此,故障线路零序电流幅值远大于非故障线路,但方向相反,即

(1)

当中性点经消弧线圈接地(即开关K闭合)时,故障发生后,接地点电流为总对地电容电流与流经消弧线圈的电流之和:

(2)

由于中性点经消弧线圈接地系统常处于过补偿运行状态,消弧线圈感性电流补偿容性电流,降低了故障线路零序电流幅值,且故障线路与非故障线路的零序电流方向相同,仅依靠零序电流稳态分量作为判据不再有效,因此,有必要研究故障后暂态零序电流的变化情况。为深入分析中性点经消弧线圈接地系统单相接地故障后的零序电流特征,将图1转换为单相接地故障暂态等效电路,如图2所示。u0,R0,L0分别为零序回路中等值电压、电阻、电感;C0∑为对地电容总和;i0L为暂态电感电流;i0C为暂态电容电流。

图2 单相接地故障暂态等效电路
Fig.2 Transient equivalent circuit of single-phase grounding fault

u0=Umsin(ω t+φs)

(3)

式中:Um为相电压幅值;ω为角频率;t为时间;φs为故障时相电压相角。

(4)

故障线路与非故障线路流过的暂态零序电流主要由暂态电容电流i0C决定,由式(3)、式(4)可求出i0C

由于消弧线圈的作用,故障线路直流分量衰减较快且振荡频率高,其高频分量为全部非故障线路高频分量之和。因此可通过线路之间零序电流波形的差异判断故障线路。

2 选线方法

2.1 零序电流积分递推

为表征零序电流在数据窗内的总体分布趋势,采用连续时间内零序电流积分递推的处理方法,并通过半周积分算法[8]来定义零序电流积分递推公式。

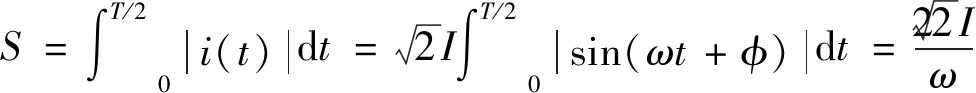
设正弦波电流(I为电流有效值;φ为初相角),对其半个周期T/2时间内绝对值的积分为

(5)

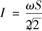
则电流有效值为

(6)

通过矩形面积求和近似代替积分,可得

(7)

式中:Ts为间隔时间;N为1个工频周期内采样点数;i(n)为第n个采样点零序电流。

根据及式(6)、式(7),可得

(8)

正弦波对任意Δtt<T/2)时间内的积分值随着波形的变化而变化,会改变幅值但不会改变原波形的基本趋势,当波形为非正弦波时,积分值对突变数据具有很好的抑制效果。利用该特性,用Δt时间内电流积分平均值对零序电流进行处理,定义零序电流积分递推公式:

(9)

式中:I(x)为电流积分结果;Nt为Δt时间内采样点数。

考虑到故障选线对速度的要求,本文将数据窗缩短,取Nt为3,即对连续3个采样数对应时间间隔的零序电流求积分平均值得出零序电流积分序列。

2.2 改进Bhattacharyya距离算法

在统计学中,Bhattacharyya距离算法用于测量2个离散概率分布的相似性[9]。通过对2个离散概率分布的重叠量进行近似计算,可分析两者之间的相似程度[10-11]

在定义域X中,定义2个离散概率分布函数p(x)和q(x)的Bhattacharyya距离为

DB(p,q)=-ln BC(p,q)

(10)

式中BC(pq)为Bhattacharyya系数,

对2条线路零序电流波形的采样值进行处理,得到2个离散概率分布函数p(x)和q(x),然后利用Bhattacharyya距离算法计算零序电流相似度。相同区间内,直方图重叠程度越高,表明2条线路零序电流波形的相似度越高;直方图重叠程度越低,表明2条线路零序电流波形的相似度越低;直方图完全没有重叠时,表明2条线路零序电流波形在该区间具有很大差异,呈不相关性。

原始的Bhattacharyya距离算法存在以下问题:① 没有考虑2个离散概率分布函数在不同区间所占的权重比;② 当2个离散概率分布函数在相同区间的频数同时为0时,直方图高度重叠,而原始的Bhattacharyya距离算法忽略了该种特殊情况,认为p(x)q(x)=0,导致零序电流波形的相似度提高,影响选线准确性。

针对上述问题,引入权重wh对Bhattacharyya距离系数进行修正,以放大离散概率分布函数在不同区间的差异。若2个离散概率分布函数在同一区间的频数均为0,令p(x)q(x)=1。

(11)

(12)

式中CphCqh分别为p(x)和q(x)在区间的频数。

2.3 选线判据

为更明显地判断出故障线路,将第i条线路的综合累加系数Pi作为选线判据。

(13)

对比各线路的综合累加系数并选出最小值PP对应的线路即为故障线路。

P=min(P1,P2,…,Pm)

(14)

当母线发生故障时,系统中各线路零序电流波形相似程度变大,求得的综合累加系数差值变小,仅采用综合累加系数作为选线判据无法有效判断母线故障,因此利用同一时刻各线路电流采样值的乘积和Ssgn作为辅助判据来区分线路故障和母线故障。

(15)

式中:Ns为1/4工频周期内采样点数;ii(n)为第i条线路第n个采样点零序电流。

Ssgn=-1,表示系统发生线路故障;若Ssgn=1,表示系统发生母线故障。

矿井电网发生单相接地故障时,选线流程如图3所示。

图3 单相接地故障选线流程
Fig.3 Line selection process of single-phase grounding fault

3 仿真验证

3.1 算例分析

利用Matlab/Simulink搭建单相接地故障仿真模型[12-13],如图4所示,其中母线电压为10.5 kV,具体线路参数见表1。

图4 单相接地故障仿真模型
Fig.4 Simulation model of single-phase grounding fault

表1 仿真线路参数
Table 1 Simulation line parameters

相序单位长度电阻/(Ω·km-1)单位长度电容/(μF·km-1)单位长度电感/(μH·km-1)正序0.0750.3180.254负序0.1020.2120.892

以中性点不接地系统为例,设置采样频率为4 kHz,仿真时间为0.3 s,线路l1发生单相接地故障,故障点距离母线2 km,故障初相角为0°,接地电阻为2 kΩ。通过对故障发生后各线路首个1/4工频周期的零序电流数据进行积分递推处理,得到各线路零序电流积分序列,如图5所示。

图5 零序电流积分序列
Fig.5 Zero-sequence current integral sequence

提取各线路零序电流积分序列在数据窗内的最小值a与最大值c,将区间[ac]分为5个子区间并依次标号为1—5,建立零序电流积分序列在各子区间的分布直方图,如图6所示。

图6 零序电流积分序列分布直方图
Fig.6 Distribution histogram of zero-sequence current integral sequence

通过零序电流积分序列分布直方图得出概率分布函数,根据式(12)计算各线路零序电流积分序列之间的Bhattacharyya系数:

BC(li,lj)=

(16)

各线路综合累加系数:P1=0.78,P2=14.37,P3=13.95,P4=13.71,P5=10.37,P6=14.37。辅助判据:Ssgn=-1。由此可得线路l1为故障线路,仿真结果正确。

3.2 方法适应性分析

3.2.1 不同中性点接地方式

分别在中性点不接地方式与中性点经消弧线圈接地方式下设置线路l2发生单相接地故障,故障点距离母线1 km,故障初相角为90°,接地电阻为500 Ω。故障选线结果见表2。

表2 不同中性点接地方式下故障选线结果
Table 2 Fault line selection results under different neutral grounding modes

中性点接地方式综合累加系数l1l2l3l4l5l6选线结果不接地14.880.5214.7014.7414.2113.22正确经消弧线圈接地14.500.4323.1914.3713.7213.76正确

从表2可看出,不同中性点接地方式下,故障线路l2的综合累加系数始终最小,表明本文方法能够在不同中性点接地方式下正确选出故障线路,选线结果不受中性点接地方式的影响。

3.2.2 噪声影响

考虑矿井环境噪声干扰大,会对选线结果造成一定的影响,仿真测试在高斯白噪声干扰下本文方法的性能。以中性点经消弧线圈接地系统为例,设置线路l3为故障线路,故障点距离母线4 km,故障初相角为30°,在仿真过程中分别加入10,50 dB的高斯白噪声,在不同接地电阻条件下进行仿真。故障选线结果见表3。

表3 噪声干扰下故障选线结果
Table 3 Fault line selection results under noise interference

信噪比/dB接地电阻/Ω综合累加系数l1l2l3l4l5l6选线结果101014.3715.120.8114.3614.6315.12正确10014.4515.050.7914.4611.0515.05正确100015.4215.230.8015.4014.2815.23正确501014.3715.120.8114.3614.6315.12正确10014.4214.991.0414.4311.1214.99正确100014.3014.661.3014.2310.9014.66正确

从表3可看出,在噪声干扰下,故障线路l3的综合累加系数明显小于其他线路,且故障线路与非故障线路的综合累加系数差异明显,不同噪声干扰与不同接地电阻对综合累加系数的影响小,表明本文方法具有较强的抗噪声干扰能力。

3.2.3 不同故障工况

当矿井供电系统发生单相接地故障时,零序电流波形随着故障初相角、过渡电阻、故障距离的改变而改变[14-15]。以中性点不接地系统为例,设置不同故障工况进行仿真,故障选线结果见表4。

表4 不同故障工况下故障选线结果
Table 4 Fault line selection results under different fault conditions

故障线路故障初相角/(°)过渡电阻/Ω故障距离/km综合累加系数l1l2l3l4l5l6Ssgn选线结果l2455114.591.3114.3714.5810.8914.21-1正确l245300115.361.1715.0915.1615.0114.45-1正确l2451500115.381.3415.1315.1714.5814.51-1正确l4151500314.1814.7114.291.6410.4514.71-1正确l4801500313.7614.3013.881.0610.0914.31-1正确l41301500319.0219.0219.024.0012.1019.02-1正确l5453000215.9317.9417.9515.721.0817.94-1正确l5453000815.8717.8917.8915.650.7917.89-1正确l54530001515.9317.9417.9515.820.7317.94-1正确母线9030—9.2310.059.606.030.5110.531正确母线90300—10.7511.3010.9310.201.0111.301正确母线903000—10.9311.6511.1610.561.2811.651正确

从表4可看出:当母线发生故障时,可通过辅助判据进行有效区分;当线路发生单相接地故障时,不同条件下各线路综合累加系数发生变动,但故障线路的综合累加系数始终最小;过渡电阻与故障距离对综合累加系数的影响不明显,故障初相角对综合累加系数的影响较大,当故障初相角大于90°时,各线路综合累加系数的差异减小,但仍能正确选出故障线路,表明本文方法在不同故障工况下选线的可靠性较高。

4 结语

基于矿井电网发生单相接地故障时故障线路与非故障线路零序电流波形存在差异的原理,提出了一种基于零序电流积分与改进Bhattacharyya距离算法的矿井漏电保护选线方法。通过对故障后首个1/4工频周期的零序电流数据进行积分递推处理,得出零序电流积分序列的分布趋势,有效避免了突变数据对选线准确率的影响;采用改进的Bhattacharyya距离算法使故障线路与非故障线路之间的故障特征指标差别明显增大,并以同一时刻各线路电流采样值的乘积和作为辅助判据对母线故障进行判别,从而准确区分线路故障和母线故障。仿真结果表明,该方法适用于不同中性点接地方式,具有较强的抗噪声干扰能力,受不同故障工况的影响小,选线准确率高。

参考文献(References):

[1] 李科,随晓娜,张俊,等.矿井电网故障选线方法研究[J].工矿自动化,2018,44(5):70-75.

LI Ke,SUI Xiaona,ZHANG Jun,et al.Research on fault line selection method of mine power network[J].Industry and Mine Automation,2018,44(5):70-75.

[2] 国家安全生产监督管理总局.煤矿安全规程[M].北京:煤炭工业出版社,2011.

State Administration of Work Safety.Coal mine safety regulations[M].Beijing:China Coal Industry Publishing House,2011.

[3] 郭永华,孙静,周天良.煤矿井下选择性漏电保护技术的分析[J].电气开关,2014,52(5):10.

GUO Yonghua,SUN Jing,ZHOU Tianliang.Analysis of selective leakage protection technique for coal mine underground[J].Electric Switchgear,2014,52(5):10.

[4] 高彦,王念彬,王彦文.基于零序功率方向选择性漏电保护系统的研究[J].煤炭科学技术,2005,33(11):43-45.

GAO Yan,WANG Nianbin,WANG Yanwen.Research on selectivity electric leakage protection system based on null sequence power direction[J].Coal Science and Technology,2005,33(11):43-45.

[5] 王清亮,赵东强,邵磊,等.适用于矿山电网的单相接地故障选线新方法[J].工矿自动化,2016,42(10):40-44.

WANG Qingliang,ZHAO Dongqiang,SHAO Lei,et al.A novel line selection method of single phase grounding fault suitable for coal mine power network[J].Industry and Mine Automation,2016,42(10):40-44.

[6] 杨利军,涂建.基于小波分析的暂态量选线式漏电保护方法的研究[J].工矿自动化,2009,35(9):59-62.

YANG Lijun,TU Jian.Research of method of transient component line selection leakage protection based on wavelet analysis[J].Industry and Mine Automation,2009,35(9):59-62.

[7] 刘柱揆,曹敏,董涛.基于波形相似度的小电流接地故障选线[J].电力系统保护与控制,2017,45(21):89-95.

LIU Zhukui,CAO Min,DONG Tao.Fault line selection of neutral indirectly grounding system based on waveform similarity[J].Power System Protection and Control,2017,45(21):89-95.

[8] 刘益青,高伟聪,王成友,等.基于差电流半周积分特征的电流互感器饱和识别方法[J].电网技术,2016,40(9):2889-2896.

LIU Yiqing,GAO Weicong,WANG Chengyou,et al.Detection method for current transformer saturation based on characteristic of differential current by half-cycle integral algorithm[J].Power System Technology,2016,40(9):2889-2896.

[9] 翁汉琍,陈皓,万毅,等.基于Bhattacharyya距离算法的线路纵联保护新判据[J].电网技术,2020,44(2):751-760.

WENG Hanli,CHEN Hao,WAN Yi,et al.Novel criterion applicable to transmission line pilot protection based on Bhattacharyya distance algorithm[J].Power System Technology,2020,44(2):751-760.

[10] 孙鹏,冯鹏定,于彤,等.基于巴氏距离的监控视频人体目标相似性度量[J].中国刑警学院学报,2019(4):119-123.

SUN Peng,FENG Pengding,YU Tong,et al.Human target similarity measure based on Bhattacharyya distance[J].Journal of Criminal Investigation Police University of China,2019(4):119-123.

[11] 吴煜,杨爱萍,章宦记,等.基于黎曼与巴氏距离的脑磁图信号分类方法[J].计算机科学与探索,2017,11(5):776-784.

WU Yu,YANG Aiping,ZHANG Huanji,et al.MEG signals classification algorithm based on Riemann and Bhattacharyya distances[J].Journal of Frontiers of Computer Science and Technology,2017,11(5):776-784.

[12] 于群,曹娜.MATLAB/Simulink电力系统建模与仿真[M].北京:机械工业出版社,2011.

YU Qun,CAO Na.MATLAB/Simulink power system modeling and simulation[M].Beijing:China Machine Press,2011.

[13] 于群,陈志慧,何梓源.基于频数分布理论的矿井供电系统故障选相[J].工矿自动化,2017,43(8):76-82.

YU Qun,CHEN Zhihui,HE Ziyuan.Fault phase selection of mine power supply system based on frequency distribution theory[J].Industry and Mine Automation,2017,43(8):76-82.

[14] 杜辉.基于固有模态能量的暂态量选线方法研究[D].西安:西安科技大学,2013.

DU Hui.Research of fault line selection with transient components based on the intrinsic mode energy[D].Xi'an:Xi'an University of Science and Technology,2013.

[15] 魏鑫,舒乃秋.基于Hausdorff距离的配电网单相接地故障选线方法[J].电力系统及其自动化学报,2020,32(5):133-142.

WEI Xin,SHU Naiqiu.Single-phase grounding fault line selection method for distribution network based on Hausdorff distance[J].Proceedings of the CSU-EPSA,2020,32(5):133-142.

A line selection method of mine leakage protection

YU Qun,SHANG Xueli

(College of Electrical Engineering and Automation, Shandong University of Science and Technology, Qingdao 266590, China)

Abstract:Aiming at problem of low accuracy of line selection when single-phase grounding fault occurs in mine power supply system at present, according to characteristics of obvious difference of zero-sequence current waveform between fault line and non-fault line, a line selection method of mine leakage protection based on zero-sequence current integration and improved Bhattacharyya distance algorithm is proposed. Zero-sequence current integral sequence and its probability distribution function are obtained by integrating and recursively processing zero-sequence current data of the first 1/4 power frequency period of each line after the fault. Bhattacharyya coefficient between zero-sequence current integral sequence of each line is calculated by the improved Bhattacharyya distance algorithm, and comprehensive accumulation coefficient obtained by accumulation of Bhattacharyya coefficients is used as fault line selection criterion. In addition, the sum of product of sampled current values of each line at the same time is used as auxiliary criterion to judge bus fault. The simulation results show that the method can significantly increase difference between fault line and non-fault line characteristics, quickly and effectively identify fault line, and is adapt to different neutral grounding modes with strong anti-noise interference ability, little influence by different fault conditions, and high accuracy of line selection.

Key words:mine power supply system; leakage protection; single-phase grounding fault; fault line selection; zero-sequence current integration; Bhattacharyya distance algorithm

中图分类号:TD611

文献标志码:A

文章编号1671-251X(2020)11-0017-06

DOI:10.13272/j.issn.1671-251x.2020030092

收稿日期:2020-03-31; 修回日期:2020-11-18; 责任编辑:盛男。

基金项目:山东省自然科学基金资助项目(ZR2016EEM13)。

作者简介:于群(1970-),男,山东淄博人,教授,博士,主要研究方向为电力系统运行与控制、电力系统继电保护,E-mail:yuqun_70@163.com。

引用格式:于群,尚雪丽.一种矿井漏电保护选线方法[J].工矿自动化,2020,46(11):17-22.

YU Qun,SHANG Xueli.A line selection method of mine leakage protection[J].Industry and Mine Automation,2020,46(11):17-22.