基于云模型和D—S理论的煤与瓦斯突出危险性评价

于丽雅1,赵永芳1,张凌云2,陈光波3

(1.山西能源学院 安全工程系, 山西 榆次 030600;2.山西能源学院 矿业工程系, 山西 榆次 030600;3.内蒙古科技大学 矿业研究院, 内蒙古 包头 014010)

摘要针对现有煤与瓦斯突出危险性评价模型或方法难以兼顾评价指标的不确定性和模糊性、指标权重不合理等问题,构建了以煤层物理特性等4类因素为二级指标、以煤体瓦斯放散指标等24个因素为三级指标的煤与瓦斯突出危险性评价指标体系,提出了基于云模型和D-S理论的煤与瓦斯突出危险性评价模型。通过云模型正向云发生器实现评价指标由定性到定量的转换,通过D-S理论的证据合成规则消除评价指标之间的冲突性,确定合理的指标权重。工程应用结果表明,基于云模型和D-S理论的煤与瓦斯突出危险性评价结果符合工程实际,准确度较高。

关键词煤与瓦斯突出; 突出危险性评价; 评价指标; 指标权重; 云模型; D-S理论

0 引言

煤与瓦斯突出事故是众多煤矿灾害中较为严重的一种,威胁着煤矿生产与人员安全[1-4]。对煤与瓦斯突出危险性进行准确评价,对于煤矿事故防治具有重要的现实意义[5-6]。目前,学者们研究了多种煤与瓦斯突出危险性评价模型和方法,如模糊综合评价模型[7-8]、PSO-SVM(粒子群算法-支持向量机)模型[9]、RS-SVM(粗糙集-支持向量机)评价模型[10-11]、多指标耦合预测模型[12]、灰色模糊评价模型[13]、CW-TOPSIS(组合权重-逼近理想解排序法)模型[14]、SOFM(自组织特征映射)神经网络模型[15]、未确知测度模型[16]、正负靶心灰靶决策模型[17]、SαS-PNN(Alpha稳定分布-概率神经网络)模型[18]、组合赋权可变集模型[19]、集对理论聚类分析法[20]。现有评价模型或方法主观性较强,无法客观反映实际情况,且无法兼顾指标的不确定性和模糊性,导致指标权重不合理。

云模型专门处理定性概念和定量描述的不确定转换问题,现已被广泛应用于自然语言处理、数据挖掘、决策分析、综合评价等领域中,在处理不确定性问题上具有很大优势[21]。因此,本文采用云模型构建煤与瓦斯突出危险性评价模型。通过云模型可实现煤与瓦斯突出危险性评价,但难以确定合理的指标权重,这降低了云模型评价结果的准确性。D-S理论是一种处理模糊信息和不确定信息的理论[22]。D-S理论的冲突证据合成规则兼顾了指标的关联性和冲突性,根据D-S理论确定指标权重,可有效提高指标权重的合理性和准确性。因此,本文将云模型与D-S理论相结合进行煤与瓦斯突出危险性评价,以提高评价结果的精度。

1 评价指标体系的构建

煤与瓦斯突出是在多种因素共同作用下发生的,要想科学地开展煤与瓦斯突出危险性评价,必须构建合理的评价指标体系。通过查阅文献资料,结合煤与瓦斯突出领域专家的建议,构建了以煤层物理特性等4类因素为二级指标、以煤体瓦斯放散指标等24个因素为三级指标的煤与瓦斯突出危险性评价指标体系,如图1所示。

图1 煤与瓦斯突出危险性评价指标体系
Fig.1 Evaluation index system of coal and gas outburst risk

2 云模型

云模型构建了定性与定量的相互关系,可实现定性与定量之间的转换。设U为定量论域,T为定量论域上的定性概念,通常情况下,U可用数值表示。假设xU,且x作为T上的可能事件,其对T的概率μ(x)为 [0,1]区间上的任意值,即μU∈[0,1],∀xUxμ(x),则x在定量论域上的分布称为云,x为云滴。为表征某定性概念,需要获取特征值ExEnHeEx为云的期望,是云分布的中心,能够表征云的集中程度和分布规律;En为云的熵,表征云滴的偏离程度,主要受定性概念随机程度的影响;He为云的熵的熵,即超熵,表征云的熵的偏离程度,主要受熵的随机程度和模糊程度的影响。云模型特征如图2所示,其中,Ex=0.5,En=0.12,He=0.01。

图2 云模型特征
Fig.2 Cloud model feature

云发生器可处理定性概念与定量表征的相互关系。一维云发生器如图3所示。其中,正向云发生器(Forward Cloud Generator,FCG)处理由定性概念到定量表征的转换;逆向云发生器(Backward Cloud Generator,BCG)处理由定量表征到定性概念的转换。

图3 一维云发生器
Fig.3 One-dimensional cloud generator

煤与瓦斯突出危险性定性评价结果分为5级,用w1w5表示,设Wi={w1w2w3w4w5}={差,较差,中等,较好,好},指标评语对应等级的期望取值分别为0,0.25,0.50,0.75,1.00。同时,建立如图4所示的评语集,其期望取值与指标评语期望取值相同,熵En=0.045,超熵He=0.005。综合评价要求满足3En原则,即若最终评分在某个等级的3En范围内,则属于该等级。由图4可得云模型评价等级区间,见表1。

图4 云模型下的评语集
Fig.4 Comment set under cloud model

表1 云模型评价等级区间
Table 1 Evaluation grade interval of cloud model

等级危险较危险中等较安全安全评价值[0,0.1](0.1,0.4](0.4,0.6](0.6,0.9](0.9,1.0]

3 D-S理论

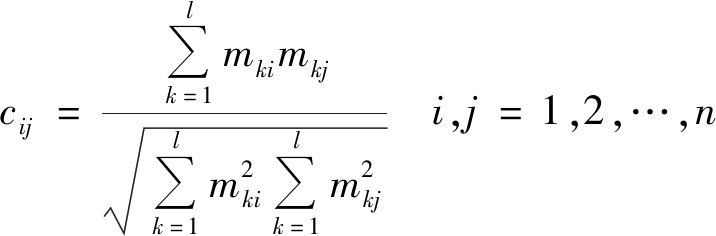
D为一种具有如下特征的集合:集合内的元素个数一定;集合内各元素具有互斥性。设FiFj表示集合D内具有一定特征的2个证据,mimj为其概率分配函数,n为证据个数,通常,证据FiFj之间的相似度cij可通过下式计算:

(1)

式中:mkimkj为第k级指标的第ij个证据的概率分配函数;l为指标级数。

相似度cij∈[0,1]。1-cij值越小,说明证据Fi与证据Fj越接近;1-cij值越大,说明证据Fi与证据Fj冲突越严重。相似度矩阵Yij可表征集合D中的某个元素与另一元素的相似度关系:

(2)

证据支持度Sup(mi)为相似度矩阵Yij中的元素(不包括自身相似度)之和:

(3)

对Sup(mi)进行归一化处理,得到可信度Crd(mi):

(4)

证据的冲突关系与证据的相似度、支持度及可信度成反比。证据之间冲突关系越强烈,获得的结果就越可靠。融合后的权重系数为

(5)

4 煤与瓦斯突出危险性评价模型

在煤与瓦斯突出危险性综合评价模型中,评价指标原始权重是由10位专家根据经验打分确定的。由于专家的认知不同,他们给出的权重也会不尽相同,有时对于同一指标,2位专家给出的分数甚至会出现严重冲突。结合冲突证据合成规则,将不同的专家作为不同的证据,专家给出的指标权重分配作为证据的概率分配函数,各项评价指标作为焦元,得到融合后的权重系数。运用冲突证据合成方法,可减弱由数据之间的冲突引起的融合结果不准确问题。

利用逆向云发生器,通过求数据样本xi的均值一阶绝对中心矩M和方差S2获得各二级指标的云数字特征。

(6)

(7)

(8)

根据虚拟云中的云算法计算各指标云数字特征:

(9)

(10)

(11)

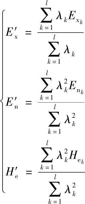
煤与瓦斯突出危险性评价云的特征值为

(12)

式中Exk,Enk,Hek为第k级指标的特征值。

5 工程应用

5.1 煤矿概况

黑龙江省龙煤集团鹤岗分公司新兴煤矿设计生产能力为120万t/a,属于大型矿井。矿井通风方式为中央边界式通风,开采方式为综合机械化开采;16层煤平均厚度为2.8 m,属于中厚煤层;煤层倾角为12°,属于缓倾斜煤层;煤层最浅埋藏深度为724.25 m;地质构造简单,煤层较为稳定,灰分较大,属于低硫低磷煤。该煤矿瓦斯涌出量为3.98~4.85 m3/t,平均瓦斯涌出量为4.35 m3/t。

5.2 煤与瓦斯突出危险性综合评价

聘请10位专家对新兴煤矿煤与瓦斯突出指标进行定性评价,利用云模型正向云发生器获得指标数据,并将数据代入式(6)—式(11),得到二级指标的云数字特征,见表2。10位专家参考现场实际情况,凭借个人经验和水平,给出二级指标的权重,运用D-S证据理论的冲突证据合成方法,通过式(1)—式(5)对指标权重进行融合,获得指标的综合权重系数,见表3。

表2 定量指标数据及综合云特征
Table 2 Quantitative index data and comprehensive cloud characteristics

指标专家分值综合云数字特征专家1专家2专家3专家4专家5专家6专家7专家8专家9专家10ExkEnkHekC110.450.450.800.300.450.800.550.300.400.30C120.200.600.300.100.300.300.150.250.450.40C130.600.700.300.450.300.300.650.800.450.400.4680.0650.026C140.450.800.400.300.600.200.600.600.600.80C150.800.400.800.600.400.300.300.700.600.45C210.900.750.450.600.250.800.700.500.500.80C220.950.800.951.000.750.750.950.750.801.00C230.800.500.750.600.600.800.250.550.800.450.6780.0700.025C240.450.800.450.450.750.450.300.400.400.80C250.800.950.600.750.500.500.950.500.800.60C310.950.750.950.450.601.000.950.450.600.95C320.450.750.451.000.450.750.450.950.450.95C330.950.950.450.450.950.450.601.000.950.60C341.000.450.950.750.500.600.600.950.950.950.8010.0580.019C350.600.750.450.750.950.600.750.951.000.45C360.600.600.500.751.000.600.600.501.000.95C370.951.000.600.750.750.501.000.600.450.45C410.750.950.950.601.001.000.700.950.951.00C420.600.600.600.950.700.450.950.650.550.85C430.600.950.600.600.750.750.750.600.750.75C440.650.650.600.750.450.800.950.500.600.750.6950.0750.025C450.750.600.950.700.950.500.750.750.700.95C460.650.850.650.500.600.550.450.350.650.75C470.350.550.650.700.650.850.900.550.400.85

表3 权重系数及综合权重
Table 3 Weight coefficients and comprehensive weights

指标权重系数专家1专家2专家3专家4专家5专家6专家7专家8专家9专家10综合权重B10.200.100.200.150.100.350.200.100.250.300.205B20.100.200.200.200.200.150.350.400.250.200.254B30.250.300.150.350.400.300.150.300.150.350.320B40.450.400.450.200.300.200.300.200.350.150.221

将综合权重系数和综合云数字特征代入式(12),计算可得新兴煤矿煤与瓦斯突出云特征:这表明云滴集中在0.6~0.9,由评语集和评价等级区间可得,该煤矿煤与瓦斯突出危险性等级为“较安全”。

调查该煤矿近5 a的煤与瓦斯突出数据(仅在2017年发生一次较轻微的煤与瓦斯突出,且没有造成突出事故),参照文献[23],结合煤矿实际煤与瓦斯突出危险性评价标准(表4)可得,新兴煤矿煤与瓦斯突出危险性等级为“较安全”。基于云模型和D-S理论的煤与瓦斯突出模型评价结果与工程实际情况一致,准确度较高。

表4 煤与瓦斯突出危险性评价标准
Table 4 Evaluation standard of coal and gas outburst risk

突出等级评定标准安全无煤与瓦斯突出发生较安全有1~3次轻微突出,无事故发生中等突出偶尔发生,且对周围的人或物造成一定危害较危险突出时有发生,且对周围的人或物造成较大伤害危险突出事故经常发生,且对周围的人或物造成严重损害,严重影响矿井生产和人员安全

6 讨论

选取3种典型的评价方法——模糊综合评价法、层次分析法、灰色关联度模型评价法,对新兴煤矿煤与瓦斯突出危险性进行评价,并将评价结果与基于云模型和D-S理论的煤与瓦斯突出模型评价结果进行对比分析,结果见表5。

表5 煤与瓦斯突出危险性评价结果
Table 5 Evaluation results of coal and gas outburst risk

评价方法或模型评价结果模糊综合评价法较安全层次分析法安全灰色关联度模型较安全本文模型较安全

由表5可知:

(1) 模糊综合评价法、灰色关联度模型及本文模型的评价结果均为“较安全”,与工程实际一致;而层次分析法的评价结果为“安全”等级,与工程实际不符。

(2) 虽然3种模型的评价结果一致,但本文通过云特征量化评价等级评价结果较其他模型更直观,灵敏度更高。另外,基于云模型和D-S理论的评价模型可通过云特征对比相同等级内的危险度,反映评价结果的偏离程度,而模糊综合评价法、灰色关联度模型则无法反映相同等级内的危险程度。

7 结论

(1) 构建了基于云模型和D-S理论的煤与瓦斯突出危险性综合评价模型。利用云模型中的正向云发生器将定性指标定量化,避免了指标的模糊性和不确定性对实验结果的影响;利用D-S理论的证据合成规则消除指标之间的冲突性,避免偶然因素带来的影响,从而确定合理的指标权重。

(2) 基于煤与瓦斯突出工程实际情况,构建了合理的煤与瓦斯突出危险性综合评价指标体系,主要包括煤层物理特性等4个二级指标和煤层瓦斯含量等24个三级指标;划分了5种煤与瓦斯突出等级。

(3) 在新兴煤矿的应用结果表明,基于云模型和D-S理论的煤与瓦斯突出危险性评价结果符合工程实际,准确度较高。

参考文献(References):

[1] 王子健,程五一.煤与瓦斯突出区域预测瓦斯地质方法的可靠性预计[J].煤矿安全,2019,50(9):168-173.

WANG Zijian,CHENG Wuyi.Reliability prediction of gas geological methods for coal and gas outburst region prediction[J].Safety in Coal Mines,2019,50(9):168-173.

[2] 姜福兴,尹永明,朱权洁,等.基于掘进面应力和瓦斯浓度动态变化的煤与瓦斯突出预警试验研究[J].岩石力学与工程学报,2014,33(增刊2):3581-3588.

JIANG Fuxing,YIN Yongming,ZHU Quanjie,et al. Experimental study of precaution technology of heading face coal and gas outburst based on dynamic changes of stress and methane concentration[J]. Chinese Journal of Rock Mechanics and Engineering, 2014,33(S2):3581-3588.

[3] 谭永福.鹤岗矿区煤与瓦斯突出影响因素分析及防治方法[J].煤矿安全,2018,49(9):167-170.

TAN Yongfu.Influencing factors analysis of coal and gas outburst in Hegang mining area and control methods[J].Safety in Coal Mines,2018,49(9):167-170.

[4] 陈光波.煤岩组合体动力破坏规律实验研究[D].哈尔滨:黑龙江科技大学,2016.

CHEN Guangbo.A combination of coal and rock in the experimental research on dynamic damage[D]. Harbin:Heilongjiang University of Science and Technology,2016.

[5] 马晟翔,李希建.基于因子分析与BP神经网络的煤与瓦斯突出预测[J].矿业安全与环保,2019,46(2): 70-74.

MA Shengxiang,LI Xijian.Prediction of coal and gas outburst based on factor analysis and BP neural network[J].Mining Safety & Environmental Protection, 2019,46(2):70-74.

[6] 关维娟,张国枢,赵志根,等.煤与瓦斯突出多指标综合辨识与实时预警研究[J].采矿与安全工程学报, 2013,30(6):922-929.

GUAN Weijuan,ZHANG Guoshu,ZHAO Zhigen,et al. Multi-index comprehensive identification and real-time warning of coal and gas outburst[J].Journal of Mining & Safety Engineering,2013,30(6):922-929.

[7] 兰泽全,王志亮,张跃兵,等.煤与瓦斯突出危险性模糊综合评价方法研究[J].煤矿安全,2016,47(3): 159-163.

LAN Zequan,WANG Zhiliang,ZHANG Yuebing,et al. Study on coal and gas outburst risk fuzzy comprehensive evaluation method[J].Safety in Coal Mines,2016,47(3):159-163.

[8] 赵旭生,马国龙,乔伟,等.基于事故树分析的煤与瓦斯突出预警指标体系[J].矿业安全与环保,2019,46(3):37-43.

ZHAO Xusheng,MA Guolong,QIAO Wei,et al. Early-warning index system of coal and gas outburst based on fault tree analysis[J].Mining Safety & Environmental Protection,2019,46(3):37-43.

[9] 孙利源. 基于灰色关联分析和PSO-SVM的煤与瓦斯突出预测应用研究[D].徐州:中国矿业大学,2019.

SUN Liyuan.Application resrarch on the coal and gas outburst prediction based on gray correlation analysis and PSO-SVM[D].Xuzhou:China University of Mining and Technology,2019.

[10] 刘俊娥,杨晓帆,刘丙午.基于优度评价法的煤与瓦斯突出危险性评价[J].煤矿安全,2013,44(3): 166-169.

LIU Jun'e,YANG Xiaofan,LIU Bingwu.Risk assessment of coal and gas outburst based on goodness evaluation method[J].Safety in Coal Mines,2013,44(3):166-169.

[11] 刘俊娥,曾凡雷,郭章林.基于RS-SVM模型的煤与瓦斯突出多因素风险评价[J].中国安全科学学报,2011,21(7):21-26.

LIU Jun'e,ZENG Fanlei,GUO Zhanglin.Study on multiple factors risk evaluation of coal and gas outburst based on RS-SVM model[J].China Safety Science Journal,2011,21(7):21-26.

[12] 张友谊,崔金雷,焦向东.煤与瓦斯突出多指标耦合预测模型研究及应用[J].工程科学学报,2018, 40(11):1309-1316.

ZHANG Youyi,CUI Jinlei,JIAO Xiangdong.Study of the multi-index coupling forecasting model of coal and gas outburst and its application[J].Chinese Journal of Engineering,2018,40(11):1309-1316.

[13] 赵永芳,张凌云.基于集值统计-灰色模糊的煤与瓦斯突出安全评价[J].煤炭技术,2018,37(10): 176-179.

ZHAO Yongfang,ZHANG Lingyun.Safety evaluation of coal and gas outburst based on set-valued statistics-grey fuzzy[J].Coal Technology,2018,37(10):176-179.

[14] 叶爱山,夏海力,章玲玲.煤与瓦斯突出的CW-TOPSIS评价模型[J].矿业研究与开发,2018, 38(7):61-65.

YE Aishan,XIA Haili,ZHANG Lingling.CW-TOPSIS evaluation model of coal and gas outburst[J].Mining Research and Development,2018,38(7):61-65.

[15] 刘晨毓,陈俊智,徐佳,等.煤与瓦斯突出预测的SOFM模型及应用[J].矿冶,2018,27(2):15-18.

LIU Chenyu,CHEN Junzhi,XU Jia,et al.SOFM neural network model for prediction of coal and gas outburst and its application[J].Mining and Metallurgy,2018,27(2):15-18.

[16] 丁浩江.煤与瓦斯突出危险性评价的未确知测度模型[J].煤矿安全,2018,49(2):151-154.

DING Haojiang.Unascertained measure model of coal and gas outburst risk assessment[J].Safety in Coal Mines,2018,49(2):151-154.

[17] 邓存宝,张凯歌,符孟崇,等.煤与瓦斯突出预测的正负靶心灰靶决策模型[J].辽宁工程技术大学学报(自然科学版),2018,37(1):31-36.

DENG Cunbao,ZHANG Kaige,FU Mengchong,et al.Prediction for the outburst of coal and gas based on grey target decision model with positive and negative clouts[J].Journal of Liaoning Technical University (Natural Science),2018,37(1):31-36.

[18] 王佳信,周宗红,张继华,等.煤与瓦斯突出危险性预测的SαS-PNN模型及应用[J].传感技术学报,2017,30(7):1112-1118.

WANG Jiaxin,ZHOU Zonghong,ZHANG Jihua,et al.SαS-PNN model for forecast of coal and gas outburst risk and its application[J].Chinese Journal of Sensors and Actuators,2017,30(7):1112-1118.

[19] 王春源,潘晓红,撒占友,等.组合赋权可变集模型在煤与瓦斯突出评价中的应用[J].河南理工大学学报(自然科学版),2017,36(2):35-40.

WANG Chunyuan,PAN Xiaohong,SA Zhanyou,et al.Application of combination weights variable set model for coal-gas outburst evaluation[J].Journal of Henan Polytechnic University(Natural Science),2017,36(2):35-40.

[20] 文虎,赵志峰,郭军.集对理论聚类分析法综合预测煤与瓦斯突出[J].西安科技大学学报,2015,35(5):547-554.

WEN Hu,ZHAO Zhifeng,GUO Jun.Comprehensive forecast of coal and gas outburst on the basis of set pair theory and clustering analysis method[J]. Journal of Xi'an University of Science and Technology,2015, 35(5):547-554.

[21] 张光卫,李德毅,李鹏,等.基于云模型的协同过滤推荐算法[J].软件学报,2007,18(10):2403-2411.

ZHANG Guangwei,LI Deyi,LI Peng,et al.A collaborative filtering recommendation algorithm based on cloud model[J].Journal of Software,2007, 18(10):2403-2411.

[22] 蓝金辉,马宝华,蓝天,等.D-S证据理论数据融合方法在目标识别中的应用[J].清华大学学报(自然科学版),2001,41(2):53-55.

LAN Jinhui,MA Baohua,LAN Tian,et al.D-S evidence reasoning and its data fusion application in target recognition[J].Journal of Tsinghua University(Science and Technology),2001,41(2):53-55.

[23] 陈恋,袁梅,高强,等.主成分-费歇尔判别模型在煤与瓦斯突出等级预测中的应用[J].工矿自动化,2020,46(3):55-62.

CHEN Lian,YUAN Mei,GAO Qiang,et al.Application of principal component-Fisher discrimination model in grade prediction of coal and gas outburst[J].Industry and Mine Automation,2020,46(3):55-62.

Coal and gas outburst risk evaluation based on cloud model and D-S theory

YU Liya1,ZHAO Yongfang1,ZHANG Lingyun2,CHEN Guangbo3

(1.Safety Engineering Department, Shanxi Institute of Energy, Yuci 030600, China;2.Mining Engineering Department, Shanxi Institute of Energy, Yuci 030600, China;3.Mining Research Institute, Inner Mongolia University of Science and Technology, Baotou 014010, China)

AbstractIn view of problems of existing coal and gas outburst risk evaluation models or methods that it is difficult to take into account the uncertainty and ambiguity of evaluation indicators, and the index weights are unreasonable, coal and gas outburst risk evaluation index system is constructed which takes 4 types of factors including coal seam physical properties as secondary indicators, and takes 24 factors including gas emission indicators as three-level indicators. Coal and gas outburst risk evaluation based on cloud model and D-S theory was proposed. Evaluation index is converted from qualitative to quantitative through forward cloud generator of cloud model, and the conflict between evaluation indexes is eliminated through evidence synthesis rule of D-S theory to determine reasonable index weights. Engineering application results show that the evaluation results of the coal and gas outburst risk evaluation based on cloud model and D-S theory are in line with engineering reality and have high accuracy.

Key words:coal and gas outburst; outburst risk evaluation; evaluation index; index weight; cloud model; D-S theory

中图分类号:TD713

文献标志码:A

文章编号1671-251X(2020)11-0106-07

DOI:10.13272/j.issn.1671-251x.2020040029

收稿日期:2020-04-09; 修回日期:2020-10-25; 责任编辑:胡娴。

基金项目:山西省青年科技研究基金项目(201801D221356);内蒙古科技大学创新基金项目(2019QDL-B33)。

作者简介:于丽雅(1986-),女,河北廊坊人,讲师,硕士,研究方向为煤矿安全评价及瓦斯防治技术,E-mail:474158638@qq.com。

引用格式:于丽雅,赵永芳,张凌云,等.基于云模型和D-S理论的煤与瓦斯突出危险性评价[J].工矿自动化,2020,46(11):106-112.

YU Liya,ZHAO Yongfang,ZHANG Lingyun,et al.Coal and gas outburst risk evaluation based on cloud model and D-S theory[J].Industry and Mine Automation,2020,46(11):106-112.