“煤矿智能化故障诊断技术”专题

【编者按】智慧煤矿建设是工业技术革命、产业转型升级的战略方向和目标,煤矿智能化故障诊断技术是智慧煤矿建设关键技术之一。煤矿智能化发展要求对系统和设备进行全方位的运行状态监测、诊断和预警,以确保煤炭开采过程的连续性和安全性。由于煤矿井下环境恶劣,井下系统及设备故障频发且难以准确高效诊断,煤矿智能化故障诊断技术仍面临着诸多科学挑战和难题。为促进煤矿智能化故障诊断技术理论实践进步,总结交流近年来煤矿故障诊断领域的新成果,《工矿自动化》组织策划了“煤矿智能化故障诊断技术”专题,报道了提升机故障诊断、机械设备磨损状态识别、齿轮箱故障诊断、矿井漏电保护选线等方面的研究成果。在此衷心感谢各位专家学者为本专题撰稿!

基于模糊故障树和贝叶斯网络的矿井提升机故障诊断

张梅1,许桃1,孙辉煌2,孟祥宇2

(1.安徽理工大学 电气与信息工程学院, 安徽 淮南 232001;2.淮北矿业(集团)有限责任公司 许疃煤矿, 安徽 蒙城 233500)

摘要为解决目前矿井提升机故障诊断方法效率低、准确性差等问题,提出了一种基于模糊故障树和贝叶斯网络的矿井提升机故障诊断方法。首先对传感器实时采集的提升机运行参数进行去噪预处理、多源信息融合,保证数据的准确性;然后将处理后的数据输入矿井提升机故障树,采用三角模糊数表示提升机底事件发生概率,得到底事件模糊概率;最后将模糊故障树映射为贝叶斯网络进行可靠性分析,将底事件模糊概率作为先验概率,计算叶节点发生概率,进而获得根节点的后验概率、概率重要度和关键重要度,从而快速确定故障类型和故障点。实例分析结果验证了该方法的可行性。

关键词矿井提升机; 故障诊断; 模糊故障树; 贝叶斯网络; 可靠性分析

0 引言

矿井提升机是煤矿运输过程中关键机械设备,一旦发生故障,将对煤矿生产造成极大损失。在提升机发生故障时快速准确地找到故障原因和故障点,对于保证其安全可靠运行具有重要意义[1-3]。许多学者在矿井提升机故障诊断方面进行了大量研究。董黎芳等[4]将支持向量机应用于矿井提升机制动系统的故障诊断,但只适用于少量样本的诊断,准确性不高;李加昭[5]提出了基于BP神经网络与D-S证据理论二次融合的多源数据融合方法,实现了多样本参数的矿井提升机故障诊断及预测,但建模过程过于复杂,无法快速诊断;魏志成[6]利用故障树分析法对提升机进行故障诊断,将系统的故障状态作为顶事件,将可能引起顶事件发生的所有直接与间接原因作为底事件,使用树形图的方式表示一个系统中顶事件与底事件之间的逻辑关系,根据故障树中各底事件发生概率计算出顶事件发生概率,解决了建模复杂的问题,但实际中底事件发生概率难以确定;田晓翠[7]将模糊数学理论与故障树分析法相结合,利用模糊故障树分析法进行矿井提升机故障诊断,将底事件发生概率替换为某个区间,通过模糊运算得到底事件模糊概率,克服了常规故障树分析法中确定底事件发生概率困难的缺点,但反向推理能力较弱,诊断效率不高;李娟莉等[8]将贝叶斯网络和A-star算法运用于矿井提升制动系统故障诊断,在故障发生后进行反向推理,快速定位故障点,但网络构造较为困难。在上述研究的基础上,本文综合模糊故障树和贝叶斯网络的优点,提出了一种基于模糊故障树和贝叶斯网络的矿井提升机故障诊断方法,可快速、准确诊断提升机故障类型和故障点。

1 矿井提升机故障诊断原理

基于模糊故障树和贝叶斯网络的矿井提升机故障诊断包括基础数据处理、模糊故障树分析和贝叶斯网络分析3个部分,如图1所示。首先对采集的提升机运行参数进行预处理和多源信息融合,以去除无用的数据,并提取数据特征值,保证数据的准确性;然后将处理后的数据输入矿井提升机模糊故障树进行初步计算,得到相应底事件模糊概率;最后根据映射规则将模糊故障树映射为贝叶斯网络,将底事件模糊概率作为先验概率,计算叶节点发生概率、根节点的后验概率、概率重要度和关键重要度,从而确定故障类型和位置。

图1 基于模糊故障树和贝叶斯网络的矿井提升机故障诊断原理
Fig.1 Fault diagnosis principle of mine hoist based on fuzzy fault tree and Bayesian network

1.1 矿井提升机相关基础数据处理

通过电流、电压、位移、温度、油压、拉力等多种形式的前端信号传感器对提升机运行参数进行实时采集。由于提升机工作环境复杂及其他客观因素影响,采集的数据含有干扰和噪声,需要对采集的数据进行去噪预处理(如零均值化、趋势项消除、归一化和滤波等)。将预处理后的数据进行多源信息融合(多源信息融合方法包括深度学习法、D-S证据理论法、主元分析法、卡尔曼滤波法等[9-11]),获得能准确反映提升机实时运行情况的特征向量,使后续的可靠性分析更加准确。

1.2 矿井提升机模糊故障树分析

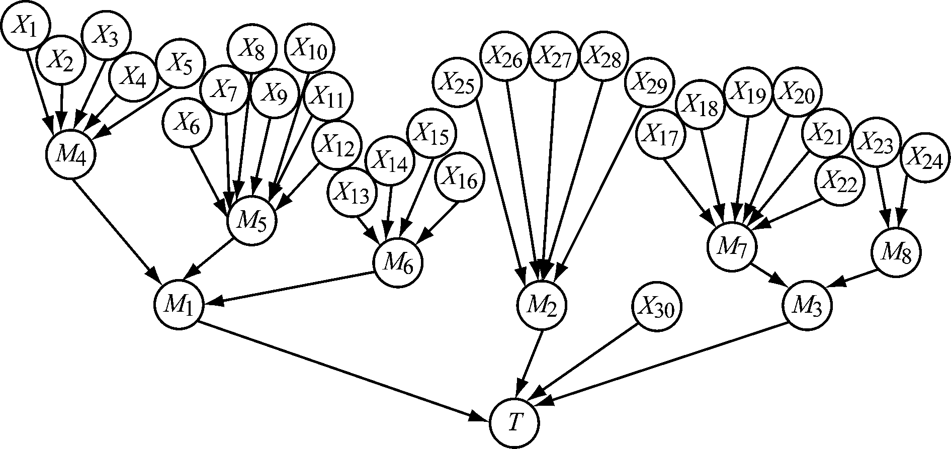
矿井提升机结构体系庞大、工作环境复杂,出现故障的原因种类繁多,本文对提升机常见故障进行分析归纳[12-13],建立了矿井提升机故障树,如图2所示。其中编码及对应故障事件见表1。

表1 矿井提升机故障事件
Table 1 Fault events of mine hoist

编码故障事件编码故障事件T提升机故障X12主轴卷筒损坏M1拖动部分故障X13减速器振动过大M2滑动控制部分故障X14齿轮磨损严重M3液压制动部分故障X15减速器轴承损坏M4电动机部分故障X16减速器温度过高M5卷筒部分故障X17二级制动安全阀卡阻M6减速器部分故障X18闸瓦间隙不稳定M7闸瓦部分故障X19闸盘过热M8油压部分故障X20弹簧损坏X1电动机超速X21闸瓦接触面粗糙X2电动机电流过大X22制动盘偏摆度大X3电动机温度过高X23液压站油压大X4电动机轴承过热X24油路堵塞X5电动机堵转X25机油油温过高X6张力不平衡X26机油油压过高X7卷筒过载X27机油油压过低X8罐笼未卸完X28机油油量过低X9过卷X29机油杂质过多X10卷筒方向错误X30其他故障X11卷筒偏转过大

图2 矿井提升机故障树
Fig.2 Fault tree of mine hoist

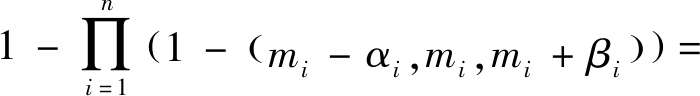
在矿井提升机故障树中,受环境及其他因素的影响,底事件发生概率具有模糊性,实际很难给出一个精确的概率,因此采用模糊数表示提升机底事件发生概率。模糊数的表示方法有三角模糊数、梯形模糊数和正态模糊数等[14],本文采用三角模糊数。

三角模糊数的隶属度函数为

(1)

则底事件Xi(i=1,2,…,nn为底事件数)发生概率为

PXi=(mi-αi,mi,mi+βi)

(2)

式中:αi,βiPXi的置信上下限;mi为底事件发生概率中值,0<αimiβi

矿井提升机故障树中仅使用了逻辑或门,引入或门模糊算子,可得底事件模糊概率:

Por=

(3)

1.3 基于贝叶斯网络的矿井提升机可靠性分析

将模糊故障树映射为贝叶斯网络的具体过程[15-17]:① 将模糊故障树中的事件对应表达为贝叶斯网络中的节点,其中,模糊故障树中的底事件在贝叶斯网络中作为根节点,顶事件在贝叶斯网络中作为叶节点。② 将模糊故障树中各底事件模糊概率作为贝叶斯网络中对应根节点的先验概率进行赋值。③ 将模糊故障树中的逻辑门对应表达为贝叶斯网络的节点条件概率分布。

根据矿井提升机模糊故障树转换的贝叶斯网络如图3所示。

图3 矿井提升机故障贝叶斯网络
Fig.3 Bayesian network of mine hoist failure

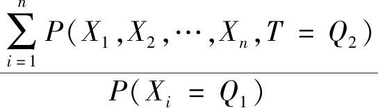
贝叶斯网络分析是根据先验概率求得叶节点发生概率,进而求得根节点的后验概率,但根据各根节点后验概率指导故障诊断具有不完全可靠性。通过根节点概率重要度可反映根节点引起叶节点故障发生的重要程度,根节点关键重要度可反映降低提升机可靠性的薄弱环节。因此需要综合比较各根节点的后验概率、概率重要度和关键重要度,得出引起提升机故障的主要事件。

矿井提升机故障贝叶斯网络中叶节点为T,根节点为X1X30,且X1X2∪…∪X30=∅,则叶节点T发生的情况下,各根节点Xi发生概率(也称为后验概率)为

(4)

式中:P(Xi)为根节点Xi的先验概率;P(T|Xi)为根节点Xi发生的情况下叶节点T发生概率。

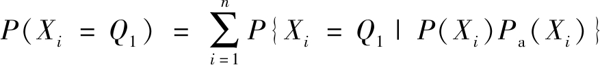
根节点Xi状态为Q1(根节点故障时Q1为1,根节点无故障时Q1为0)的概率为

(5)

式中Pa(Xi)为根节点Xi的条件概率。

叶节点T状态为Q2(叶节点发生时Q2为1,叶节点不发生时Q2为0)的概率为

P(T=Q2)=P(T=Q2|X1,X2,…,Xn

P(X1)P(X2)…P(Xn)

(6)

根节点Xi状态为Q1时,叶节点T状态为Q2的概率为

(7)

根节点Xi状态为Q1时单独引起叶节点T状态为Q2的概率重要度为

P(T=Q2|Xi=0)

(8)

根节点Xi对于叶节点T状态为Q2的概率重要度为

(9)

式中K为根节点故障数。

根节点Xi状态为Q1时单独引起叶节点T状态为Q2的关键重要度为

(10)

根节点Xi对于叶节点T状态为Q2的关键重要度为

(11)

2 应用及结果分析

以淮北矿业(集团)有限责任公司许疃煤矿主提升机液压制动部分故障为例,查阅提升机现场运行情况及检修记录,走访相关专家、技术人员,综合各类参考资料,可得提升机各底事件发生概率中值mi和置信上下限αiβi估计值(按提升机连续工作300 h计算),见表2。

表2 底事件发生概率中值与置信上下限
Table 2 Median and upper and lower confidence limits of bottom events probability

底事件miαi,βiX170.0150.003X180.1030.026X190.0290.006X200.0160.003X210.0350.006X220.0350.015X230.0440.010X240.0100.002

将表2中数据代入式(3),得到提升机各底事件模糊概率,见表3。

表3 底事件模糊概率
Table 3 Fuzzy probability of bottom events

底事件模糊概率底事件模糊概率X170.0271X210.0729X180.1967X220.0235X190.0582X230.0832X200.0557X240.0158

将表3中各底事件模糊概率作为先验概率,当顶事件发生时,利用贝叶斯网络的反向推理能力对先验概率进行修正,根据式(4)求得各根节点后验概率,见表4。将提升机故障树中液压制动部分的或门逻辑关系转换为贝叶斯网络中各根节点的条件概率,根据式(6)可得液压制动部分故障发生概率约为0.339。

表4 根节点后验概率
Table 4 Posterior probability of root nodes

根节点后验概率根节点后验概率X170.0285X210.0698X180.1932X220.0241X190.0528X230.0849X200.0517X240.0184

根据式(8)—式(11)求得各根节点在提升机液压制动部分故障时的概率重要度和关键重要度,见表5。

表5 根节点概率重要度和关键重要度
Table 5 Probability importance and key importance of root nodes

根节点概率重要度关键重要度根节点概率重要度关键重要度X170.23330.0152X210.50750.0211X180.63210.0347X220.31030.0135X190.34770.0198X230.77320.0353X200.23540.0173X240.19360.0108

综合考虑根节点的后验概率、概率重要度和关键重要度,可看出X18X23X213个事件对提升机液压制动部分故障的影响较大。当故障发生时,优先排查这3个事件,再对其他事件进行逐次排查,极大缩短了提升机故障诊断时间,提高了故障诊断的实时性。

3 结语

提出了一种基于模糊故障树和贝叶斯网络的矿井提升机故障诊断方法。首先对采集的提升机运行参数进行去噪预处理,并进行多源信息融合以获得完整信息;然后将处理后的数据输入矿井提升机故障树,计算底事件的模糊数和模糊概率;最后将模糊故障树映射为贝叶斯网络,将底事件模糊概率作为先验概率,计算叶节点发生概率,进而获得根节点的后验概率、概率重要度和关键重要度,并依此进行快速故障诊断。以矿井提升机液压制动部分故障为例进行分析,验证了该方法的可行性。

参考文献(References):

[1] 孟宪刚,于晓,李晓静.基于模糊Petri网的矿井提升机减速系统故障诊断[J].工矿自动化,2019,45(6):91-95.

MENG Xiangang,YU Xiao,LI Xiaojing.Fault diagnosis of mine hoist deceleration system based on fuzzy Petri net[J].Industry and Mine Automation,2019,45(6):91-95.

[2] PAN Zhiyong,WANG Quancai,REN Weihong.Based on the online monitoring and fault diagnosis system of the main hoist for mine[J].Applied Mechanics and Materials,2011,42:250-254.

[3] 王凯,晋民杰.基于模糊故障树的矿井提升制动系统安全评估[J].太原科技大学学报,2019,40(6):467-471.

WANG Kai,JIN Minjie.Safety reliability analysis of mine hoisting system based on fuzzy fault tree[J].Journal of Taiyuan University of Science and Technology,2019,40(6):467-471.

[4] 董黎芳,孙伟,赵俊,等.基于支持向量机的矿井提升机制动系统的故障诊断[J].机械工程与自动化,2010(2):124-126.

DONG Lifang,SUN Wei,ZHAO Jun,et al.Fault diagnosis of mine hoist braking system based on support vector machine[J].Mechanical Engineering & Automation,2010(2):124-126.

[5] 李加昭.基于多源参数的提升系统故障诊断及预测研究[D].徐州:中国矿业大学,2018.

LI Jiazhao.Study on fault diagnosis and prediction based on multi-source parameters[D].Xuzhou:China University of Mining and Technology,2018.

[6] 魏志成.基于GPRS的矿井提升机工况监测系统研究[D].太原:太原理工大学,2014.

WEI Zhicheng.Research on remote condition monitoring system of mine hoist based on GPRS[D].Taiyuan:Taiyuan University of Technology,2014.

[7] 田晓翠.基于模糊故障树的矿井提升机故障诊断[D].西安:长安大学,2015.

TIAN Xiaocui.Fault diagnosis of mine hoist based on fuzzy fault tree[D].Xi'an:Chang'an University,2015.

[8] 李娟莉,樊忠.基于BN和A-star的矿井提升机制动系统故障诊断[J].矿业研究与开发,2018,38(8):116-120.

LI Juanli,FAN Zhong.Fault diagnosis for braking system of mine hoist based on BN and A-star[J].Mining Research and Development,2018,38(8):116-120.

[9] 段凯,刘德顺,何先可.基于D-S证据理论的冲击凿岩状态多源信息融合辨识方法[J].矿业研究与开发,2010,30(5):64-67.

DUAN Kai,LIU Deshun,HE Xianke.Identification method of percussive drilling conditions of rock using multi-source information fusion based on D-S evidence theory[J].Mining Research and Development,2010,30(5):64-67.

[10] 胡媛媛,李乐乐.基于信息融合的矿用电缆状态检修方法[J].工矿自动化,2019,45(6):47-51.

HU Yuanyuan,LI Lele.Mine cable state maintenance method based on information fusion[J].Industry and Mine Automation,2019,45(6):47-51.

[11] ZHOU Mengmeng,GAO G M,YANG Hongbo.Multi-source information fusion based on Kalman filtering[J].Applied Mechanics and Materials,2015,727/728:863-866.

[12] 赵旭荣,李娟莉,王学文.基于本体的矿井提升机主轴系统故障诊断方法[J].工矿自动化,2019,45(1):95-99.

ZHAO Xurong,LI Juanli,WANG Xuewen.Fault diagnosis method for mine hoist spindle system based on ontology[J].Industry and Mine Automation,2019,45(1):95-99.

[13] 周广林,张继通,刘训涛,等.基于模糊动态故障树的提升机盘式制动系统可靠性研究[J].煤炭学报,2019,44(2):639-646.

ZHOU Guanglin,ZHANG Jitong,LIU Xuntao,et al.Study on reliability of disc brake system for mine hoist based on fuzzy dynamic fault tree[J].Journal of China Coal Society,2019,44(2):639-646.

[14] 李兴运,齐金平.基于模糊贝叶斯网络的受电弓系统可靠性分析[J].铁道科学与工程学报,2018,15(6):1383-1390.

LI Xingyun,QI Jinping.Reliability analysis of multi pantograph system based on fuzzy Bayesian network[J].Journal of Railway Science and Engineering,2018,15(6):1383-1390.

[15] 杨恒乐,郭建斌.基于故障树贝叶斯网络的液压启闭机故障诊断方法[J].液压与气动,2015(1):44-48.

YANG Hengle,GUO Jianbin.Fault diagnosis method for hydraulic hoist based on fault tree analysis and Bayesian networks[J].Chinese Hydraulics & Pneumatics,2015(1):44-48.

[16] CHEN T T,WANG C H.Fall risk assessment of bridge construction using Bayesian network transferring from fault tree analysis[J].Journal of Civil Engineering and Management,2017,23(2):273-282.

[17] 姚成玉,陈东宁,王斌.基于T-S故障树和贝叶斯网络的模糊可靠性评估方法[J].机械工程学报,2014,50(2):193-201.

YAO Chengyu,CHEN Dongning,WANG Bin.Fuzzy reliability assessment method based on T-S fault tree and Bayesian network[J].Journal of Mechanical Engineering,2014,50(2):193-201.

Fault diagnosis of mine hoist based on fuzzy fault tree and Bayesian network

ZHANG Mei1,XU Tao1,SUN Huihuang2,MENG Xiangyu2

(1.School of Electrical and Information Engineering, Anhui University of Science and Technology, Huainan 232001, China; 2.Xutuan Coal Mine, Huaibei Mining(Group) Co., Ltd., Mengcheng 233500, China)

Abstract:In order to solve problems of low efficiency and poor accuracy of existing mine hoist fault diagnosis methods, a fault diagnosis method of mine hoist based on fuzzy fault tree and Bayesian network was proposed. Firstly, denoising preprocessing and multi-source information fusion are carried out for hoist running parameters collected by sensors in real time, which can ensure accuracy of the data. Then the processed data is input into fault tree of mine hoist, and triangular fuzzy number is used to represent occurrence probability of bottom even to obtain fuzzy probability of bottom event. Finally, the fuzzy fault tree is mapped to Bayesian network for reliability analysis, and the fuzzy probability of bottom event is taken as priori probability to calculate probability of leaf node occurrence, thus posterior probability, probability importance and key importance of root node are obtained, so as to quickly determine fault type and fault location. The example analysis results verify feasibility of the method.

Key words:mine hoist; fault diagnosis; fuzzy fault tree; Bayesian network; reliability analysis

中图分类号:TD633/534

文献标志码:A

文章编号1671-251X(2020)11-0001-06

DOI:10.13272/j.issn.1671-251x.17562

收稿日期:2020-03-13; 修回日期:2020-11-09; 责任编辑:盛男。

基金项目:国家自然科学基金资助项目(51874010);淮北矿业集团科研项目(HX2019052530)。

作者简介:张梅(1979-),女,安徽宿州人,副教授,硕士,主要研究方向为物联网、智能控制,E-mail:mzhang@aust.edu.cn。

引用格式:张梅,许桃,孙辉煌,等.基于模糊故障树和贝叶斯网络的矿井提升机故障诊断[J].工矿自动化,2020,46(11):1-5.

ZHANG Mei,XU Tao,SUN Huihuang,et al.Faultdiagnosis of mine hoist based on fuzzy fault tree and Bayesian network,2020,46(11):1-5.