基于Gabor域时空泛化建模的矿井水灾感知方法

曹玉超

(中国矿业大学(北京) 机电与信息工程学院, 北京 100083)

摘要矿井突涌水图像中突涌水纹理与煤岩图像相比具有时空域变化性强的特点,现有基于图像纹理特征的矿井水灾识别方法对于复杂突涌水纹理特征的提取能力有限、识别率较低。针对该问题,提出了一种基于Gabor域时空泛化建模的矿井水灾感知方法。该方法分别对训练样本图像和待测样本图像进行不同感受野、不同方向下的Gabor分解,将各子带的期望与标准差组合,构成本方向的学习特征向量和待测特征向量;根据最小熵原理对特征向量进行时空泛化建模,以去除时空域敏感性;采用特征向量各分量之间的夹角作为相似性测度,对学习特征向量和待测特征向量进行相似性比较,实现突涌水识别。实验结果表明,该方法识别率达89.4%,识别时间为136 ms,基本满足井下水灾实时感知需求。

关键词矿井水灾; 水灾感知; 突涌水识别;
图像纹理特征; 时空域敏感性; 时空泛化建模; Gabor分解; 相似性比较

0 引言

水害为煤矿重特大灾害之一[1-7]。目前矿井水灾感知方法主要基于水文钻孔[8-10]、微震[11] 、水位[12]、应力、电阻率、图像[1,6-7]等监测数据。其中基于图像的水灾感知方法具有无接触、直观、可靠、易于维护等特点,目前受到越来越多的关注。文献[1]介绍了一种根据图像纹理特征识别矿井水灾的方法,通过对突涌水图像进行双树复小波域多层分解,并对多层之间的系数规律进行泊松分布建模提取图像纹理特征,进而实现水灾识别,但识别率较低,仅为81%,主要原因在于突涌水图像与煤岩图像[13-16]相比,其最主要的特点是在空间域中突涌水纹理随方向的变化而变化、在时间域中同一方位不同时间的突涌水纹理具有不同的特点,而双树复小波仅能在不同方向提取突涌水纹理特征,无法在同一尺度下进行多感受野分析,对复杂突涌水纹理特征的提取能力有限。

提高水灾感知能力的关键是在空间域尽可能多地提取各个方向的纹理特征,在时间域建立一种对时间不敏感的特征模型。Gabor分解能提供良好的方向和尺度选择(通过选择尺度可改变感受野),与人类视觉过程类似,且对光照变化不敏感,能很好地解决突涌水图像的时间域与空间域信息提取问题。因此,本文提出一种基于Gabor域时空泛化建模的矿井水灾感知方法:对突涌水图像训练样本在不同感受野、不同方向下进行Gabor分解,分别对各个子带提取期望与标准差,并将其作为本方向的学习特征向量;按照最小熵原理去除时空域敏感性,实现时空泛化建模;对被测样本进行相同操作,得到被测特征向量,并将其与学习特征向量进行相似性比较,实现突涌水识别。

1 Gabor分解

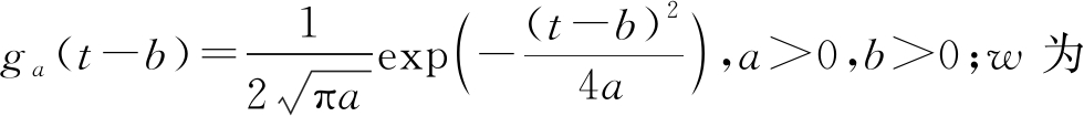
假设时域信号f(t)满足f(t)∈L2(R),t为时间,L2(R)为由实数R构成的二维空间,则f(t)的Gabor变换为

Gf(ab,w)=f(t)ga(t-b)exp(-jwt)dt

(1)

式中:ga(t-b)为高度参数为a、时间平移窗口为b的窗函数,频率。

f(t)可按下式重构:

f(t)=

exp(-jwt)dwdb

(2)

采用Gabor滤波器(式(3))对图像进行滤波,实现图像从时域到Gabor域的转换。

g(x,y,λ,θ,ψ,σ,γ)=

(3)

式中:(xy)为图像像素相对于图像左上角的坐标;λ为Gabor滤波器波长;θ为Gabor核函数的倾斜角度;ψ为相调谐函数的相位偏移,取值为 -180 ~ 180°;σ为高斯函数的方差;γ为决定滤波器形状的椭圆率。

2 时空泛化建模

假设突涌水图像像素矩阵为F,经过Gabor分解后的系数矩阵为

C=F*g(x,y,λ,θ,ψ,σ,γ)

(4)

C进行统计量分析。首先计算第s个方向上第r个感受野的期望Es,r(s=1,2,…,Ndr=1,2,…,NfNdNf分别为方向和感受野数量),然后计算相应的标准差Ssr。将各统计量按照下式拼接为向量,作为突涌水的纹理特征向量。

V=(E, S)

(5)

式中:E=(E1,E2,…,ENd),Es为第s个方向上的期望向量,Es=(Es,1Es,2,…,EsNf);S=(S1,S2,…,SNd),Ss为第s个方向上的标准差向量,Ss=(Ss,1Ss,2,…,SsNf)。

假设vi为特征向量V的第i(i=1,2,…,Nd+Nf)个分量,P(vi)为vi出现的概率,则突涌水图像的熵可表示为

H(V)=-∑P(vi)log2P(vi)

(6)

P(vi)可根据下式计算:

(7)

式中LuLv分别为特征向量V各个分量的最大、最小值。

信息熵越小,说明特征向量表示的系统越有序,因此将目标转换为求min H(V)。本文设置Lu-Lv按降序排列,则在特征向量每个分量上,Lu-Lv逐渐变小,P(vi)变大,则根据式(6),信息熵将变小。

3 图像纹理特征相似性对比

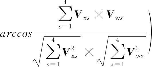
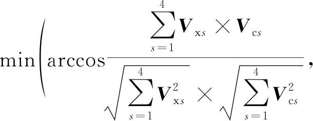
煤、岩、突涌水图像训练样本经时空泛化建模(本文选择0,45,90,135° 4个方向,6个感受野,即Nd=4,Nf=6)进行特征提取,得到长度为48的纹理特征向量(学习特征向量)。提取的待测样本特征向量(待测特征向量)需与学习特征向量进行比较,得出相似性。经Gabor分解后特征向量各个分量差异较大,若以距离作为相似性测度,则较大的分量对相似性的影响会导致其他分量的差异性被忽略。因此,笔者采用特征向量各分量之间的夹角作为图像的相似性测度。该夹角对特征向量的绝对值不敏感,更关注特征向量在方向上的差异性,避免了传统距离测度易受单一分量影响的问题。设VcVrVw分别为提取的煤、岩、突涌水图像学习特征向量,Vx为待测特征向量,则矿井水灾识别问题可转换为求解下式。

(8)

整理可得

(9)

式中: VcsVrsVws分别为煤、岩、突涌水图像训练样本在第s个方向上的特征向量;Vxs为待测样本在第s个方向上的特征向量。

4 实验

为了验证基于Gabor域时空泛化建模的矿井水灾感知方法的有效性,在Intel i5、8 GB内存、Windows平台上,采用Python 3.7进行实验。实验数据集包括煤、岩、突涌水图像各250张,共750张,图像尺寸为256×256。在每种图像中随机抽取50张作为训练样本进行训练,其余作为待测样本。

4.1 时空泛化建模

选择0,45,90,135° 4个方向及6个感受野,对图像进行时空泛化建模,得到长度为48的纹理特征向量。其统计量有24条子带,期望和标准差如图1所示。

(a) 期望

(b) 标准差

图1 不同子带的统计量分析
Fig.1 Statistics analysis of different sub-bands

4.2 识别率

本文方法对矿井水灾的识别率为89.4%,与文献[1]方法相比有明显提升。原因在于Gabor分解对图像纹理特征的提取能力较双树复小波分解强,能从多个尺度、多个感受野提取纹理特征,同时根据最小熵原理进行时空泛化建模,对图像纹理特征进行有序表示,与基于单一统计量的建模方法相比具有良好的可区分性。

4.3 时空开销

突涌水识别时间由训练时间和识别时间组成。训练时间较长,主要是指对煤、岩、突涌水图像训练样本进行纹理特征提取、建模等的时间,与训练样本数量呈正相关关系,因训练为线下运行,对识别实时性基本没有影响。识别时间是影响突涌水识别实时性的主要因素。本文方法的识别时间为136 ms,基本满足井下水灾识别的实时性要求。

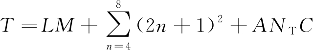
煤矿井下设备的识别算法一般要求本地运行,因此需考虑算法占用的存储量T,计算公式如下。

(10)

式中:LM分别为图像像素的长度和宽度,本文均取256;A为提取的特征向量维数;NT为训练样本数;C为分类数。

本文方法中,ANTC分别取64,50,3,可得占用内存76 070 Byte,可看出本文方法所占存储量较小,较大型深度学习[17]具有明显优势,特别是针对DSP、ARM、FPGA、单片机等芯片。

5 结语

基于Gabor域时空泛化建模的矿井水灾感知方法对时空域具有较强的包容能力。该方法通过对突涌水图像在不同感受野、不同方向下进行Gabor分解,提取各子带的期望与标准差作为本方向的纹理特征向量,根据最小熵原理对特征向量进行时空泛化建模,并采用特征向量各分量的夹角作为相似性测度,对学习特征向量和待测特征向量进行相似性比较,实现突涌水识别。实验结果表明,该方法识别率达89.4%,识别时间为136 ms,基本满足井下水灾实时感知需求。

参考文献(References):

[1] 孙继平,曹玉超.基于图像纹理特征的矿井水灾感知方法[J].煤炭学报,2019,44(9):2936-2944.

SUN Jiping,CAO Yuchao.Coal-mine flood perception method based on image texture features[J].Journal of China Coal Society,2019,44(9):2936-2944.

[2] 孙继平,钱晓红.2004—2015年全国煤矿事故分析[J].工矿自动化,2016,42(11):1-5.

SUN Jiping,QIAN Xiaohong.Analysis of coal mine accidents in China during 2004-2015[J].Industry and Mine Automation,2016,42(11):1-5.

[3] 孙继平.煤矿井下紧急避险关键技术[J].煤炭学报,2011,36(11):1890-1894.

SUN Jiping.Research on key technologies of emergency refuge system in underground coal mine[J].Journal of China Coal Society,2011,36(11):1890-1894.

[4] 孙继平.煤矿物联网特点与关键技术研究[J].煤炭学报,2011,36(1):167-171.

SUN Jiping.Research on characteristics and key technology in coal mine Internet of things[J].Journal of China Coal Society,2011,36(1):167-171.

[5] 孙继平.煤矿安全生产监控与通信技术[J].煤炭学报,2010,35(11):1925-1929.

SUN Jiping.Technologies of monitoring and communication in the coal mine[J].Journal of China Coal Society,2010,35(11):1925-1929.

[6] 孙继平,靳春海.矿井水灾感知与水源判定方法研究[J].工矿自动化,2019,45(4):1-5.

SUN Jiping,JIN Chunhai.Research on methods of mine flood perception and water source determination[J].Industry and Mine Automation,2019,45(4):1-5.

[7] 孙继平,靳春海,曹玉超.基于视频图像的矿井水灾识别及趋势预测方法研究[J].工矿自动化,2019,45(7):1-4.

SUN Jiping,JIN Chunhai,CAO Yuchao.Research on mine flood identification and trend prediction method based on video image[J].Industry and Mine Automation,2019,45(7):1-4.

[8] 秦成.基于钻孔水文监测信息的顶板水害分析[J].矿业安全与环保,2017,44(4):80-84.

QIN Cheng.Analysis of roof water inrush hazard based on borehole hydrological monitoring information[J].Mining Safety & Environmental Protection,2017,44(4):80-84.

[9] 许延春,黄磊,俞洪庆,等.基于注浆钻孔数据集的注浆工作面底板突水危险性评价体系[J].煤炭学报,2020,45(3):1150-1159.

XU Yanchun,HUANG Lei,YU Hongqing,et al.Evaluation system for floor water inrush risk in grout-reinforced working faces based on grouting boreholes dataset[J].Journal of China Coal Society,2020,45(3):1150-1159.

[10] 李涛,高颖,艾德春,等.基于承压水单孔放水实验的底板水害精准注浆防治[J].煤炭学报,2019,44(8):2494-2501.

LI Tao,GAO Ying, AI Dechun,et al.Floor precise grouting for prevention and control of water based on confined water single-hole drainage experiment[J].Journal of China Coal Society,2019,44(8):2494-2501.

[11] 谢兴楠,叶根喜.测井“静态”探测与微震“动态”监测技术在矿井突水综合预警中的应用[J].中国矿业,2012,21(1):110-114.

XIE Xingnan,YE Genxi.Application of integrated predicaiton of water inrussing based on static geopyhysical logging probe and dynamic microseismic monitoring[J].China Mining Magazine,2012,21(1):110-114.

[12] 杨增强,曹明,甘建东,等.矿井水仓水位监测传感器设计[J].煤矿机械,2011,32(1):33-35.

YANG Zengqiang,CAO Ming,GAN Jiandong,et al.Mine water storage level monitoring sensor[J].Coal Mine Machinery,2011,32(1):33-35.

[13] 孙继平,陈浜.基于小波域非对称广义高斯模型的煤岩识别算法[J].煤炭学报,2015,40(增刊2):568-575.

SUN Jiping,CHEN Bang.A coal-rock recognition algorithm using wavelet-domain asymmetric generalized Gaussian models[J].Journal of China Coal Society,2015,40(S2):568-575.

[14] 孙继平,佘杰.基于小波的煤岩图像特征抽取与识别[J].煤炭学报,2013,38(10):1900-1904.

SUN Jiping,SHE Jie.Wavelet-based coal-rock image feature extraction and recognition[J].Journal of China Coal Society,2013,38(10):1900-1904.

[15] 孙继平,陈浜.基于双树复小波域统计建模的煤岩识别方法[J].煤炭学报,2016,41(7):1847-1858.

SUN Jiping,CHEN Bang.An approach to coal-rock recognition via statistical modeling in dual-tree complex wavelet domain[J].Journal of China Coal Society,2016,41(7):1847-1858.

[16] SUN Jiping,SU Bo.Coal-rock interface detection on the basis of image texture features[J].International Journal of Mining Science and Technology,2013,23 (5):681-687.

[17] 曹玉超,范伟强.基于不同深度识别算法的矿井水位标尺刻度识别性能分析与研究[J].煤炭学报,2019,44(11):3529-3538.

CAO Yuchao,FAN Weiqiang.Performance analysis and research of mine water level scale recognition based on different depth recognition algorithms[J].Journal of China Coal Society,2019,44(11):3529-3538.

Mine flood perception method based on spatiotemporal generalization modeling in Gabor domain

CAO Yuchao

(School of Mechanical Electronic and Information Engineering, China University of Mining and Technology(Beijing), Beijing 100083, China)

AbstractCompared with coal and rock images, water inrush texture in mine water inrush images has strong variability characteristics in spatiotemporal domain. Existing mine flood identification methods based on image texture features have limited extraction ability and low recognition rate for complex water inrush texture features. For the above problems, a mine flood perception method based on spatiotemporal generalization modeling in Gabor domain is proposed. In the method, Gabor decompositions of training sample images and tested sample images under different receptive fields and directions are carried out separately, and expectation and standard deviation of each sub-band are combined to form learning feature vector and the tested one in a direction. Spatiotemporal generalization modeling of the feature vectors is carried out according to the minimum entropy principle, so as to remove spatiotemporal sensitivity. Angles between each component of the feature vector are taken as the similarity measure of similarity comparison between the learning feature vector and the tested one, so as to realize water inrush recognition. The experimental results show that recognition rate of the method is 89.4% and recognition time is 136 ms, which basically meets real-time perception demand of mine flood.

Key words:mine flood; flood perception; water inrush recognition; texture feature of image; spatiotemporal sensitivity; spatiotemporal generalization modeling; Gabor decomposition; similarity comparison

文章编号1671-251X(2020)10-0076-05

DOI:10.13272/j.issn.1671-251x.17666

中图分类号:TD745

文献标志码:A

收稿日期:2020-09-14; 修回日期:2020-10-10; 责任编辑:李明。

基金项目:国家重点研发计划资助项目(2016YFC0801800)。

作者简介:曹玉超(1985-),男,河北正定人,博士研究生,研究方向为机器视觉、煤矿灾害监控,E-mail:yuchaocao@163.com。

引用格式:曹玉超.基于Gabor域时空泛化建模的矿井水灾感知方法[J].工矿自动化,2020,46(10):76-79.

CAO Yuchao.Mine flood perception method based on spatiotemporal generalization modeling in Gabor domain[J].Industry and Mine Automation,2020,46(10):76-79.