实验研究
杨恩,王世博,王赛亚,周悦
(中国矿业大学 机电工程学院, 江苏 徐州 221116)
摘要:针对现有煤岩反射光谱有监督识别方法存在煤岩位置变化时识别效果差的问题,为研究基于反射光谱的煤岩自主适应性识别,提出了基于聚类距离改进型模糊C均值聚类(FCM)算法的典型煤岩反射光谱无监督感知方法。以兴隆庄煤矿气煤、泥岩、粉砂岩、泥质灰岩4种典型煤岩样品为研究对象,测定了每种试样多个背向反射角下的近红外波段的反射光谱曲线,分析了4种煤岩反射光谱最具差异性的特征波段,选取2 150~2 400 nm作为4种煤岩反射光谱差异性特征波段,在特征波段内,对气煤-泥岩、气煤-粉砂岩、气煤-泥质灰岩光谱组合进行煤岩反射光谱无监督识别研究。研究结果表明:4种试样表面的背向光谱反射率均呈现出随背向反射角增大而先增大后减小的整体趋势,背向反射角增大时,泥岩、粉砂岩和泥质灰岩的各吸收谷深度变化较小,只有微弱的减小,气煤的各吸收谷深度减小相对明显;采用改进型FCM(RFCM,CFCM)方法将光谱数据快速聚类,由最终聚类隶属度概率矩阵判定光谱数据类别,进而判定不同位置煤岩类别;相较于FCM,改进型FCM对各煤岩组合的识别率均大于90%,其中CFCM对各煤岩组合聚类识别迭代次数最少,总耗时均小于0.1 s,为优先选择方法,为反射光谱技术应用于煤岩界面不同位置煤岩的高效适应性判定提供了参考。
关键词:煤岩识别; 反射光谱; 有监督识别; 无监督感知; 光谱特征波段; 模糊C均值聚类; 聚类距离
反射光谱技术是遥感探测的基础,其中岩石和矿物地物反射光谱探测识别是遥感探测的重要分支[1-3]。近红外波段(780~2 526 nm)是岩矿地物反射光谱探测所使用的主要波段,岩矿的反射光谱在此波段具有明显的吸收谷谱带,这些吸收谷能够有效反映岩矿的主要组成成分,如1 400 nm附近为H2O和—OH谱带,1 900 nm附近为H2O谱带,2 200 nm附近为黏土矿物Al—OH谱带,2 350 nm附近为碳酸盐矿物
谱带等[1]。与此同时,煤作为一种成分复杂的有机沉积岩,部分学者研究了煤在近红外波段的反射光谱特征[4-5],给出了反映煤主要有机成分结构的吸收谷谱带,如1 700 nm附近为芳香结构C-H与脂肪侧链CH2的合频谱带,2 300 nm附近为脂肪侧链CH3与CH2的合频谱带等[5-6]。以煤和岩石反射光谱特征为理论基础,反射光谱技术已在煤矿遥感[7-9]、煤和矸石地物反射光谱探测识别[10]等领域得到了研究和应用。在煤矿井下长壁开采中,煤岩识别一直是制约煤炭无人化开采的瓶颈技术,长期以来人们研究了多种基于电磁波技术的井下煤岩识别方法[11-14],煤岩遥感和煤岩地物反射光谱探测识别技术的研究和应用为煤岩识别新方法的研究提供了思路。
受反射光谱技术在岩矿和煤矿遥感探测识别领域应用的启发,文献[15-16]分析了各类典型煤岩的近红外波段反射光谱特征及煤岩反射光谱曲线差异性,并给出了基于反射光谱的煤岩识别计算方法,主要以大量已知类别和成分煤岩样本某一固定反射方向的反射光谱为训练集,通过有监督的机器学习方法建立预测模型,对未知煤岩样本同一反射方向的反射光谱进行预测识别[16-17],验证了反射光谱技术用于煤岩识别的可行性。在井下综采工作面煤岩界面处,煤岩反射光谱探测位置的改变将会引起采集光谱反射方向的变化,由于物质双向反射特性的影响[2,18-20],当煤岩光谱的反射方向发生改变时,反射光谱曲线将发生改变。以某一固定反射方向的煤岩光谱训练集进行有监督建模来预测不同反射方向煤岩光谱时,预测准确率将会降低。因此,需找到一种不依赖于已知反射光谱数据训练集或现有反射光谱数据库训练集的煤岩反射光谱无监督自主适应性识别方法。
以聚类算法为代表的无监督自主分类识别方法已在高光谱遥感领域得到了较多应用[21],采用无监督分类方法可避免不同条件下获得的训练集数据的影响,具有更好的适应性。模糊C均值聚类(Fuzzy C-means Clustering,FCM)为一种典型的无监督分类方法[22],其聚类距离常采用欧氏距离,然而在一些应用领域,欧氏距离效果较差。Wu Fang等[23]采用相关性距离代替欧氏距离,采用改进的FCM方法对USGS(United States Geological Survey)光谱库中标准矿物反射光谱和收集的岩石反射光谱进行准确分类。针对现有煤岩反射光谱有监督识别方法存在煤岩位置变化时识别效果差的问题,为了基于反射光谱实现不同位置煤岩的自适应、精确、快速识别,本文提出了一种典型煤岩反射光谱无监督感知方法,基于不同位置煤岩的反射光谱曲线间的相似性进行煤岩聚类识别。针对短时间内遥测采集的不同位置煤岩的反射光谱数据,采用聚类距离改进型FCM方法将光谱数据快速聚类,由最终聚类隶属度概率矩阵判定光谱数据类别,进而判定不同位置煤岩类别。
本文对来自山东兴隆庄煤矿的气煤、泥岩、粉砂岩、泥质灰岩4种典型煤岩样品,测定了每种试样多个背向反射角下的近红外波段(1 000~2 500 nm)反射光谱曲线,选取了最具差异性的光谱特征波段,获取了不同聚类距离FCM方法下气煤-泥岩、气煤-粉砂岩、气煤-泥质灰岩3种煤岩组合的识别结果。研究煤岩反射光谱的无监督感知方法,将为研究反射光谱技术应用于井下煤岩界面处不同位置煤岩的自主适应性判定提供基础和依据。
从山东兴隆庄煤矿采集了气煤、泥岩、粉砂岩、泥质灰岩4种典型煤岩类型块状样品各1块,见表1。其中岩来源于顶板煤岩界面处,涵盖了煤层中常见的泥页岩、砂岩、灰岩三大沉积岩类型,因受沉积过程影响,含有一定的碳质物质成分,外观为黑色或灰黑色,与煤较为接近。
表1 煤岩块状样品
Table 1 Block coal and rock samples

煤岩界面反射光谱探测如图1所示,在井下综采煤壁煤岩分界处、煤岩分界两侧不同位置煤岩采集光谱的反射方向不同,即同一光源照射条件下反射光谱探测传感器采集不同位置煤岩所获光谱反射角不同,且入射光线与采集的反射光线位于反射表面法线的同一侧,即为背向反射。为快速判定煤岩分界,需采集和识别煤岩分界两侧不同位置煤岩的反射光谱,即多个角度的背向反射光谱。为了研究不同背向反射角度下煤岩反射光谱的快速无监督感知识别,在实验室采集了以上4块煤岩试样表面0~-75°背向反射角范围内的反射光谱,如图2所示。
每块试样平放于黑色背景桌面上,保持上表面平整,采用100 W卤钨光源照射试样上表面,入射角固定为45°,光纤准直探头对准试样照射区域中心收集反射光线,光纤准直探头通过石英光纤连接Avantes AvaSpec光谱仪,其波段为1 000~2 500 nm,单条光谱曲线采集耗时1 ms。以试样照射区域中心为旋转中心,光纤准直探头与照射区域中心保持0.5 m的直线距离,在入射光线所在竖直平面内,光纤准直探头绕照射区域中心从0转动至-75°,每隔2.5°采集一次反射光谱。从0反射角开始采集,-45°反射角除外,因为此时光纤准直探头与中心入射光线在同一直线,探头遮挡中心入射光线,无法有效采集反射光谱,故每块试样在0~-75°背向反射角范围内共采集30条反射光谱曲线。本实验采用PTFE材料参照白板,以探测距离0.5 m、0反射角为标准。

图1 煤岩界面反射光谱探测
Fig.1 Reflectance spectra detection of coal-rock interface

图2 煤岩背向反射光谱采集
Fig.2 Back reflectance spectra acquisition of coal and rock samples
此外,在同一煤矿收集了以上各样品相邻地质层位的同类钻孔岩心试样,包括煤层中心气煤和碳质物质含量较低、色泽为灰色的泥岩、粉砂岩、泥质灰岩。将4种钻孔岩心试样粉碎至0.5 mm粒度粉末[15],放置在培养皿中,抹平表面,按图2中0反射角采集抹平表面的反射光谱,作为标准参照光谱。
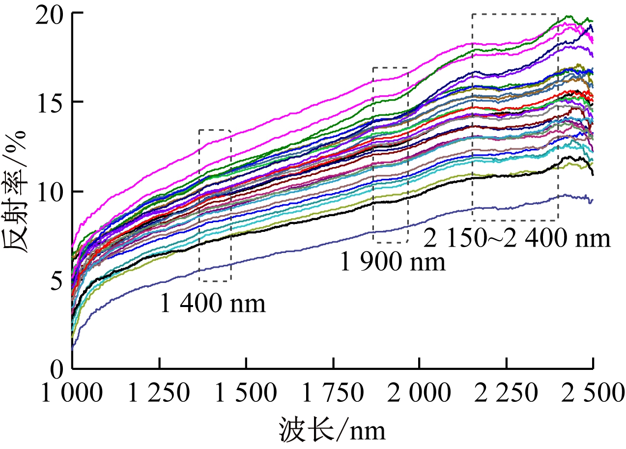
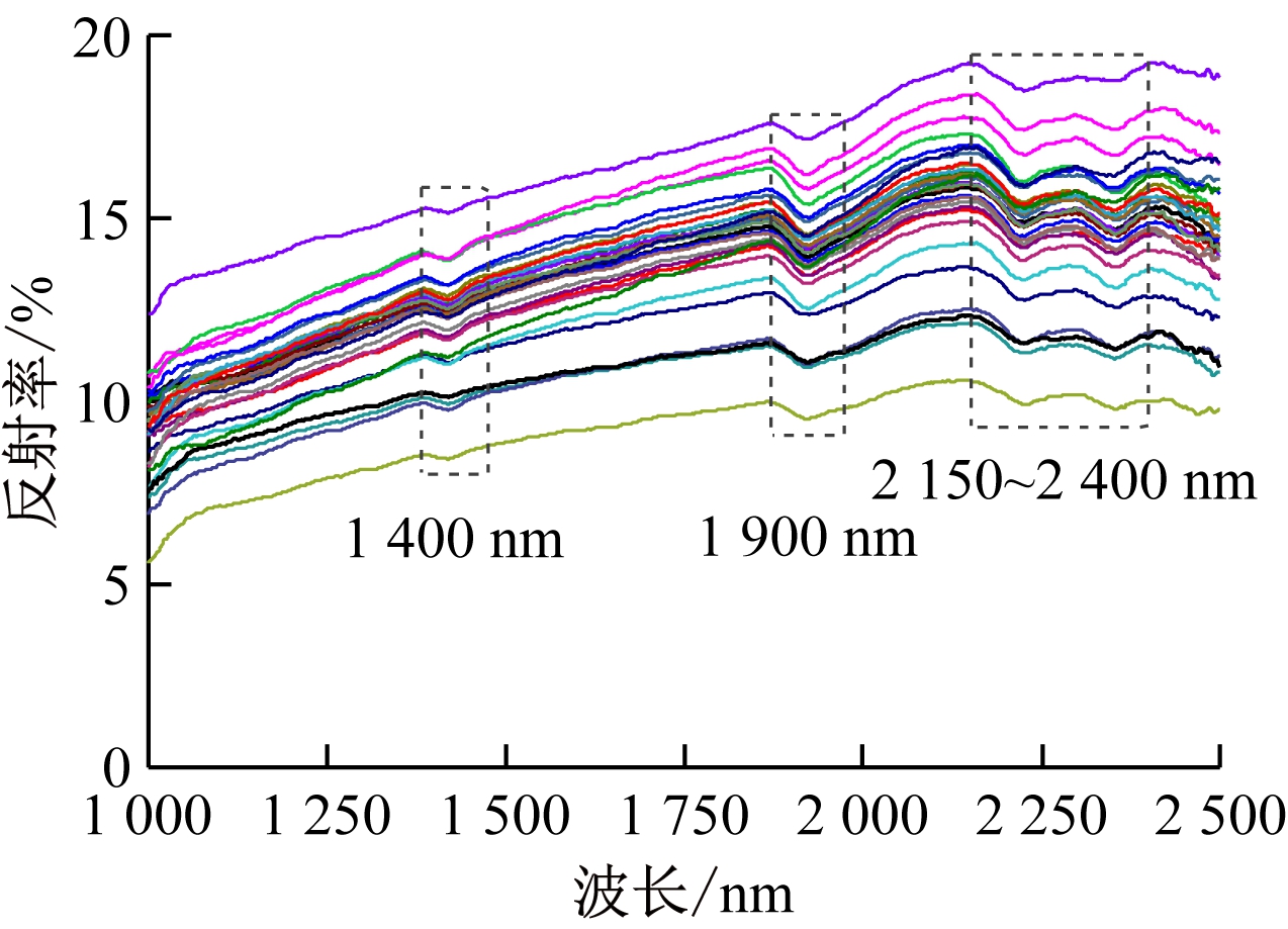
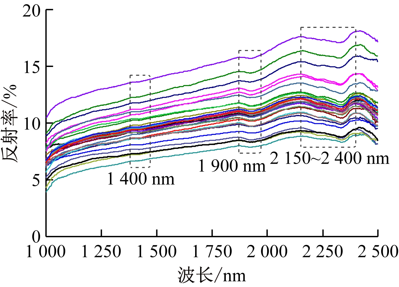
采用13点Savitzky-Golay(SG)卷积平滑算法对采集到的煤岩反射光谱曲线进行滤波去噪处理[17],图3为表1中气煤、泥岩、粉砂岩、泥质灰岩4种块状试样在45°入射角、0~-75°背向反射角探测几何情况下,经去噪后的各自30条近红外波段(1 000~2 500 nm)光谱反射率曲线。4种钻孔岩心0.5 mm粒度粉末试样的反射光谱曲线如图4所示。

(a) 气煤

(b) 泥岩

(c) 粉砂岩

(d) 泥质灰岩
图3 0~-75°背向反射角度下的煤岩反射光谱
Fig.3 Reflectance spectra of coal and rock samples at back reflection angles of 0--75°
由图3可知,4种块状试样吸收谷主要分布在1 400,1 900,2 150~2 400 nm波长附近,3种岩相对于气煤均表现出了较为明显的吸收谷特征,粉砂岩和泥质灰岩吸收谷最为明显。1 400 nm和1 900 nm波长吸收谷受试样中水分影响较大[15],不同种类试样影响程度差别较大,粉砂岩在这两处最为明显,气煤、泥岩、泥质灰岩在1 900 nm处较明显,泥质灰岩在1 900 nm处的吸收谷还跟其中碳酸盐矿物有关[15]。

图4 煤岩钻孔岩心试样反射光谱
Fig.4 Reflectance spectra of coal and rock drilling core samples
2 150~2 400 nm波长范围内,4种试样的吸收谷特征各不相同:气煤为全波段整体缓慢吸收,与其中有机成分有关[5];泥岩集中在2 200 nm波长附近,取决于其中黏土矿物;受黏土矿物和碳酸盐矿物影响,粉砂岩集中在2 200 nm和2 350 nm波长附近;泥质灰岩集中在2 350 nm波长附近,与其中碳酸盐矿物有关[15]。
4种块状试样表面的背向光谱反射率均呈现出随背向反射角增大而先增大后减小的整体趋势。背向反射角增大时,泥岩、粉砂岩和泥质灰岩的各吸收谷深度变化较小,只有微弱的减小,气煤的各吸收谷深度减小相对明显。
图4中的煤岩钻孔岩心试样反射光谱与图3中的煤岩反射光谱相比,碳质物质含量较低的3种岩块整体反射率较大,在1 400,1 900,2 150~2 400 nm波长附近吸收谷增强,煤层中部气煤整体反射率较小,此3个波长范围吸收谷变弱。4种钻孔岩心试样在2 150~2 400 nm波长附近吸收谷特征亦各不相同,差异性更为明显。
根据以上分析,为降低光谱数据维数,提高光谱识别算法的运行效率,本文选取2 150~2 400 nm波段作为煤岩反射光谱差异性特征波段,进行煤岩反射光谱无监督识别研究。同时,将4种块状试样0~-75°背向反射角下的2 150~2 400 nm波段光谱反射率数据按气煤-泥岩、气煤-粉砂岩、气煤-泥质灰岩3种煤岩组合进行分组,分别进行仿真实验。每组数据含60个特征波段光谱样本,前30个为气煤,后30个为岩石。
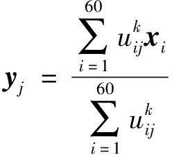
设X=[x1,x2,…,x60]为气煤-泥岩、气煤-粉砂岩、气煤-泥质灰岩3种组合中1个分组的煤岩特征光谱矩阵,则类别数为2,yj(j=1,2)为每次迭代开始时2个类别的聚类中心,uij(i=1,2,…,60)为每次迭代时第i个特征光谱样本xi属于第j类的所得隶属度,聚类损失值为[22]
(1)
式中k为加权指数。
在每次迭代时,uij计算方法为

(2)
下一次迭代开始时的聚类中心yj为

(3)
以此重复迭代,按式(1)计算每次迭代的聚类损失值J,直至第n次迭代后的聚类损失值Jn与第n-1次迭代后的聚类损失值Jn-1满足以下关系:
|Jn-Jn-1|≤ε
(4)
式中ε为给定任意小阈值,按第n次迭代所得2×60隶属度矩阵U=[uij]T决定煤岩特征光谱所属类别。
在以上迭代过程中,以煤岩特征光谱向量xi与聚类中心向量yj的欧氏距离
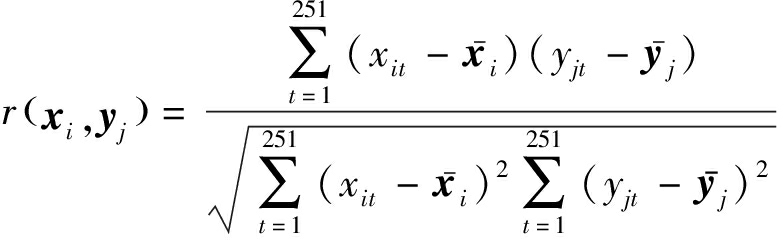
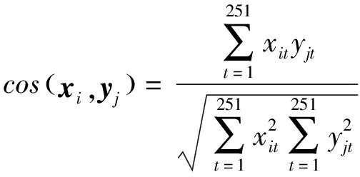
为聚类距离,因光谱反射率为试样反射光通量对参照白板反射光通量的相对比值,欧氏距离聚类很多情况下会产生较大误差[23]。地物反射光谱曲线相似性判定常采用相关系数法和夹角余弦法,据此采用相关性距离和余弦距离作为FCM聚类距离,建立相关性距离模糊C均值聚类(Correlation Distance Fuzzy C-means Clustering,RFCM)和余弦距离模糊C均值聚类(Cosine Distance Fuzzy C-means Clustering,CFCM)算法。
煤岩特征光谱向量xi与聚类中心向量yj的相关性距离RDij、余弦距离CDij分别定义为
![]()
(5)
(6)
式中r(xi,yj),cos(xi,yj)分别为煤岩特征光谱向量xi与聚类中心向量yj的相关系数、夹角余弦。

(7)

(8)

(9)

(10)
式中xit、yjt分别为2 150~2 400 nm波段251维煤岩特征光谱向量xi、聚类中心向量yj的第t(t=1,2,…,251)维元素。
分别用式(5)和式(6)中相关性距离RDij、余弦距离CDij代替式(1)和式(2)中的欧氏距离
得到RFCM,CFCM的聚类损失值JR,JC和隶属度uRij,uCij分别为
(11)

(12)
(13)

(14)
至此,建立了RFCM、CFCM两种改进型FCM算法。
对气煤-泥岩、气煤-粉砂岩、气煤-泥质灰岩3种煤岩光谱差异性特征波段反射率数据组合分别采用FCM,RFCM,CFCM进行聚类识别。初始聚类中心取图4中相对应煤岩类型钻孔岩心粉末试样2 150~2 400 nm波段光谱数据组合,设定加权指数k=2,最大迭代次数为100,阈值ε=0.000 01[22]。3种煤岩组合数据最终迭代次数和聚类损失值迭代过程变化趋势如图5所示,3种煤岩组合数据聚类中心迭代过程变化趋势如图6—图8所示。
由图5可知,在同一组煤岩特征波段光谱反射率数据中,CFCM方法迭代次数最少,以上3种组合迭代次数分别为6,4,4;RFCM方法迭代次数次之,以上3种组合迭代次数分别为16,7,7;FCM方法迭代次数最多,以上3种组合迭代次数分别为26,11,25。由图6—图8可知,在每种组合中,气煤采用3种聚类方法最终聚类中心波形与气煤的初始聚类中心光谱波形基本一致。而3种岩石在各自组别采用FCM方法时,其最终聚类中心波形吸收谷特征不明显,最终聚类中心波形类似于气煤的最终聚类中心波形,采用RFCM和CFCM方法时,最终聚类中心波形吸收谷特征比较明显,最终聚类中心波形与各自的初始聚类中心光谱波形一致。由此可推断,RFCM和CFCM方法对岩特征光谱的聚类效果要优于FCM方法。



(a) 气煤-泥岩聚类损失值变化趋势



(b) 气煤-粉砂岩聚类损失值变化趋势



(c) 气煤-泥质灰岩聚类损失值变化趋势
图5 煤岩特征波段反射光谱聚类损失值迭代过程变化趋势
Fig.5 Trends of clustering loss values of reflectance spectra in characteristic band of coal and rock samples during iteration processes



(a) 气煤



(b) 泥岩
图6 气煤-泥岩组合特征波段反射光谱聚类中心迭代过程变化趋势
Fig.6 Trends of clustering centers of reflectance spectra in characteristic band of combination of gas coal-mudstone during iteration processes



(a) 气煤



(b) 粉砂岩
图7 气煤-粉砂岩组合特征波段反射光谱聚类中心迭代过程变化趋势
Fig.7 Trends of clustering centers of reflectance spectra in characteristic band of combination of gas coal-siltstone during iteration processes



(a) 气煤



(b) 泥质灰岩
图8 气煤-泥质灰岩组合特征波段反射光谱聚类中心迭代过程变化趋势
Fig.8 Trends of clustering centers of reflectance spectra in characteristic band of combination of gas coal-argillaceous limestone during iteration processes
3种煤岩组合光谱数据经FCM,RFCM,CFCM算法迭代聚类后,每个分组中煤岩特征光谱样本的最终隶属度计算结果如图9所示。
由图9可知,RFCM和CFCM方法对每组试样中的绝大多数或全部特征光谱样本的聚类隶属度大于0.5。而FCM方法对每组试样中前30个气煤特征光谱样本的聚类隶属度大部分大于0.5,但对后30个岩石特征光谱样本的聚类隶属度大部分小于0.5。由此可见,以上3个分组试样的最终隶属度结果与图6—图8中的最终聚类中心波形是一致的。从图9中隶属度所反映的识别率来看,基于相关性距离和余弦距离聚类的RFCM和CFCM方法均适用于基于反射光谱的煤岩无监督分类。

(a) 气煤-泥岩识别结果

(b) 气煤-粉砂岩识别结果

(c) 气煤-泥质灰岩识别结果
图9 煤岩特征波段反射光谱聚类识别结果
Fig.9 Clustering recognition results of reflectance spectra in characteristic band of coal and rock samples
式(1)、式(3)、式(11)、式(13)表明,加权指数k控制着不同类隶属度的分享程度[22],不同的加权指数会影响最终的迭代次数和隶属度矩阵[23]。为选择最优的加权指数,保持最大迭代次数100,阈值ε=0.000 01,加权指数k从1.1到10以0.1的步长增加,计算随加权指数变化每个煤岩特征光谱分组在FCM、RFCM、CFCM 3种算法下的聚类识别率,结果如图10所示。
由图10可知,加权指数在1.1到10变化时,RFCM和CFCM方法在每个加权指数处的识别率值均大于90%,而FCM方法在每个加权指数处的识别率值均小于60%。在选取最优加权指数时,以最大识别率为依据,当最大识别率的加权指数包括2.0时优先选择2.0,不包括2.0时优先选择最小加权指数。此外,还计算了最优加权指数时每组所有光谱样本用3种方法识别的总耗时。选用最优加权指数时,每组煤岩聚类识别效果评估见表2。

(a) 气煤-泥岩

(b) 气煤-粉砂岩

(c) 气煤-泥质灰岩
图10 加权指数对煤岩特征波段反射光谱聚类识别率的影响
Fig.10 Effects of weighted indexes on clustering recognition rates of reflectance spectra in characteristic band of coal and rock samples
由表2可知,选用最优加权指数时,FCM方法对每组煤岩特征光谱的整体识别率仍旧较低,即基于欧氏距离聚类的FCM方法不适用于基于反射光谱的煤岩无监督分类。选用最优加权指数时,RFCM和CFCM方法对每组煤岩特征光谱的整体识别率较高,均大于90%,2种方法对气煤-泥岩组合整体识别率低于其他2个组合。在识别耗时方面,CFCM方法迭代次数最少,对每组60个特征光谱样本识别总耗时均小于0.1 s,而RFCM方法迭代次数相对最多,对每组光谱样本识别总耗时均大于0.1 s。根据以上分析,选择煤岩2 150~2 400 nm波段不同背向反射角反射光谱进行模糊C均值聚类识别煤岩时,优先选择CFCM方法,此时,识别气煤-泥岩、气煤-粉砂岩、气煤-泥质灰岩3种煤岩特征光谱组合的加权指数分别优先选择2.0,2.0,1.1。
表2 最优加权指数时煤岩聚类识别效果评估
Table 2 Evaluations of clustering recognition results of coal and rock samples under optimal weighted indexes

(1) 兴隆庄煤矿气煤、泥岩、粉砂岩、泥质灰岩4种块状煤岩表面近红外波段(1 000~2 500 nm) 0~-75°背向反射光谱反射率曲线最具差异性波段为2 150~2 400 nm。
(2) 对于兴隆庄煤矿气煤、泥岩、粉砂岩、泥质灰岩4种块状煤岩,选择其2 150~2 400 nm波段不同背向反射角反射光谱进行模糊C均值聚类识别煤岩时,FCM对气煤-泥岩、气煤-粉砂岩、气煤-泥质灰岩3种煤岩光谱组合均不能有效识别,RFCM和CFCM对此3种煤岩光谱组合均能有效识别,且对每组整体识别率均大于90%,其中CFCM方法迭代次数最少,每组总耗时均小于0.1 s,为优先选择方法。
(3) 选取煤岩的最具差异性反射光谱特征波段并研究其无监督识别方法,为反射光谱技术应用于煤岩界面不同位置煤岩的高效适应性判定提供了参考。
参考文献(References):
[1] 燕守勋,张兵,赵永超,等.矿物与岩石的可见-近红外光谱特性综述[J].遥感技术与应用,2003,18(4):191-201.
YAN Shouxun,ZHANG Bing,ZHAO Yongchao,et al.Summarizing the VIS-NIR spectra of minerals and rocks[J].Remote Sensing Technology and Application,2003,18(4):191-201.
[2] MILTON E J,SCHAEPMAN M E,ANDERSON K,et al.Progress in field spectroscopy[J].Remote Sensing of Environment,2009,113(S1):92-109.
[3] BALDRIDGE A M,HOOK S J,GROVE C I,et al.The ASTER spectral library version 2.0[J].Remote Sensing of Environment,2009,113(4):711-715.
[4] CLOUTIS E A.Quantitative characterization of coal properties using bidirectional diffuse reflectance spectroscopy[J].Fuel,2003,82(18):2239-2254.
[5] SONG Zeyang,KUENZER C.Spectral reflectance (400-2 500 nm) properties of coals,adjacent sediments,metamorphic and pyrometamorphic rocks in coal-fire areas:a case study of Wuda coalfield and its surrounding areas,northern China[J].International Journal of Coal Geology,2017,171:142-152.
[6] CLOUTIS E A.Spectral reflectance properties of hydrocarbons:remote-sensing implications[J].Science,1989,245:165-168.
[7] MAO Yachun,MA Baodong,LIU Shanjun,et al.Study and validation of a remote sensing model for coal extraction based on reflectance spectrum features[J].Canadian Journal of Remote Sensing,2014,40(5):327-335.
[8] XIAO Dong,LE Batuan,MAO Yachun,et al.Research on coal exploration technology based on satellite remote sensing[J].Journal of Sensors,2016(1):1-9.
[9] LE Batuan,XIAO Dong,OKELLO D,et al.Coal exploration technology based on visible-infrared spectra and remote sensing data[J].Spectroscopy Letters,2017,50(8):440-450.
[10] 宋亮,刘善军,虞茉莉,等.基于可见-近红外和热红外光谱联合分析的煤和矸石分类方法研究[J].光谱学与光谱分析,2017,37(2):416-422.
SONG Liang,LIU Shanjun,YU Moli,et al.A classification method based on the combination of visible,near-infrared and thermal infrared spectrum for coal and gangue distinguishment[J].Spectroscopy and Spectral Analysis,2017,37(2):416-422.
[11] BESSINGER S L,NELSON M G.Remnant roof coal thickness measurement with passive gamma ray instruments in coal mines[J].IEEE Transactions on Industry Applications,1993,29(3):562-565.
[12] RALSTON J C,STRANGE A D.Developing selective mining capability for longwall shearers using thermal infrared-based seam tracking[J].International Journal of Mining Science and Technology,2013,23(1):47-53.
[13] 李亮,王昕,胡克想,等.探地雷达探测煤岩界面的方法与试验[J].工矿自动化,2015,41(9):8-11.
LI Liang,WANG Xin,HU Kexiang,et al.Coal-rock interface detection method using ground penetrating radar and its experiment[J].Industry and Mine Automation,2015,41(9):8-11.
[14] 王昕,赵端,丁恩杰.基于太赫兹光谱技术的煤岩识别方法[J].煤矿开采,2018,23(1):13-17.
WANG Xin,ZHAO Duan,DING Enjie.Coal-rock identification method based on terahertz spectroscopy technology[J].Coal Mining Technology,2018,23(1):13-17.
[15] 杨恩,王世博,葛世荣.典型煤系岩石的可见-近红外光谱特征研究[J].工矿自动化,2019,45(3):45-51.
YANG En,WANG Shibo,GE Shirong.Research on visible-near infrared spectrum features of typical coal measures rocks[J].Industry and Mine Automation,2019,45(3):45-51.
[16] YANG En,GE Shirong,WANG Shibo.Characterization and identification of coal and carbonaceous shale using visible and near-Infrared reflectance spectroscopy[J].Journal of Spectroscopy,2018,2018:1-13.
[17] 杨恩,王世博,葛世荣,等.基于反射光谱的煤岩感知实验研究[J].煤炭学报,2019,44(12):3912-3920.
YANG En,WANG Shibo,GE Shirong,et al.Experimental study on coal-rock perception based on reflectance spectroscopy[J].Journal of China Coal Society,2019,44(12):3912-3920.
[18] 赵子傑,赵云升.不同粒径沙地表面双向反射特性研究[J].物理学报,2014,63(18):435-441.
ZHAO Zijie,ZHAO Yunsheng.Bidirectional reflectance of sandy land surface with different particle sizes[J].Acta Physica Sinica,2014,63(18):435-441.
[19] 路鹏,陈圣波,崔腾飞,等.月球表面矿物二向性反射特性实验研究[J].岩石学报,2016,32(1):107-112.
LU Peng,CHEN Shengbo,CUI Tengfei,et al.Experimental study on bidirectional reflectance characteristics of minerals on lunar surface[J].Acta Petrologica Sinica,2016,32(1):107-112.
[20] CLOUTIS E A,PIETRASZ V B,KIDDELL C,et al.Spectral reflectance "deconstruction" of the Murchison CM2 carbonaceous chondrite and implications for spectroscopic investigations of dark asteroids[J].Icarus,2018,305:203-224.
[21] 李玉,甄畅,石雪,等.基于熵加权K-means全局信息聚类的高光谱图像分类[J].中国图象图形学报,2019,24(4):630-638.
LI Yu,ZHEN Chang,SHI Xue,et al.Hyperspectral image classification algorithm based on entropy weighted K-means with global information[J].Journal of Image and Graphics,2019,24(4):630-638.
[22] BEZDEK J C.Pattern recognition with fuzzy objective function algorithms[M].New York:Plenum Press,1981:1-253.
[23] WU Fang,WEI Liangshu,HUANG Junjie,et al.Optimized fuzzy C-means clustering algorithm for the interpretation of the near-infrared spectra of rocks[J].Spectroscopy Letters,2017,50(5):270-274.
中图分类号:TD67
文献标志码:A
文章编号:1671-251X(2020)01-0050-09
DOI:10.13272/j.issn.1671-251x.2019050078
收稿日期:2019-05-27;修回日期:2019-12-25;责任编辑:张强。
基金项目:国家自然科学基金联合基金项目(U1610251);国家重点研发计划项目(2018YFC0604503);江苏省高校优势学科建设工程项目(PAPD)。
作者简介:杨恩(1986-),男,山东巨野人,博士研究生,主要研究方向为煤岩识别,E-mail:yangen635@126.com。
引用格式:杨恩,王世博,王赛亚,等.典型煤岩反射光谱无监督感知方法研究[J].工矿自动化,2020,46(1):50-58.
YANG En,WANG Shibo,WANG Saiya,et al.Research on unsupervised sensing methods of typical coal and rock based on reflectance spectroscopy[J].Industry and Mine Automation,2020,46(1):50-58.
YANG En, WANG Shibo, WANG Saiya, ZHOU Yue
(School of Mechanical and Electrical Engineering, China University of Mining & Technology, Xuzhou 221116, China)
Abstract:In view of problem of poor recognition effect of existing supervised recognition methods of coal and rock based on reflectance spectroscopy when positions of coal and rock change, in order to study self-adaptive recognition of typical coal and rock based on reflectance spectroscopy, an unsupervised sensing methods of typical coal and rock based on reflectance spectroscopy and fuzzy C-means clustering (FCM) algorithms with improved clustering distances was proposed. Four typical types of coal and rock samples of Xinglongzhuang Coal Mine including gas coal, mudstone, siltstone and argillaceous limestone were studied and spectral reflectance curves of each sample were measured in near infrared band at multiple back reflection angles. The characteristic band with the most different spectral curves of the four types was analyzed and 2 150-2 400 nm were selected as the characteristic bands with the differences of the four types. In the characteristic band, the unsupervised recognition of reflectance spectra of coal and rock was studied for each coal-rock spectra combination of gas coal-mudstone, gas coal-siltstone and gas coal-argillaceous limestone. The results showed that with increasing of back reflection angle, back spectral reflectance of surfaces of all the four types increased first and then decreased. Meanwhile, the depth of absorption valleys of mudstone, siltstone and argillaceous limestone slightly decreased, and the decrease of the depth of absorption valleys of gas coal was relatively obvious. The improved FCM (RFCM, CFCM) methods were used to cluster spectral data quickly, and classifications of the spectral data were determined by membership probability matrix of the final clustering to recognize classifications of coal and rock at different positions. Comparing with FCM, the recognition rates of each coal-rock combination were both more than 90% using the two improved FCM methods. Among them, CFCM took the least number of iteration to cluster and recognize each coal-rock combination, and its total time consumptions were all less than 0.1 s. CFCM is the preferred method and provides a reference for the application of reflectance spectroscopy technology to the highly efficient and adaptive recognition of coal and rock at different positions of coal-rock interface.
Key words:coal-rock recognition; reflectance spectrum; supervised recognition; unsupervised sensing; spectral characteristic band; fuzzy C-means clustering; clustering distance