吴震,陈靖,党娇
(重庆工商职业学院 智能制造与汽车学院,重庆 400052)
摘要:针对应用于矿用电动车混合储能系统的传统Z源逆变器或单开关电感Z源逆变器存在电压增益、功率密度和转换效率均不高的问题,提出了一种新型Z源逆变器。该逆变器采用基于阵列式磁集成技术的模块化开关耦合电感单元替代传统Z源逆变器的电感,提高功率密度和电压增益,并通过引入辅助软开关支路实现功率器件零电压开关,提高转换效率。对基于新型Z源逆变器的混合储能系统进行了建模,通过分析极点,发现引起系统振荡的1对共轭极点及系统振荡处频率,结合模型进行了电流控制器参数设计,推导出电流控制器比例和积分参数的设计准则。仿真与实验结果验证了该电流控制器设计准则的正确性。
关键词:矿用电动车;混合储能系统;Z源逆变器;电流控制;开关耦合电感;阵列式磁集成;软开关
矿用电动车长期工作于负载变化较大的工况条件,其动力电池储能系统反复随机出力的情况普遍,因此需要研究具备高动态响应能力和长寿命的电池储能系统及变换器装置。很多学者提出利用储能元件(如超级电容、电池等)实行辅助功率补偿,组成混合储能系统,以降低输入电源容量,提高电动车储能系统动态性能[1-3]。目前,应用于矿用电动车混合储能系统的变换器多采用双向DC-DC变换器加逆变器的两级式架构,具有结构简单、易于控制的优点,但存在转换效率低和可靠性不高等缺点。因此,国内外很多学者研究将传统Z源逆变器或单开关电感Z源逆变器应用于混合储能系统,具有单级升降压、无死区时间、电压畸变小、可靠性高等特点,可同时实现单级功率变换与能量管理[4-7],但普遍存在电压增益、功率密度和转换效率均不高的问题,且大多采用电压控制,很大程度上制约着矿用电动车混合储能系统暂态响应速度的提高[8-10]。
本文提出了一种应用于矿用电动车混合储能系统的新型Z源逆变器,其采用模块化开关耦合电感单元和辅助软开关支路,具备高增益、高功率密度和高效率优势;建立了混合储能系统模型,给出了电流控制器参数设计准则,并通过仿真与实验验证了设计准则的正确性。
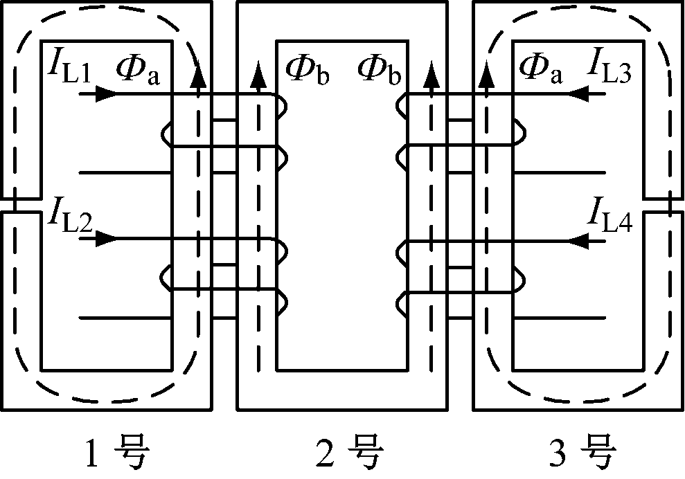
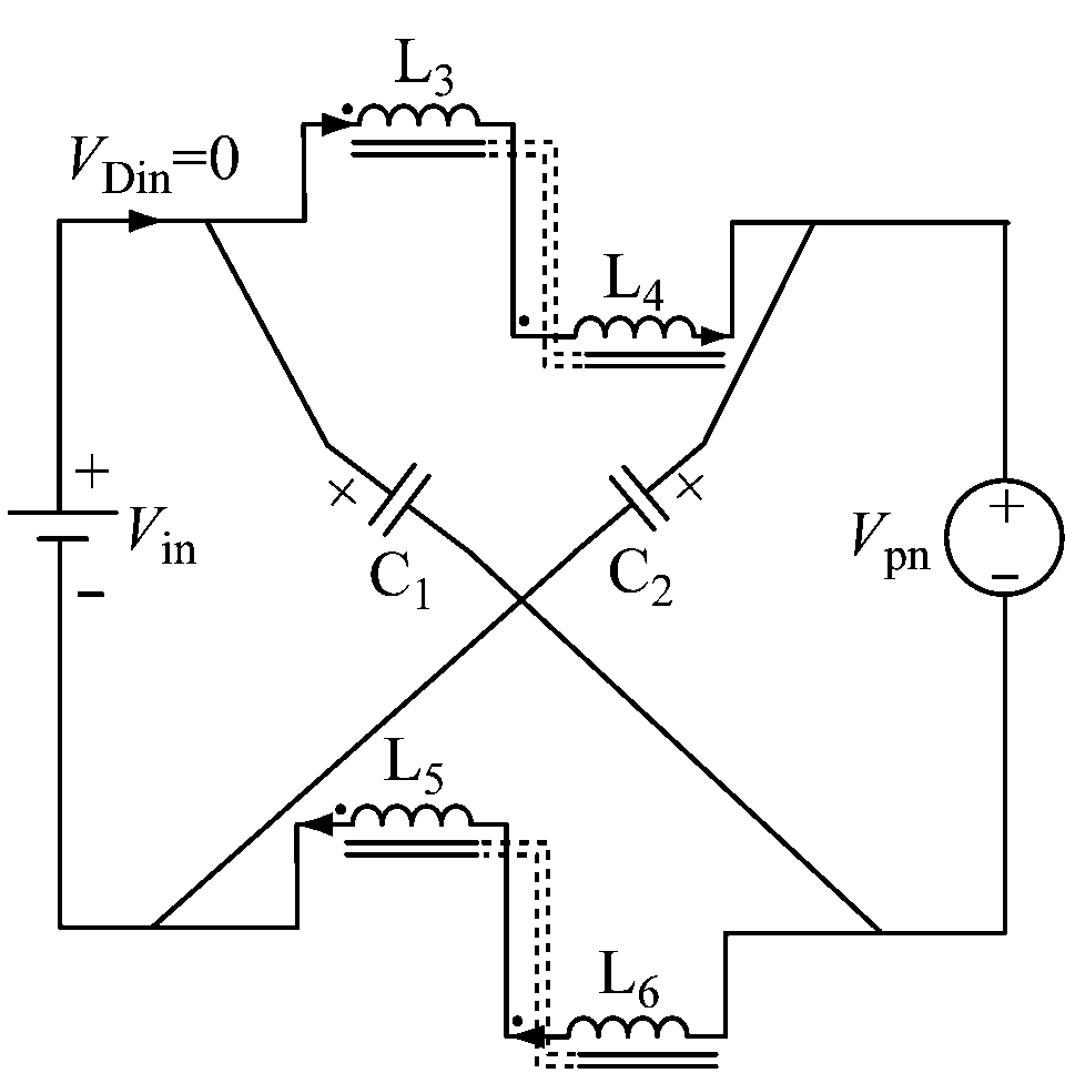
利用传统Z源逆变器具备多自由度组合和功率流重构的特征,将其与传统的逆变器合并演绎,得到应用于矿用电动车混合储能系统的新型Z源逆变器。其由直流侧单元和交流侧单元两部分组成,如图1所示,其中Vin为输入电压,Vpn为直流母线电压,La,Lb,Lc为逆变器输出滤波电感,Ca,Cb,Cc为逆变器输出滤波电容,Ra,Rb,Rc为电阻性负载。开关耦合电感单元由3个相同的二极管D1,D2,D3(D4,D5,D6)和2个相同的电感L1,L2(L3,L4)组成,采用2个对称的开关耦合电感单元替代传统Z源逆变器的电感,可实现高升压变比。采用阵列式磁集成技术将2个开关耦合电感单元的4个分立电感绕组绕制于相同磁柱,如图2所示,图中IL1—IL4分别为电感L1—L4的电流,Φa和Φb分别为正向磁通和反向磁通。可通过合理选择磁芯规格或调节1号和3号磁芯的气隙来调节电感耦合度,此外,通过在1号和3号磁芯中合理设置气隙,可在选择低成本、高饱和磁密磁芯的情况下,仍能有效避免磁芯饱和[11],提高功率密度。辅助软开关支路由开关管S1、谐振电感Lr和钳位电容Cd组成,钳位电容Cd与谐振电感Lr交互工作,可实现开关管S1提前关断,减小开通损耗[12]。逆变器桥臂主开关管S2—S7均采用MOSFET,且两端分别并联谐振电容Cr2—Cr7,实现所有功率器件零电压开关[13],提高转换效率[14]。
在1个开关周期内,新型Z源逆变器有直通和非直通2种工作模式。
(1)直通模式。开关管S1导通,二极管D8正向导通,此时二极管D1和D3正向导通,二极管D2反偏截止,电容C1同时给电感L1和L2充电,同时二极管D4和D6正向导通,二极管D5反偏截止,电容C2同时给电感L3和L4充电,等效电路如图3(a)所示,其中VDin为输入侧二极管Din电压。
(2)非直通模式。开关管S1关断,二极管D7和D9正向导通,此时二极管D1和D3反偏截止,二极管D2正向导通,电感L1和L2串联给电容C1充电,同时二极管D4和D6反偏截止,二极管D5正向导通,电感L3和L4串联给电容C2充电,等效电路如图3(b)所示。

图1 矿用电动车混合储能系统新型Z源逆变器拓扑
Fig.1 A novel Z-source inverter topology for hybrid energy storage system of mine-used electric vehicle

图2 基于阵列式磁集成技术的开关耦合电感结构
Fig.2 Structure of switch coupled inductance based on array magnetic integration technology

(a)直通模式

(b)非直通模式
图3 新型Z源逆变器稳态工作等效电路
Fig.3 Steady-state equivalent circuit of novel Z-source inverter
令VC1=VC2=VC,根据基尔霍夫电压定律,可得新型Z源逆变器直通模式阶段电压方程:
VL1=VL2=VC1
(1)
VL3=VL4=VC2
(2)
VDin=-(VC1+VC2)
(3)
VD2=VD5=-VC
(4)
式中:VC1,VC2分别为电容C1,C2两端电压;VL1—VL4分别为电感L1—L4两端电压;VD2,VD5分别为二极管D2,D5两端电压。
根据基尔霍夫电压定律,可得开关管S1关断过程中电感L1的电压方程:
VL1-off=-VL2-off-VC2+Vin
(5)
式中:VL1-off,VL2-off分别为开关管S1关断过程中电感L1,L2两端电压。
同理,可得开关管S1关断过程中电感L2的电压方程:
VL2-off=-(VL1-off+VC2-Vin)
(6)
由于电感L1和L2工作状态完全相同,则
(7)
式中D为开关管S1占空比。
根据1个开关周期内电感电流的伏秒平衡定律,可得
(8)
式中T为开关周期。
联立式(5)—式(8),并结合图3(a)可得
(9)
在开关管S1关断期间,C1,L1,L2形成一个闭合回路,可得
VC=Vpn+VL1-off+VL2-off
(10)
联立式(7)、式(9)和式(10),可得
(11)
式中B为升压因子,B=(1+D)/(1-3D)[2]。
同理,开关管S1关断期间,二极管Din,D2,D5两端电压方程为
VDin=0
(12)
VD2=VD5=VL1-off
(13)
结合文献[4-5],可得基于调制系数N的电压增益:
(14)
定义开关管电压应力为VS/(HVin),其中VS为交流侧单元主开关管电压。结合文献[6-7],绘制传统Z源逆变器、单开关电感Z源逆变器和新型Z源逆变器的升压因子、电压增益和开关管电压应力对比曲线,分别如图4—图6所示。可看出与传统Z源逆变器和单开关电感Z源逆变器相比,新型Z源逆变器升压因子明显更高;具备较低调制系数下实现较高电压增益的能力,可有效改善调制的鲁棒性,减小母线电容应力,提高输出动态响应;开关管电压应力最低。

图4 升压因子对比曲线
Fig.4 Comparison curves of boost factor
基于新型Z源逆变器的混合储能系统如图7所示,直接实现DC-DC级(直流侧)与DC-AC级(交流侧)功率变换。为补偿输入侧的功率波动,在电容C2两端并联超级电容,超级电容和电容C1,C2组成辅助储能元件,Vb,Rb,Ib分别为辅助储能元件的端电压、内阻和电流[15]。对应用于混合储能系统的新型Z源逆变器电流控制的分析主要基于直流侧单元,交流侧单元可通过虚拟母线电流Idc对直流侧单元产生影响。

图5 电压增益对比曲线
Fig.5 Comparison curves of voltage gain

图6 开关管电压应力对比曲线
Fig.6 Comparison curves of switch voltage stress

图7 基于新型Z源逆变器的混合储能系统
Fig.7 Hybrid energy storage system based on novel Z-source inverter
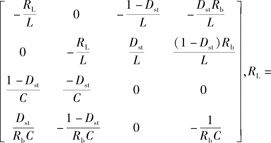
由于直流侧单元上下对称的开关耦合电感单元完全相同,以开关耦合电感单元1和交流侧单元逆变器上桥臂为例进行建模。选择状态变量X=[IL1 IL2 VC1 Ib]T,输入变量U=[Vin Idc Vb]T。根据电路结构可得直流侧状态方程:
sX=AX+BU
(15)
式中:s为拉普拉斯变换复变量;A=
RL1=RL2(RL1和RL2分别为电感L1和L2的寄生电阻),L=L1=L2,Dst为交流侧单元上桥臂开关管占空比,
在式(14)中加入小信号扰动,可得小信号模型:
sX=AX+BU+b1dst
(16)
式中:b1为小信号模型在频域的扰动系数矩阵;dst为占空比的扰动量。
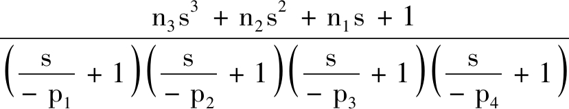
由dst到Ib的传递函数为

(17)
式中:I为单位矩阵;K0为传递函数Gib1的稳态增益绝对值;n1—n3为传递函数的零点;p1—p4为传递函数的极点。
在复平面中分析传递函数Gib1的4个极点位置,如图8所示。传递函数包含1对共轭极点(p1和p2)及2个位于实轴上的极点(p3和p4),p2—p4决定系统的主要动态特征。联立式(15)—式(17),得到极点表达式:
(18)
(19)

(20)
式中ξ和ωn分别为共轭极点(p1和p2)的阻尼比和自然谐振频率。

图8 极点位置
Fig.8 Poles location
根据式(17),得到传递函数Gib1的伯德图,如图9所示,可看出共轭极点p1和p2在频率为fr时会引起较大的尖峰,可能导致系统振荡,威胁辅助储能元件安全。
新型Z源逆变器电流控制原理如图10所示。电流控制器采用经典的PI控制算法,GPI为电流控制器的传递函数,Ibref为电流控制器的电流环给定值,If为电流控制器的电流环反馈值。
电流控制器的传递函数GPI和系统开环传递函数Gopenloop分别为


图9 传递函数Gib1伯德图
Fig.9 Bode diagram of transfer functionGib1

图10 电流控制原理
Fig.10 Current control principle
(21)
Gopenloop=-GPIGib1
(22)
式中kp,ki分别为控制器的比例、积分系数。
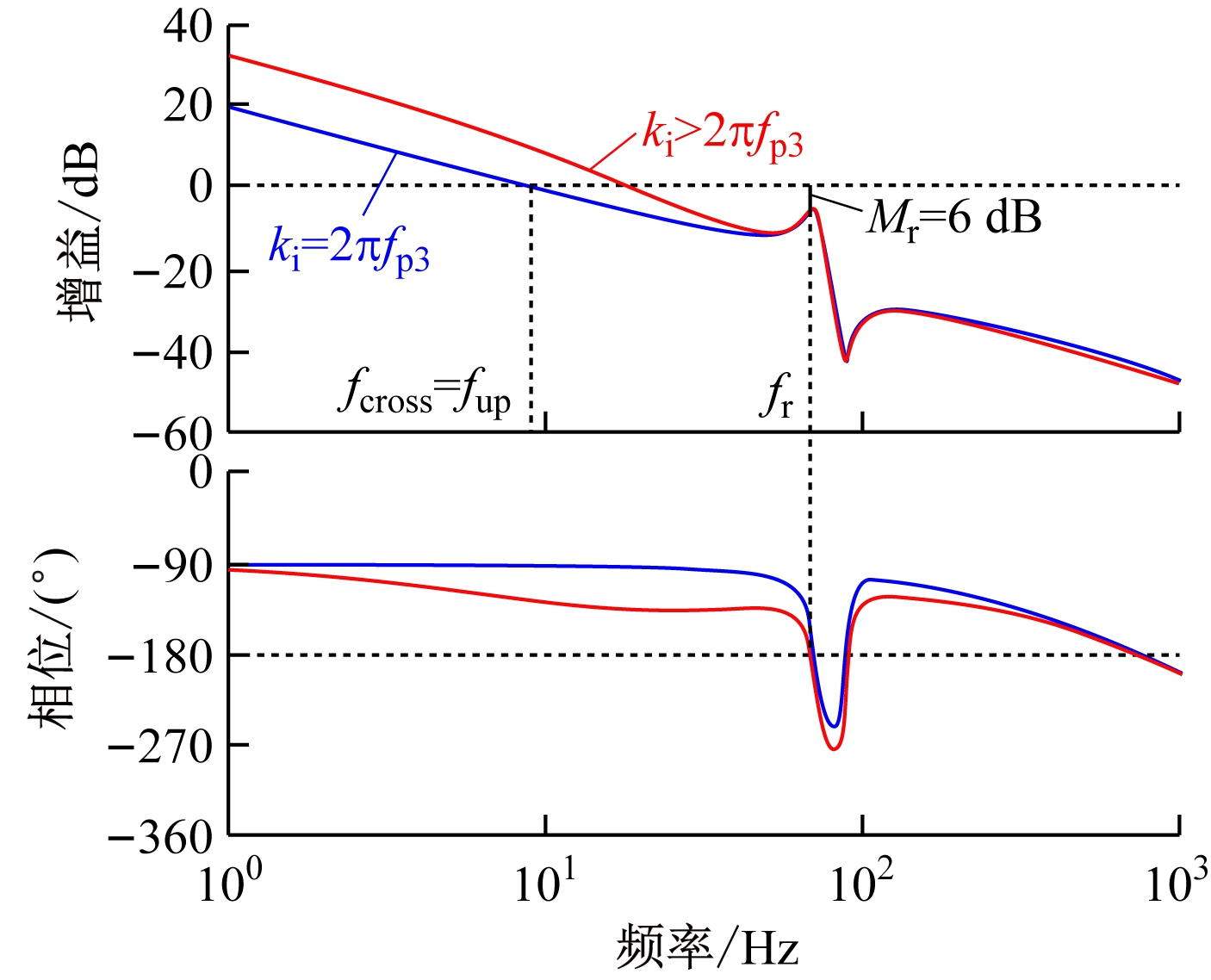
系统开环传递函数Gopenloop的伯德图如图11所示。根据控制理论可知,系统最小转折频率由最靠近原点的极点p3决定。由图11可知,当控制器积分系数ki=2πfp3(fp3为极点p3对应的频率)时,对应的系统开环传递函数Gopenloop以-20 dB/dec的斜率穿越0 dB线,满足系统稳定的条件,可避免超调发生[12]。因此,电流控制器积分环节设计准则:电流控制器积分系数ki的取值应使积分环节的最小转折频率大于fp3。

图11 传递函数Gopenloop伯德图
Fig.11 Bode diagram of transfer functionGopenloop
此外,设计电流控制器参数还需综合考虑比例环节和增益裕度。当最小穿越频率为fr时,对应的增益裕度Mr=-20log20kpGr(Gr为比例环节的开环传递函数),根据经典控制理论,并结合电动车混合储能系统的实际工况,Mr的取值应大于6 dB,以抑制在频率fr附近的振荡。
系统开环传递函数Gopenloop的穿越频率为
(23)
调整时间为
(24)
当Mr=6 dB时,穿越频率fcross的上限为
(25)
因此,电流控制器比例环节设计准则:比例系数kp的取值应使比例环节的穿越频率满足式(23)和式(25)。
为验证新型Z源逆变器电流控制器设计的有效性,在Matlab环境下建立仿真模型。仿真设置2组电流控制器参数:kp=0.001 2,ki=110,满足电流控制器设计准则;kp=0.000 7,ki=565,不满足电流控制器设计准则。不同电流控制器参数下直流侧单元输出电流阶跃响应仿真波形如图12所示,可看出参数不满足设计准则时,电流波形出现明显超调,而参数满足设计准则时,电流波形未出现超调。

图12 不同控制器参数下直流侧单元输出电流阶跃响应仿真波形
Fig.12 Simulation waveforms of DC side unit output current step response under different controller parameters
搭建应用于混合储能系统的新型Z源逆变器实验平台,如图13所示。实验设置2组电流控制器参数:kp=0.000 7,ki=565,不满足电流控制器设计准则;kp=0.001 2,ki=110,满足电流控制器设计准则。不同电流控制器参数下直流侧单元输出电流阶跃响应实验波形如图14所示,可看出参数不满足设计准则时,电流波形出现明显超调,而参数满足设计准则时,电流波形未出现超调。
(1)新型Z源逆变器采用模块化开关耦合电感单元设计,提高了功率密度和电压增益;采用辅助软开关支路,实现了所有功率器件零电压开关,具备高效率优势。

图13 实验平台
Fig.13 Experimental platform diagram

(a)控制器参数不满足设计准则

(b)控制器参数满足设计准则
图14 不同控制器参数下直流侧单元输出电流阶跃响应实验波形
Fig.14 Experimental waveforms of DC side unit output current step response under different controller parameters
(2)对基于新型Z源逆变器的混合储能系统进行了建模,通过分析极点发现了引起系统振荡的1对共轭极点及系统振荡处频率,结合模型进行了电流控制器参数设计,给出了电流控制器比例环节和积分环节的参数设计准则。
参考文献:(References)
[1] EMADI A,WILLIAMSON S S,KHALIGH A.Power electronics intensive solutions for advanced electric,hybrid electric,and fuel cell vehicular power systems[J].IEEE Transactions on Power Electronics,2006,21(3):567-577.
[2] CAO J,EMADI A.A new battery/ultracapacitor hybrid energy storage system for electric,hybrid,and plug-in hybrid electric vehicles[J].IEEE Transactions on Power Electronics,2012,27(1):122-132.
[3] 屈艾文,陈道炼,苏倩.新颖的单级三相电压型准Z源光伏并网逆变器[J].中国电机工程学报,2017,37(7):2091-2101.
QU Aiwen,CHEN Daolian,SU Qian.Novel single-stage three-phase voltage-fed quasi-Z-source photovoltaic grid-connected inverter[J].Proceedings of the CSEE,2017,37(7):2091-2101.
[4] PENG Fangzheng,SHEN Miaosen,HOLLAND K.Application of Z-source inverter for traction drive of fuel cell-battery hybrid electric vehicles[J].IEEE Transactions on Power Electronics,2007,22(3):1054-1061.
[5] LIU Yushan,HAITHAM A R,GE Baoming,et al.Impendance source power electronic converters[M].Chichester:John Wiley &Sons Ltd.,2016.
[6] 张智杰,杨威,杨世彦.模块化输入串联输出独立辅助电源系统及其输入均压控制策略[J].电工技术学报,2017,32(增刊2):156-163.
ZHANG Zhijie,YANG Wei,YANG Shiyan.Input-series output-independent auxiliary power supply system and its input voltage sharing control strategy[J].Transactions of China Electrotechnical Society,2017,32(S2):156-163.
[7] 史丽萍,柳狄,李明浩,等.基于并联智能电池组件的分布式直流电源系统[J].电源技术,2017,41(4):612-615.
SHI Liping,LIU Di,LI Minghao,et al.Distributed DC power system based on parallel intelligent battery components[J].Chinese Journal of Power Sources,2017,41(4):612-615.
[8] GE Baoming,HAITHAM A R,PENG Fangzheng,et al.An energy-stored quasi-Z-source inverter for application to photovoltaic power system[J].IEEE Transactions on Industrial Electronics,2013,60(10):4468-4481.
[9] 胡斯登,梁梓鹏,范栋琦,等.基于Z源变换器的电动汽车超级电容-电池混合储能系统[J].电工技术学报,2017,32(8):247-255.
HU Sideng,LIANG Zipeng,FAN Dongqi,et al.Implementation of Z-source converter for ultracapacitor-battery hybrid energy storage system for electric vehicle[J].Transactions of China Electrotechnical Society,2017,32(8):247-255.
[10] 李起伟.防爆电动车锂电池管理系统设计[J].工矿自动化,2017,43(4):5-9.
LI Qiwei.Design of lithium battery management system for explosion-proof electric vehicle[J].Industry and Mine Automation,2017,43(4):5-9.
[11] 米阳,吴彦伟,纪宏澎,等.基于多组储能动态调节的独立直流微电网协调控制[J].电力自动化设备,2017,37(5):170-176.
MI Yang,WU Yanwei,JI Hongpeng,et al.Coordinative control based on dynamic load allocation among multiple energy storages for islanded DC microgrid[J].Electric Power Automation Equipment,2017,37(5):170-176.
[12] ZHU Min,HU Wensong,KAR N C.Torque-ripple-based interior permanent-magnet synchronous machine rotor demagnetization fault detection and current regulation[J].IEEE Transactions on Industry Applications,2017,53(3):2795-2804.
[13] 陈丽丽,牟龙华,许旭锋,等.储能装置运行策略及运行特性对微电网可靠性的影响[J].电力自动化设备,2017,37(7):70-76.
CHEN Lili,MU Longhua,XU Xufeng,et al.Influences of energy storage operational strategy and characteristic on microgrid reliability[J].Electric Power Automation Equipment,2017,37(7):70-76.
[14] QIN Yaxiao,LI Sinan,HUI S Y R.Topology-transition control for wide-input-voltage-range efficiency improvement and fast current regulation in automotive LED applications[J].IEEE Transactions on Industrial Electronics,2017,64(7):5883-5893.
[15] 李武华,徐驰,禹红斌,等.直流微网系统中混合储能分频协调控制策略[J].电工技术学报,2016,31(14):84-92.
LI Wuhua,XU Chi,YU Hongbin,et al.Frequency dividing coordinated control strategy for hybrid energy storage system of DC micro-grid[J].Transactions of China Electrotechnical Society,2016,31(14):84-92.
WU Zhen,CHEN Jing,DANG Jiao
(Institute of Intelligent Manufacturing and Automotive,Chongqing Technology and Business Institute,Chongqing 400052,China)
Abstract:Aiming at problems of low voltage gain,low power density and low conversion efficiency of traditional Z-source inverter or single-switch inductor Z-source inverter used in hybrid energy storage system of mine-used electric vehicle,a novel Z-source inverter was proposed.Modular switch coupled inductance units based on array magnetic integration technology is used to replace inductance of traditional Z-source inverter,so as to improve power density and voltage gain.By introducing auxiliary soft switch branch to realize zero-voltage switch of power devices,conversion efficiency is improved.Hybrid energy storage system based on the novel Z-source inverter was modeled.Through pole analysis,one pair of conjugated poles causing the system to oscillate and frequency of system oscillation were found,current controller parameters are designed with the model,and design criteria of proportional and integral parameters of current controller were derived.The simulation and experimental results verify correctness of the design criteria of the current controller.
Key words:mine-used electric vehicle;hybrid energy storage system;Z-source inverter;current control;switch coupled inductance;array magnetic integration;soft switch
文章编号:1671-251X(2019)09-0092-07
DOI:10.13272/j.issn.1671-251x.2019040091
收稿日期:2019-04-25;修回日期:2019-08-26;责任编辑:盛男。
基金项目:重庆市教委科学技术研究项目(KJ1737460);重庆工商职业学院科学研究项目(NDYB2018-09)。
作者简介:吴震(1992-),男,安徽亳州人,助教,硕士,主要从事电气自动化方向的科研和教学工作,E-mail:870082058@qq.com。
引用格式:吴震,陈靖,党娇.矿用电动车混合储能系统Z源逆变器电流控制[J].工矿自动化,2019,45(9):92-98.
WU Zhen,CHEN Jing,DANG Jiao.Current control of Z-source inverter for hybrid energy storage system of mine-used electric vehicle[J].Industry and Mine Automation,2019,45(9):92-98.
中图分类号:TD611
文献标志码: