王欣欣,于师建
(山东科技大学 矿业与安全工程学院,山东 青岛 266590)
摘要:采集某煤矿1300工作面冲击地压发生前后的微震信号,进行时序特征分析,并采用db5作为小波基函数对微震信号进行5层分解,得到各层子频带的频谱特征和能量百分比。分析结果表明:冲击地压发生前,微震次数和能量呈现先增加后减少再增加的趋势;冲击地压发生前1 h出现了前兆信号,能量主要分布在62.5~250 Hz的中高频段,能量百分比达到55%;冲击地压发生时,波形起伏明显,振幅明显增大,低频信号占主要成分,能量主要集中在0~62.5 Hz的低频段,且占总能量的70%左右。得出冲击地压前兆:振幅增加,微震主频明显降低,频带由高频向低频发展,且前震发生的时间越靠近主震,低频信号越多,低频信号所占的能量百分比也越大。因此,可将微震主频急剧降低、振幅明显升高、低频信号能量百分比增加作为冲击地压前兆的主要特征,结合每日微震次数和能量变化趋势进行冲击地压预测。
关键词:冲击地压;微震;前兆信号;小波分析;频谱特征;能量百分比
目前,随着浅部煤炭资源的枯竭,煤炭资源开采逐渐向深部转移,伴随而来的冲击地压问题也愈发严重。由于冲击地压发生的频率小、能量高、破坏范围大,对矿山开采造成了极大危害,如何有效预测冲击地压显得尤为重要。常用的冲击地压监测方法有地音监测、电磁辐射监测、微震监测等,其中微震监测方法应用最为广泛[1-3]。相关研究表明,当煤岩体发生连续多次断裂时会引起突出或冲击地压等动力灾害,而微震信号是煤岩体破裂的前兆信息。因此,通过监测并分析微震信号,可以在一定程度上预测冲击地压的发生。微震监测技术是利用微震监测仪器探测岩体发生破裂时的地震波强度,通过分析微震波形、能量等实现对矿山岩体活动的实时有效监测,从而对煤岩动力灾害起到预警预报作用。
目前,常用的微震信号时频分析技术有傅里叶变换、小波分析、希尔伯特变换等[4-5]。陆菜平等[6-7]采用快速傅里叶变换对顶板和煤层卸压爆破微震信号进行分析,发现2种信号在幅频特性、功率谱密度和能量耗散方面完全不同,据此可识别不同的微震信号。然而,由于微震信号是一种非平稳时变信号,而傅里叶变换只能在频域分析信号特点,不能获得频率所对应的时间,所以存在一定局限性。小波分析克服了傅里叶变换的缺点,能够同时从时域和频域揭示时间序列的局部特性,非常适合于微震信号分析[8-11]。鉴此,本文以山东省郓城煤矿为背景,采集矿井微震监测数据,探讨微震信号的时序特点,并利用Matlab软件进行小波分析,计算各层小波所占的能量百分比,研究冲击地压发生前后微震信号的变化,提取前兆信号特征,从而预测冲击地压灾害。
1300工作面是郓城煤矿首采工作面,埋深为859~887 m,走向长度为1 255 m,倾向长度为100 m,煤层倾角为3~6°。1300工作面位于一采区西部,西部为八里庄断层和八里庄支四断层,东部为1300工作面泄水巷,北部为一采轨道巷,南部为八里庄支四断层。根据物理力学性能试验及冲击倾向性报告,3号煤层具有弱冲击倾向性,所以该煤矿有发生冲击危害的可能性[12]。
矿井采用ARAMIS M/E微震监测系统,通过井下安设的多台拾震器对全矿范围的微震事件进行实时监测,自动记录微震活动,并进行震源定位和微震能量计算,为评价全矿范围内的冲击地压危险提供依据。根据现场实际情况,结合相应的定位算法,将拾震器间距布置为500~800 m,以确保监测精度。每个工作面巷道安装10个测站,并随着工作面推进及时拆卸前移,使测站尽可能接近待测区域,保证监测距离不小于200 m。
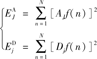
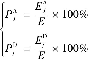
小波变换能够将信号分解成不同频率范围的分量,信号在不同频率尺度上的分布情况可以通过不同分解尺度上信号的能量体现出来。为了说明各重构子频带能量与原信号能量的关系,对小波分解后各子频带的能量分布进行研究。
设信号的离散序列为f(n),利用小波变换对其进行J尺度的分解与重构,得到J+1个频率区间的分量,即
f(n)=AJf(n)+DJf(n)+
DJ-1f(n)+…+D1f(n)
(1)
式中:AJ为低频部分小波分解系数;Dj为高频部分小波分解系数,j=1,2,…,J。
在信号总能量不变的情况下,有

(2)
式中:
为信号在分解尺度J上的低频信号分量的能量;
为信号在分解尺度j上的高频信号分量的能量。
信号的总能量为
(3)
小波分解的各个尺度对应的是信号中不同频率范围内的分量,设
分别表示低频信号和高频信号的小波能量百分比,则

(4)
对2015年6月22日—7月23日1300工作面回采过程中发生的微震次数和能量变化进行统计,如图1所示,其中7月7日和8日均有冲击地压发生。

图1 1300工作面每日微震次数和能量分布
Fig.1 Daily microseism frequency and energy distribution of 1300 working face
从图1可见,在监测时间内,每日微震次数和能量变化趋势一致,冲击地压发生前,微震次数和能量呈现先增加后减少再增加的趋势。6月29日前,每日微震次数大部分在10次上下浮动,能量较低,大多在1 kJ以下;6月29日—7月1日,微震次数和能量成倍增加;7月2日—4日,微震次数和能量分别以几倍和几十倍的幅度下降,这一时期称为“缺震期”,主要为后续冲击地压发生积蓄能量;冲击地压发生前2 d(即7月5日和6日),能量和微震次数再次同时大幅增加。因此,当震动能量和频次再次增加时,有发生冲击危险的可能性,应当引起注意。
仅根据能量、频次分析来预测冲击地压难以满足实际工程需要,因此,本文从微震信号频谱特征方面加以探究。以7月7日2时54分发生的冲击地压为例,利用S2拾振器对采集到的数据进行小波分析,得出时频分布图。采样频率fs为1 000 Hz,根据采样定理,其奈奎斯特频率为500 Hz。采用db5小波基进行5层分解,得到6个子频带a5,d5—d1。其中a5为低频部分,频率范围为
为高频部分,频率范围为
计算可得a5,d5—d1的频率范围分别为0~15.625,15.625~31.25,31.25~62.5,62.5~125,125~250,250~500 Hz。每个子频带上仍是振幅关于时间变化的信号。
为了清楚地了解冲击地压发生前的状况,对冲击地压来之前2 h左右和1 h左右的情况进行分析。图2为冲击地压发生前2 h左右(7日0时56分56秒)的分解图,图3为冲击地压发生前1 h左右(7日1时51分9秒)的分解图。

(a)微震信号波形

(b)第5层低频(a5)重构

(c)第1层高频(d1)重构

(d)第2层高频(d2)重构

(e)第3层高频(d3)重构

(f)第4层高频(d4)重构

(g)第5层高频(d5)重构
图2 2015-07-07T00:56:54 微震信号小波分解
Fig.2 Wavelet decomposition of microseism at 2015-07-07T00:56:54

(a)微震信号波形

(b)第5层低频(a5)重构

(c)第1层高频(d1)重构

(d)第2层高频(d2)重构

(e)第3层高频(d3)重构

(f)第4层高频(d4)重构

(g)第5层高频(d5)重构
图3 2015-07-07T01:51:09微震信号小波分解
Fig.3 Wavelet decomposition of microseism at 2015-07-07T01:51:09
从图2可看出,冲击地压发生前2 h,低频系数几乎为0,说明低频信号成分很少,信号主频率集中在250~500 Hz(d1)频率段,主要为噪声信号。因此,可以把图2所示的波形视为噪声信号,其不具有冲击地压前兆微震信号的特点。
从图3可看出,冲击地压发生前1 h,原始波形震动起伏开始明显,振幅增加;从小波分解频率上看,d1具有明显的噪声信号特征,且低频信号增多,频率主要集中在125~250 Hz(d2)频率段。与图2相比,主频率有所降低,说明在冲击地压发生前1 h已经开始呈现冲击地压前兆,可将这一时刻的微震信号视为冲击地压前兆信号。
比较图2和图3可看出,越靠近冲击地压发生时刻,低频成分越明显,在冲击地压发生前1 h震动中低频成分比前2 h明显增多。因此,当震动信号中低频成分持续增加、高频成分递减时,可以判断发生高能量震动的危险性随之增大。
图4为冲击地压发生时的小波分解图。从图4可看出,冲击地压发生时出现了明显的低频信号,原始信号波形起伏明显,振幅远大于冲击地压发生前;信号频率主要集中在31.25~62.5 Hz(d4)和15.625~31.25 Hz(d5)。

(a)微震信号波形

(b)第5层低频(a5)重构

(c)第1层高频(d1)重构

(d)第2层高频(d2)重构

(e)第3层高频(d3)重构

(f)第4层高频(d4)重构

(g)第5层高频(d5)重构
图4 2015-07-07T02:54:59微震信号小波分解
Fig.4 Wavelet decomposition of microseism at 2015-07-07T02:54:59
为了进一步分析冲击地压前兆信号特点,对小波分解后各子频带之间的能量分布状态进行研究,求取各子频带分量所占的能量百分比。
冲击地压前兆信号(7日1时51分9秒)各子频带的能量分布如图5(a)所示。可以明显看出,d1,d2和d3的能量和占总能量的95%左右,其他子频带能量较少;d1具有明显的噪声信号特征,d2和d3的能量和占总能量的55%左右,说明微震前兆信号的主频率集中在62.5~250 Hz的中高频段。
冲击地压发生时微震信号各子频带的能量分布如图5(b)所示。可以看出,微震信号的能量主要集中在子频带d4和d5上,d4和d5的能量和占总能量的60%左右,其中d5的能量占比最大,达到40%,此时的波形具有瞬态冲击特点,而其他子频带的能量分布较均匀且相对较小,冲击性较弱。这在前震和其他震动中都很少见。

(a)微震前兆信号

(b)冲击地压发生时的微震信号
图5 微震信号各子频带能量分布
Fig.5 Energy distribution of each frequency band of the microseism signal
(1)工作面每日微震次数和能量变化趋势相一致,冲击地压发生前,微震次数和能量呈现先增加后减少再增加的趋势,当再次增加时,有引发冲击地压的可能性。
(2)冲击地压发生前1 h出现了明显的前兆信号,此时波形振幅增大,频谱分布向低频段发展,能量主要分布在62.5~250 Hz的中高频段,占总能量的55%左右。冲击地压发生时,波形起伏明显,振幅明显增大,低频信号占主要成分,能量主要集中在0~62.5 Hz的低频段,占总能量的70%左右。
(3)分析得出冲击地压前兆:振幅增加,微震主频明显降低,频带由高频向低频发展,且前震发生的时间越靠近主震,低频信号越多,低频信号所占的能量百分比也越大。因此,可将微震主频急剧降低、振幅明显升高、低频信号能量百分比增加作为冲击地压前兆的主要特征,结合每日微震次数和能量变化趋势进行冲击地压预测。
参考文献:(References)
[1] 姜福兴,王存文,杨淑华,等.冲击地压及煤与瓦斯突出和透水的微震监测技术[J].煤炭科学技术,2007,35(1):26-28.
JIANG Fuxing,WANG Cunwen,YANG Shuhua,et al.Micro seismic monitoring and measuring technology for pumping pressure,coal and gas outburst and water inrush[J].Coal Science and Technology,2007,35(1):26-28.
[2] 李楠,王恩元,GE Maochen.微震监测技术及其在煤矿的应用现状与展望[J].煤炭学报,2017,42(增刊1):83-96.
LI Nan,WANG Enyuan,GE Maochen.Micro-seismic monitoring technique and its applications at coal mines:present status and future prospects[J].Journal of China Coal Society,2017,42(S1):83-96.
[3] 刘建坡,石长岩,李元辉,等.红透山铜矿微震监测系统的建立及应用研究[J].采矿与安全工程学报,2012,29(1):72-77.
LIU Jianpo,SHI Changyan,LI Yuanhui,et al.Studies on establishment and application of microseismic monitoring system in Hongtoushan Copper Mine[J].Journal of Mining &Safety Engineering,2012,29(1):72-77.
[4] 陈士海,魏海霞,杜荣强.爆破震动信号的多分辨小波分析[J].岩土力学,2009,30(增刊1):135-139.
CHEN Shihai,WEI Haixia,DU Rongqiang.Multi-resolution wavelet analysis of blasting vibration signals[J].Rock and Soil Mechanics,2009,30(S1):135-139.
[5] 赵国彦,邓青林,马举.基于FSWT时频分析的矿山微震信号分析与识别[J].岩土工程学报,2015,37(2):306-312.
ZHAO Guoyan,DENG Qinglin,MA Ju.Recognition of mine microseismic signals based on FSWT time-frequency analysis[J].Chinese Journal of Geotechnical Engineering,2015,37(2):306-312.
[6] 陆菜平,窦林名,吴兴荣,等.岩体微震监测的频谱分析与信号识别[J].岩土工程学报,2005,27(7):772-775.
LU Caiping,DOU Linming,WU Xingrong,et al.Frequency spectrum analysis on microseismic monitoring and signal differentiation of rock material[J].Chinese Jounal of Geotechnical Engineering,2005,27(7):772-775.
[7] LU Caiping,DOU Linming,LIU Biao,et al.Microseismic low-frequency precursor effect of bursting failure of coal and rock[J].Journal of Applied Geophysics,2012,79:55-63.
[8] 李学龙,李忠辉,王恩元,等.矿山微震信号干扰特征及去噪方法研究[J].中国矿业大学学报,2015,44(5):788-792.
LI Xuelong,LI Zhonghui,WANG Enyuan,et al.Study of mine microseismic signals interference characteristic and its de-noising method[J].Journal of China University of Mining &Technology,2015,44(5):788-792.
[9] 孙兴林,匡中文,王晨辉,等.基于Matlab的矿震信号小波分析[J].煤矿安全,2012,43(6):168-171.
SUN Xinglin,KUANG Zhongwen,WANG Chenhui,et al.Wavelet analysis of rock-burst signal based on the Matlab[J].Safety in Coal Mines,2012,43(6):168-171.
[10] 周彦江,潘一山.基于小波变换的矿震波的P波和S波的识别[J].煤矿开采,2007,12(6):1-4.
ZHOU Yanjiang,PAN Yishan.P and S wave identification of rock-burst wave based on wavelet transform[J].Coal Mining Technology,2007,12(6):1-4.
[11] 黄江艳,白海峰.基于MATLAB的地铁隧道爆破震动信号小波分析[J].山西建筑,2013,39(13):157-159.
HUANG Jiangyan,BAI Haifeng.Wavelet analysis on blasting seismic signals of subway tunnel based on MATLAB[J].Shanxi Architecture,2013,39(13):157-159.
[12] 姜福兴,刘懿,杨伟利,等.郓城煤矿冲击地压与载荷三带关系研究[J].采矿与安全工程学报,2017,34(3):405-410.
JIANG Fuxing,LIU Yi,YANG Weili,et al.Relationship between rock burst and the three zone structure loading model in Yuncheng Coal Mine[J].Journal of Mining &Safety Engineering,2017,34(3):405-410.
[13] 唐守锋,童敏明,潘玉祥,等.煤岩破裂微震信号的小波特征能谱系数分析法[J].仪器仪表学报,2011,32(7):1521-1527.
TANG Shoufeng,TONG Minming,PAN Yuxiang,et al.Energy spectrum coefficient analysis of wavelet features for coal rupture microseismic signal[J].Chinese Journal of Scientific Instrument,2011,32(7):1521-1527.
WANG Xinxin,YU Shijian
(College of Mining and Safety Engineering,Shandong University of Science and Technology,Qingdao 266590,China)
Abstract:The microseism signals before and after rock burst on 1300 working face of a coal mine were collected,and sequential characteristics were analyzed.The db5 is used as wavelet basis function to decompose microseism signals into five layers,and the spectral characteristics and energy percentage of each sub-frequency band are obtained.The analysis results show that before rock burst,the number and energy of microseism increase first and then decrease and then increase;precursor signal appeared one hour before rock burst occurred,the energy is mainly distributed in the middle and high frequency region of 62.5-250 Hz,and the energy percentage reaches 55%;when the rock burst occurs,the amplitude increases significantly,with obvious vibration fluctuations,low frequency signals are the main component,and the energy is mainly concentrated in the low frequency range of 0-62.5 Hz,and accounts for about 70% of the total energy.Precursory of rock burst is obtained:the amplitude increases,the frequency of the microseism is significantly reduced,the frequency band develops from high frequency to low frequency,and low frequency signal increases as the time of foreshock occurs closer to the main shock,the percentage of energy occupied by the low frequency signal also increases.Therefore,sharp reduction of main frequency of the microseismic,obvious increase of amplitude and increase of energy percentage of low-frequency signals can be used as the main feature of precursory of rock burst,combined with daily microseismic times and energy trends,rock burst can be predicted.
Key words:rock burst;microseism;precursory signal;wavelet analysis;spectral characteristic;energy percentage
文章编号:1671-251X(2019)09-0070-05
DOI:10.13272/j.issn.1671-251x.2018110067
收稿日期:2018-11-29;修回日期:2019-08-16;责任编辑:胡娴。
基金项目:山东省自然科学基金项目(ZR2011DM014)。
作者简介:王欣欣(1993-),女,山东聊城人,硕士研究生,研究方向为冲击地压微震信号,E-mail:1037291451@qq.com。
引用格式:王欣欣,于师建.基于小波分析的冲击地压微震前兆信号研究[J].工矿自动化,2019,45(9):70-74.
WANG Xinxin,YU Shijian.Research on precursory signals of microseism of rock burst based on wavelet analysis[J].Industry and Mine Automation,2019,45(9):70-74.
中图分类号:TD324
文献标志码:A