赵勇1,赵国勇1,孟凡瑞2,赵玉刚1,侯启金2
(1.山东理工大学 机械工程学院,山东 淄博 255049;2.淄博水环真空泵厂有限公司,山东 淄博 255200)
摘要:针对现有煤矿瓦斯抽放控制采用粗放式控制方法存在瓦斯抽放浓度控制缺失和水环真空泵能耗高等问题,设计了一套煤矿瓦斯抽放浓度控制系统。该系统基于分级调节思想,在控制程序集中控制下,通过瓦斯浓度传感器检测抽采管路中的瓦斯浓度,利用PLC逻辑运算功能计算出瓦斯浓度变化率,并根据瓦斯浓度变化分级调节电动瓦斯调节阀开度和水环真空泵变频电动机转速,以提高抽采瓦斯浓度,从而提高抽采瓦斯利用率。试验结果表明,该控制系统能有效提高抽采瓦斯浓度,瓦斯体积分数可提高3.6%~4.2%,使抽采瓦斯利用率大大提高;且节能效果明显,瓦斯抽放浓度控制后节能效果提高了24%。
关键词:煤矿瓦斯抽放;瓦斯浓度传感器;瓦斯浓度检测;分级调节;电动瓦斯调节阀;瓦斯浓度变化率;节能
瓦斯抽采是保证煤矿开采安全的重要环节。当前,煤矿瓦斯抽放采用粗放式控制方式,这将导致抽放出的瓦斯气体利用率低、抽放系统能耗高等问题[1-3]。基于采矿安全考虑,为使矿井中瓦斯气体最大限度排出,煤矿企业希望瓦斯抽放用水环真空泵处于最大吸气量,长期全转速运行。随着煤炭开采的进行,瓦斯涌出量会产生变化,当瓦斯涌出量较少时,水环真空泵全转速运行会造成抽采负压过大,使抽采纯瓦斯流量减小,致使抽采出的瓦斯浓度降低,并会使管路中的瓦斯混入过多空气,存在爆炸隐患,不利于输送。除安全隐患外,抽出的低浓度瓦斯利用效果差,其浓度达不到发电或者民用的浓度要求。不仅如此,全转速运行的水环真空泵还会造成电能浪费。针对瓦斯抽放控制,有关学者做了大量研究[4-5],冯涛等[6]设计了煤矿瓦斯抽放监控系统,实现了对瓦斯抽放系统的自动控制。祝钊等[7]提出采用PLC实现瓦斯抽采智能控制系统。李红英[8]改进了瓦斯抽采监控系统,使瓦斯抽放控制更稳定。陈鸿[9]通过设计瓦斯抽放监控系统,实现了瓦斯抽放监测监控功能。但以上研究只是从采矿安全角度出发,实现对瓦斯抽放的自动监测与控制,忽略了抽放瓦斯的再利用问题,缺少对瓦斯抽放浓度控制的研究。随着矿用多用途传感器的研制成功,瓦斯浓度检测变得简单[10];同时,变频技术日趋成熟,高压变频器逐渐应用到水环真空泵上[11-12],使煤矿瓦斯抽放控制更灵活。本文在兼顾采矿安全的基础上,设计了一套煤矿瓦斯抽放浓度控制系统。该系统能根据煤矿瓦斯浓度变化分级调节电动瓦斯调节阀开度和水环真空泵转速,以提高抽采出的瓦斯浓度,从而提高抽采出的瓦斯利用率,达到节能的目的。
煤矿瓦斯抽放浓度控制系统主要由程序模块、瓦斯浓度检测模块、电动瓦斯调节阀控制模块、水环真空泵变频调速模块组成,如图1所示。
该系统基于分级调节思想,在控制程序集中控制下,PLC通过瓦斯浓度传感器采集管路中的瓦斯浓度,经计算和逻辑判断后,分级调节电动瓦斯调节阀开度和水环真空泵牵引电动机转速,以提高抽放出的瓦斯浓度。
程序模块用于系统动作的集中控制。瓦斯浓度检测模块用于检测管道内瓦斯浓度。电动瓦斯调节阀控制模块可根据瓦斯浓度变化调节电动瓦斯调节阀的开度。通过对水环真空泵牵引电动机的变频改造,水环真空泵变频调速模块实现了水环真空泵牵引电动机转速的调节。

图1 瓦斯抽放浓度控制系统构组成
Fig.1 Composition of gas drainage concentration control system
该系统由PLC集中控制水环真空泵牵引电动机转速和电动瓦斯调节阀开度。PLC控制程序流程如图2所示。

图2 PLC控制程序流程
Fig.2 Flow of PLC control program
图2中,s(k)为第k个采样周期中瓦斯浓度传感器检测到的抽采主管路中的瓦斯浓度;e(k)为第k个采样周期中瓦斯浓度变化率;Q(k)为第k个采样周期中PLC向步进电动机发送的脉冲数;p(k)为电动瓦斯调节阀开度;p(0)为电动瓦斯调节阀最小阀门开度;n(k)为PLC控制的第k个采样周期的变频电动机转速;n(0)为变频电动机最低转速。
(1)
(2)
n(k)=n(k-1)[1+c0e(k)]
(3)
式中:s(k-1)为第(k-1)个采样周期中检测到的瓦斯浓度;μ为控制系数,与步距角有关;α为步进电动机步距角;n(k-1)为第(k-1)个采样周期中变频电动机转速;c0为转速调节系数。
PLC控制程序采用分级调节思想,即优先进行电动瓦斯调节阀开度调节,当电动瓦斯调节阀开度调至极限时再进行水环真空泵牵引电动机转速调节。
瓦斯抽放浓度控制系统中设计安装有PLC控制部分,且在抽采主管路中安装有瓦斯浓度传感器,并用数据总线将各部分连接起来以进行通信。在程序模块运行后,瓦斯浓度传感器与PLC启动工作,当瓦斯浓度传感器采集瓦斯浓度后,PLC的模拟量输入模块对瓦斯浓度传感器信号进行采集,通过模数转换得到瓦斯浓度大小,从而实现对瓦斯浓度的检测。
以瓦斯抽放浓度控制系统程序模块为基础,为实现电动瓦斯调节阀开度控制,应先设计电动瓦斯调节阀,然后在PLC控制下,实现对电动瓦斯调节阀开度的控制。
2.3.1 电动瓦斯调节阀设计
当前有学者设计了用于煤矿管道开关控制的矿用电动阀门,并取得了良好的效果[13-15]。但因鲜有好的阀门开度控制方法,煤矿企业几乎不采用有调节阀门开度功能的电动调节阀,而采用隔爆电动阀门控制箱配合隔爆电动蝶阀来实现阀门开关功能,但隔爆电动阀门不能实时调节阀门开度。因此,基于本文提出的控制系统,设计了电动瓦斯调节阀。电动瓦斯调节阀由执行器和阀门2个部分组成。
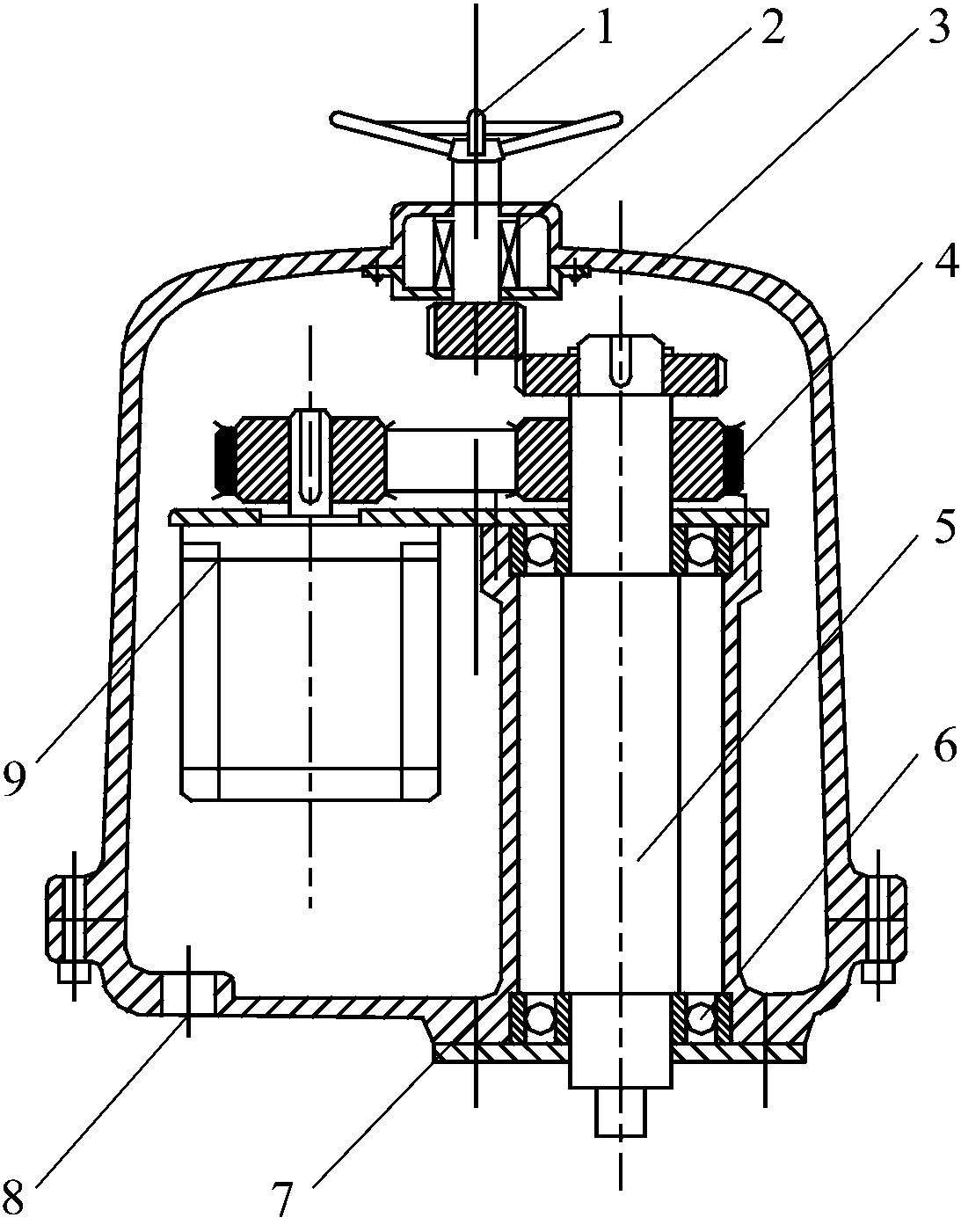
电动瓦斯调节阀执行器结构如图3所示,执行器采用防爆步进电动机输出动力。步进电动机控制精度高,可根据瓦斯浓度变化实时调节自身转子转动角度,以达到调节阀门开度的目的。步进电动机通过支板与壳体固定在一起,通过同步带输出动力至输出轴,以带动电动瓦斯调节阀阀板转动。同步带传动比恒定,有利于精准控制。该电动瓦斯调节阀还设计有手动模式,当出现故障或断电时,垂直按下手动轮,手动轮与输出轴啮合进行传动,松开则退出啮合。执行器与阀门间通过配套支架相连接,其局部装配如图4所示。

1-手动轮;2-弹簧;3-壳罩;4-同步带;5-输出轴;
6-深沟球轴承;7-壳体;8-接线孔;9-防爆步进电动机。
图3 电动瓦斯调节阀执行器结构
Fig.3 Structure of actuator of electric gas control valve

1-支架;2-开合螺母;3-填料;4-密封圈;
5-阀杆;6-阀板;7-阀体。
图4 配套支架与阀门局部装配
Fig.4 Partial assembly of supporting bracket and valve
在设计中,利用支架将阀体与执行器连接在一起,用开合螺母连接执行器的输出轴与阀杆,阀杆上固定有蝶形阀板,阀板与阀体之间设计有密封圈。密封圈材料为改性氟橡胶,封闭性优良,耐磨性和耐腐蚀好。阀板采用翼形蝶板,流体阻力损失小。支架和步进电动机设计为可拆卸结构,这大大提高了电动瓦斯调节阀的柔性化程度,可根据不同的管径配备不同型号的防爆步进电动机。最后,考虑到煤矿的特殊环境,阀门还要进行防静电、防爆、防腐蚀处理。
经试验,该阀门开度调节精度高且灵活性、密封性良好。
2.3.2 电动瓦斯调节阀开度控制功能实现
在电动瓦斯调节阀开度控制中,在PLC第k个采样周期,若抽采主管路瓦斯浓度上升,即e(k)>0,Q(k)>0,则向步进电动机顺时针方向发送|Q(k)|个脉冲,使电动瓦斯调节阀开度变大。若抽采主管路瓦斯浓度下降,即e(k)<0,Q(k)<0,则向步进电动机逆时针方向发送|Q(k)|个脉冲,使电动瓦斯调节阀开度变小。若抽采主管路瓦斯浓度不变,保持电动瓦斯调节阀开度不变。考虑到瓦斯抽放的安全性,设置最小阀门开度值为p(0),即只要抽采瓦斯,在调节过程中无论瓦斯浓度多低,都留有20%的开度。
若抽采主管路上电动瓦斯调节阀开度已调至极限,则可通过调节水环真空泵牵引电动机转速来控制抽采负压。对于变频电动机,当抽采主管路瓦斯浓度s(k)上升时,e(k)>0,所以变频电动机转速相应变大。当抽采主管路瓦斯浓度s(k)下降时,e(k)<0,变频电动机转速相应减小。考虑到瓦斯抽放的安全性,设置变频电动机最小转速为n(0),当变频电动机转速计算值n(k)小于等于最小转速n(0)时,令n(k)=n(0)。要想水环真空泵能建立起真空并正常工作,其电动机工作转速不得低于额定转速的65%,为达到最佳工作状态,设定电动机最低转速为额定转速的80%。
当检测到抽采管路中瓦斯浓度下降时,由步进电动机带动阀杆转动,电动瓦斯调节阀开度减小,该管路中气体流量随之降低,使抽放出的瓦斯浓度保持在较高浓度。当检测到抽采管路中瓦斯浓度上升时,由步进电动机带动阀杆转动,电动瓦斯调节阀开度增大,该管路中流量随之增大,确保采煤安全,并有稳定瓦斯浓度的作用。
当电动瓦斯调节阀开度已达到极限状态时,启用水环真空泵牵引电动机,以进行调速控制。当电动瓦斯调节阀开度最大,检测到抽采管路中瓦斯浓度仍上升时,调大变频电动机转速,使水环真空泵吸气量上升,井下瓦斯浓度就会降低,保证采矿安全。当电动瓦斯调节阀开度最小,瓦斯浓度仍降低时,调低变频电动机转速,降低水环真空泵吸气量,避免抽放出的瓦斯吸入过多空气,从而提高瓦斯浓度。
在淄博水环真空泵厂试验中心进行瓦斯浓度控制试验,试验有关设备连接如图5所示。

1-1号瓦斯浓度传感器;2-集气罐;3-排气管道;4-PLC;5-变频器;6-变频电动机;7-水环真空泵;8-吸气管道;9-数据总线;10-2号瓦斯浓度传感器;11-电动瓦斯调节阀;12-3号瓦斯浓度传感器;13-甲烷释放罐。
图5 瓦斯浓度控制试验设备连接
Fig.5 Connection of gas concentration control test equipment
试验采用2BEC-42型水环真空泵,配套的变频电动机额定功率为315 kW,水环真空泵最大转速为610 r/min,在系统初始化结束且工作稳定后,人工调节吸入瓦斯浓度,测试电动瓦斯调节阀开度和水环真空泵转速。
将3号瓦斯浓度传感器放置于吸气管道入口附近,通过其读数来人工调节甲烷释放罐放气速度,以调节吸入瓦斯浓度,根据吸入瓦斯浓度来测试电动瓦斯调节阀开度与水环真空泵转速。吸入瓦斯浓度与调节阀开度和泵转速关系见表1。
表1 吸入瓦斯浓度与调节阀开度和泵转速的关系
Table 1 Relationship between suction gas concentration and valve opening and pump speed

由表1可看出,电动瓦斯调节阀开度随吸入瓦斯浓度上升而逐渐变大,当电动瓦斯调节阀开度未达到最大时,水环真空泵转速始终为设定的最低转速;随着吸入瓦斯浓度的升高,当电动瓦斯调节阀开度最大时,水环真空泵转速逐渐升高;当瓦斯浓度逐渐降低时,先减小电动瓦斯调节阀开度,再降低水环真空泵速度。经试验证明,该系统电动瓦斯调节阀开度调节和水环真空泵变频调速控制符合预期要求。
由1号瓦斯浓度传感器测得集气罐收集到的瓦斯浓度,并将瓦斯浓度调节控制前后收集到的瓦斯浓度进行比较,结果见表2。
由表2可看出,瓦斯体积分数控制后收集到的瓦斯体积分数较控制前最大提高4.2%,最小提高3.6%,提升效果明显。
表2 调节控制前后的瓦斯体积分数对比
Table 2 Comparison of gas concentration before and after adjustment control %

泵类设备的转速与流量、转速与功率之间的关系为
(4)
(5)
式中:n1,n2为水环真空泵的转速;Q1为n1转速下水环真空泵的吸气量;Q2为n2转速下水环真空泵的吸气量;P1为n1转速下水环真空泵牵引电动机的功率;P2为n2转速下水环真空泵牵引电动机的功率。
从式(4)、式(5)可看出,用降低水环真空泵转速方式来控制流量时,功率和转速存在立方比关系。当瓦斯抽采量减少时,可以降低电动机的转速来达到节能目的。此外,变频控制后,功率因数会降低,工作效率会提升,能进一步节约电能。变频电动机变频前后数据对比见表3。
表3 变频电动机变频前后数据对比
Table 3 Data comparison of frequency conversion motor before and after frequency conversion

经计算,变频后节能效率提高了24%。据估算,全年(350 d)可节电638 400 kW·h。由此可以看出,水环真空泵变频调速后能为企业带来较好的经济效益。
(1)针对煤矿瓦斯抽放粗放式控制所导致的抽放瓦斯浓度低的问题,设计了一套煤矿瓦斯抽放浓度控制系统,用瓦斯浓度传感器检测管路中的瓦斯浓度变化,PLC根据瓦斯浓度变化率分级调节电动瓦斯调节阀开度和水环真空泵转速,使抽采流量与瓦斯涌出量相匹配,提高了抽采瓦斯的浓度。试验得出,在不同吸入瓦斯体积分数变化范围内,瓦斯抽放控制后的体积分数较控制之前提升了3.6%~4.2%,提升效果明显。
(2)煤矿瓦斯浓度控制系统中的水环真空泵变频调速模块不仅是瓦斯浓度控制的重要一环,还可以有效地解决煤矿瓦斯抽放系统能耗高的问题。PLC根据管路中瓦斯浓度变化对水环真空泵转速进行变频控制,以达到降低能耗、节约电能的目的。在试验的基础上分析计算得出,瓦斯抽放浓度控制后节能效率提高了24%,全年节电638 400 kW·h,节能效果明显。
参考文献:(References)
[1] 张德江.大力推进煤矿瓦斯抽采利用[J].工矿自动化,2010,36(2):1-3.
ZHANG Dejiang.Vigorously promote coal mine gas drainage and utilization[J].Industry and Mine Automation,2010,36(2):1-3.
[2] 张锋.浅析煤矿瓦斯抽放的影响因素[J].陕西煤炭,2018,37(5):152-154.
ZHANG Feng.Analysis on the influence factors of gas drainage in coal mine[J].Shaanxi Coal,2018,37(5):152-154.
[3] 申宝宏,刘见中,张泓,等.我国煤矿瓦斯治理的技术对策[J].煤炭学报,2007,32(7):673-679.
SHEN Baohong,LIU Jianzhong,ZHANG Hong,et al.The technical measures of gas control in China coal mines[J].Journal of China Coal Society,2007,32(7):673-679.
[4] 张文君.梨园坝煤矿瓦斯抽放监控系统设计与实现[D].重庆:重庆大学,2012.
[5] 朱伟伟.煤矿瓦斯地面抽放站监控系统的研究[D].淮南:安徽理工大学,2011.
[6] 冯涛,王付坤,王琳,等.煤矿瓦斯抽放监控系统的设计与实现[J].工矿自动化,2010,36(7):99-101.
FENG Tao,WANG Fukun,WANG Lin,et al.Design and implementation of coal mine gas drainage monitoring system[J].Industry and Mine Automation,2010,36(7):99-101.
[7] 祝钊,贾振元,王魁军,等.瓦斯抽采智能控制系统研究[J].煤矿安全,2012,43(11):92-94.
ZHU Zhao,JIA Zhenyuan,WANG Kuijun,et al.Study on gas extraction intelligent control system[J].Safety in Coal Mines,2012,43(11):92-94.
[8] 李红英.煤矿在线瓦斯抽采管网监控系统技术研究及应用[J].煤炭工程,2017,49(12):83-85.
LI Hongying.Development and application of online monitoring system for mine gas extraction pipeline[J].Coal Engineering,2017,49(12):83-85.
[9] 陈鸿.煤矿瓦斯抽放监测监控系统设计[J].煤矿安全,2013,44(7):98-99.
CHEN Hong.Design of coal mine gas drainage monitoring and control system[J].Safety in Coal Mines,2013,44(7):98-99.
[10] 杨绪军,程大伟,杨康,等.矿用多参数气体流量传感器设计[J].工矿自动化,2014,40(5):12-14.
YANG Xujun,CHENG Dawei,YANG Kang,et al.Design of mine-used multi-parameter gas flow sensor[J].Industry and Mine Automation,2014,40 (5):12-14.
[11] 姚静,李彬,宋豫,等.基于变频调节的快锻液压系统节能与控制研究[J].中国机械工程,2015,26(6):749-755.
YAO Jing,LI Bin,SONG Yu,et al.Study on hydraulic press fast forging energy-saving and control system based on variable frequency adjustment[J].China Mechanical Engineering,2015,26(6):749-755.
[12] 林永亮.高压变频器在煤矿瓦斯抽放泵中的应用研究[J].机械管理开发,2017,32(6):90-91.
LIN Yongliang.Application research of high voltage frequency converter in coal mine gas drain pump[J] .Mechanical Management and Development,2017,32(6):90-91.
[13] 李兵伟.一种新型矿用防爆阀门电动调节装置的设计[J].陕西煤炭,2018,37(6):40-43.
LI Bingwei.Design of a new explosion-proof electric control valve for mine[J].Shaanxi Coal,2018,37(6):40-43.
[14] 陈新元,陈峰,周银法,等.瓦斯专用阀:CN 201120212415.7[P].2012-01-04.
[15] 王振锋,周英,孙玉宁,等.基于单片机技术的瓦斯抽采浓度自动调节阀研究[J].煤炭工程,2015,47(3):135-137.
WANG Zhenfeng,ZHOU Ying,SUN Yuning,et al.Automatic control valve for gas concentration based on single-chip[J].Coal Engineering,2015,47(3):135-137.
ZHAO Yong1,ZHAO Guoyong1,MENG Fanrui2,ZHAO Yugang1,HOU Qijin2
(1.School of Mechanical Engineering,Shandong University of Technology,Zibo 255049,China;2.Zibo Water Ring Vacuum Pump Factory Co.,Ltd.,Zibo 255200,China)
Abstract:In view of the problem of lack of gas drainage concentration control and the high energy consumption of the water ring vacuum pump in the extensive control method of existing coal mine gas drainage control,a coal mine gas drainage concentration control system was designed.The system is based on the hierarchical adjustment idea,and under the centralized control of the control program,the gas concentration in the extraction pipeline is detected by the gas concentration sensor,the gas concentration change rate is calculated by the PLC logic operation function,and then the opening degree of electric gas control valve and the variable frequency motor speed of water ring vacuum pump are adjusted by grade according to the change of gas concentration to increase the concentration of gas extracted,so as to improve utilization rate of the extraction gas.The test results show that the control system can effectively increase the gas concentration of the extraction,and the gas concentration can be increased by 3.6%-4.2%,which greatly improves the gas utilization rate of the extraction.And the energy saving effect is obvious,the energy saving effect is improved by 24% after the gas drainage concentration control.
Key words:coal mine gas drainage;gas concentration sensor;gas concentration detection;grading adjustment;electric gas control valve;change rate of gas concentration;energy saving
文章编号:1671-251X(2019)09-0103-06
DOI:10.13272/j.issn.1671-251x.2019050057
收稿日期:2019-05-21;修回日期:2019-08-06;责任编辑:张强。
基金项目:淄博市校城融合发展计划项目(2018ZBXC310)。
作者简介:赵勇(1994-),男,山东泰安人,硕士研究生,主要研究方向为机电一体化技术,E-mail:m18753363969@163.com。
通信作者:赵国勇(1976-),男,山东淄博人,教授,博士研究生导师,主要研究方向为机械制造自动化技术,E-mail:zgy709@126.com。
引用格式:赵勇,赵国勇,孟凡瑞,等.煤矿瓦斯抽放浓度控制系统设计[J].工矿自动化,2019,45(9):103-108.
ZHAO Yong,ZHAO Guoyong,MENG Fanrui,et al.Design of coal mine gas drainage concentration control system[J].Industry and Mine Automation,2019,45(9):103-108.
中图分类号:TD76
文献标志码:A