马海龙
(北京天地龙跃科技有限公司, 北京 100013)
摘要:为解决采用单一特征量预测轴承剩余寿命误差较大、有限数据样本条件下轴承剩余寿命难以估算的问题,提出了一种基于主元特征融合和支持向量机(SVM)的轴承剩余寿命预测方法。该方法采集振动加速度信号构建数据样本,提取有效值、峰值、小波熵等表征轴承退化趋势的特征指标;采用主元分析融合多个特征指标,消除特征间的冗余和相关性,构造出相对多特征的退化特征量;将退化特征量输入SVM模型中进行轴承剩余寿命预测。现场工程应用结果表明,基于主元特征融合和SVM的轴承剩余寿命预测方法可在小样本条件下筛选出包含信号绝大部分信息的主元,从而在保证预测精度的同时,减少了计算量。
关键词:轴承剩余寿命预测; 主元特征融合; 支持向量机; 主元分析; 退化特征量
轴承是煤机设备中最重要的零部件之一,其性能好坏直接影响设备整机的健康状态。鉴于煤机设备工作于多尘、潮湿、冲击载荷等特殊环境,轴承的实际使用寿命远低于设计寿命。一旦运行时间超过轴承服役寿命,轻则振动增大,影响煤机设备的正常运行,重则轴承卡死,甚至造成飞车等严重事故。因此,监测煤机设备轴承的健康状态、预测剩余寿命是十分必要的。此外,轴承剩余寿命预测也是合理制定设备检修维护计划的前提。
基于振动信号分析的轴承剩余寿命预测主要分为2步:① 提取振动信号特征指标,描述轴承的退化过程;② 通过轴承剩余寿命预测模型实现轴承剩余寿命预测。均方根值[1]、峭度值[2-3]、峰值、故障特征频率、小波熵[4]、EMD熵[5]等特征指标反映了轴承退化趋势,可作为轴承退化特征输入轴承剩余寿命预测模型中。然而这些特征量仅对轴承退化过程的某一阶段敏感,单独使用某个特征量作为轴承剩余寿命预测的退化特征量,预测结果误差较大[6]。综合特征指标可以相对精确地描述轴承退化过程,但增加了计算复杂性[7-9]。基于此,本文提出利用主元分析(Principal Component Analysis,PCA)融合多个特征指标,得到表征相对多特征的主元,将其作为轴承寿命预测模型的退化特征量,在保留相对全面的轴承退化信息的同时,降低了计算复杂度。
随着煤机设备在线监测系统的广泛应用,基于轴承健康状态监测数据的轴承寿命预测研究逐渐增多。BP神经网络模型[10-12]、相似性模型[13]等取得了很好的预测效果,但是这些预测模型需要较多数据样本。煤机设备轴承劣化失效数据样本非常难得,同时实验室中的数据样本与煤机设备轴承真实工况的数据样本差别较大,不能将其作为煤机设备轴承剩余寿命预测研究的有效数据样本。如何在有限的数据样本条件下建立合适的预测模型,是准确预测轴承剩余寿命的关键。支持向量机(Support Vector Machine, SVM)[14]是一种解决小样本分类和预测的机器学习算法,可以作为小样本条件下轴承剩余寿命预测模型。因此,本文采用SVM进行轴承剩余寿命预测。
轴承剩余寿命预测技术框架如图1所示。采集振动加速度信号构建数据样本,提取有效值、峰值、小波熵等特征指标;将特征指标输入到PCA模型中,根据累计贡献率确定主元;利用主元构造退化特征量并输入SVM预测模型中,得到轴承剩余寿命预测结果。

图1 轴承剩余寿命预测技术框架
Fig.1 Technical framework of bearing residual life prediction
设共有n个数据样本,每个样本有m个特征量,样本数据矩阵为Xn×m,其每行对应一个观测数据样本xi,0<i≤n;每列对应一个观测样本的特征量ξj,0<j≤m。由于不同特征量具有不同的量纲,而不同量纲会引起变量分散程度的差异,所以,需要对特征量进行标准化处理。标准化处理后的特征量为
![]()
(1)
式中:E(ξj)为特征量均值;S(ξj)为特征量标准差。
设标准化处理后的样本数据矩阵为
则其协方差矩阵M为
![]()
(2)
计算协方差矩阵M的特征值λi及其特征向量,将特征值按照从大到小的顺序排列,对应特征向量构成的特征矩阵K为

(3)
式中l为特征值个数。
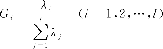
特征值λi的贡献率为

(4)
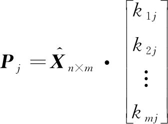
取累计贡献率达85%的前几个特征量作为主元,第j个主元Pj为

(5)
给定样本集S={(xi,yi)
,xi∈Rn,yi∈R},其中xi为输入变量,yi为对应的预测值,回归函数f(x)为
f(x)=〈w·x〉+b
(6)
式中:w为权值向量,w∈Rn;b为偏置门限,b∈R。
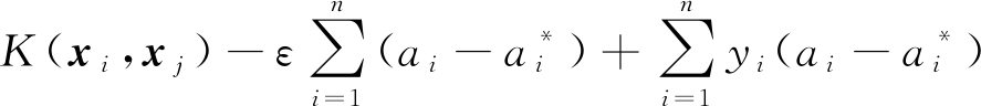
w和b通过求解下面的最优问题来获取:
![]()

(7)
式中:C为惩罚因子;ζi和
为松弛因子;ε为不敏感因子。
当数据之间表现为非线性关系时,向SVM中引入核函数,将原始数据映射到高维空间中,把非线性问题转化为线性问题求解。RBF核函数是最常用的核函数,其表达式为
(8)
式中p为核函数指数。
引入Lagrangian函数,将最优化问题转化为凸二次规划问题:

(9)
式中:
为Lagrangian算子;
为求解
的函数。
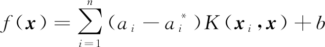
根据KKT条件[15-17],SVM回归函数为
![]()
(10)
工程应用验证数据来自于某矿主运带式输送机的张紧滚筒轴承振动数据,现场数据采集系统如图2所示。

图2 现场数据采集系统
Fig.2 On-site data acquisition system
通过安装在滚筒支撑轴承上的振动加速度传感器获取振动加速度信号,轴承型号为23144,滚筒转速为69 r/min,采样频率为4 000 Hz,采样点数为8 000。采集样本的时间间隔为0.5 d,数据采集分站采集数据后上传至服务器。
通过监测数据可以发现,从8月1日开始,张紧滚筒左侧的振动幅值呈现出小幅增大的趋势。矿方在9月19日更换了该滚筒轴承。选取8月1日—23日张紧滚筒左侧轴承劣化初期的振动数据作为样本,将9月19日更换滚筒轴承的时间节点作为轴承寿命终止点,对该轴承的剩余寿命进行预测。
提取数据样本的特征量,包括有效值、峰值、峭度、波形指标、小波熵,部分数据见表1。
表1 数据样本特征量(部分数据)
Table 1 Data sample feature quantity (partial data)

将数据样本输入PCA模型中,利用PCA进行特征融合,去除特征间的冗余和相关性,得到主元贡献率及累计贡献率,见表2。
表2 主元贡献率及累计贡献率
Table 2 Principal component contribution rate and accumulated contribution rate

从表2可看出,第1主元和第2主元的累计贡献率达到87%,说明其包含了信号的绝大部分信息,因此,选择第1主元和第2主元作为退化特征量,其变化趋势如图3所示。

(a) 第1主元变化趋势

(b) 第2主元变化趋势
图3 PCA模型输出的退化特征量变化趋势
Fig.3 Trend of degraded characteristic output by PCA model
从图3可看出,第1主元具有明显的上升趋势,反映了轴承的退化过程。第2主元表征了轴承使用工况及其自身对劣化过程的影响。因此,第1主元、第2主元可以作为轴承退化特征量用于轴承剩余寿命预测。
将第1主元变量和第2主元变量输入SVM模型中,预测轴承剩余寿命,结果如图4所示。

图4 张紧滚筒轴承剩余寿命预测结果
Fig.4 Bearing residual life prediction results of tension roller
从图4可见,预测结果为54 d,因为数据样本间隔为0.5 d,所以该轴承剩余寿命为27 d(54×0.5=27)。预测样本数据时间为8月1日—23日,9月19日为该滚筒轴承的寿命终止时间,则从8月24日开始,轴承继续使用了27 d(8月24日—9月19日),与预测结果相吻合。在检修过程中发现该轴承出现了严重的点蚀、剥落现象。
本文方法预测结果与采用单一特征量时的预测结果对比见表3。在轴承寿命预测过程中,由于退化特征量携带了87%数据样本特征,准确地刻画了轴承寿命变化趋势,因此,与将单一特征作为退化特征量相比,本文方法具有更高的精度。同时,本文方法只有2个退化特征量,与综合特征指标相比,能够在保证预测精度的同时,减少计算量。
表3 基于不同退化特征量的轴承寿命预测结果对比
Table 3 Comparison of bearing life prediction results based on different degraded feature quantities

提出了基于主元特征融合和SVM的轴承剩余寿命预测方法,采用主元分析融合多个特征指标,根据累计贡献率得到表征相对多特征的主元,并将其作为轴承寿命预测模型的退化特征量,在尽可能多地保留信号中有用信息的同时,极大地减少了退化特征量数量。采用SVM作为轴承寿命预测模型,实现了在小样本条件下最大限度地利用各种有效信息对轴承剩余寿命进行准确预测。现场工程应用结果表明,与将单一特征作为退化特征量相比,本文方法具有更高的预测精度;与综合特征指标相比,本文方法能够在保证预测精度的同时,减少计算量。
参考文献 :
[1] 杨彦宇. 以振动信号为基础的数字信号处理方法对滚动轴承寿命预测的研究[D].北京:北京化工大学,2016.
[2] 从飞云,陈进,董广明.基于谱峭度和AR模型的滚动轴承故障诊断[J].振动.测试与诊断,2012,32(4):538-541.
CONG Feiyun,CHEN Jin,DONG Guangming. Spectral kurtosis and AR model based method for fault diagnosis of rolling bearings[J]. Journal of Vibration, Measurement & Diagnosis, 2012,32(4):538-541.
[3] 石林锁,沈金伟,张亚洲,等.基于AR模型和谱峭度法的滚动轴承故障诊断[J].振动与冲击,2011,30(12):257-260.
SHI Linsuo,SHEN Jinwei,ZHANG Yazhou,et al.Fault diagnosis of a rolling element bearing based on AR model and spectral kurtosis[J].Journal of Vibration and Shock,2011,30(12):257-260.
[4] 冯辅周,司爱威,江鹏程.小波相关排列熵和HMM在故障预测中的应用[J].振动工程学报,2013,26(2):269-276.
FENG Fuzhou, SI Aiwei,JIANG Pengcheng.Application of wavelet correlation permutation entropy and hidden Markov model to fault prognostic[J].Journal of Vibration Engineering,2013,26(2):269-276.
[5] 徐东,徐永成,陈循,等.基于EMD的灰色模型的疲劳剩余寿命预测方法研究[J].振动工程学报,2011,24(1):104-110.
XU Dong, XU Yongcheng, CHEN Xun, et al.Residual fatigue life prediction based on grey model and EMD[J].Journal of Vibration Engineering,2011,24(1):104-110.
[6] 苗学问,王大伟,洪杰.滚动轴承寿命理论的发展[J].轴承,2008(3):47-52.
MIAO Xuewen,WANG Dawei,HONG Jie.Progress of life theory of rolling bearings[J].Bearing,2008(3):47-52.
[7] 申中杰,陈雪峰,何正嘉,等.基于相对特征和多变量支持向量机的滚动轴承剩余寿命预测[J].机械工程学报,2013,49(2):183-189.
SHEN Zhongjie,CHEN Xuefeng,HE Zhengjia,et al.Remaining life predictions of rolling bearing based on relative features and multivariable support vector machine[J].Journal of Mechanical Engineering,2013,49(2):183-189.
[8] 陈昌.基于状态振动特征的空间滚动轴承可靠性评估方法研究[D].重庆:重庆大学,2014.
[9] 王付广,李伟,郑近德,等.基于多频率尺度模糊熵和ELM的滚动轴承剩余寿命预测[J].噪声与振动控制,2018,38(1):188-192.
WANG Fuguang,LI Wei,ZHENG Jinde,et al.Prediction of remaining life of rolling bearings based on multi-frequency scale fuzzy entropy and ELM[J].Noise and Vibration Control,2018,38(1):188-192.
[10] 奚立峰,黄润青,李兴林,等.基于神经网络的球轴承剩余寿命预测[J].机械工程学报,2007,43(10):137-143.
XI Lifeng, HUANG Runqing, LI Xinglin, et al.Residual life predictions for ball bearing based on neural networks[J].Chinese Journal of Mechanical Engineering,2007,43(10):137-143.
[11] 范高锋,王伟胜,刘纯,等.基于人工神经网络的风电功率预测[J].中国电机工程学报,2008,28(34):118-123.
FAN Gaofeng,WANG Weisheng,LIU Chun,et al.Wind power prediction based on artificial neural network[J].Proceedings of the CSEE,2008,28(34):118-123.
[12] 韩昕锋,任立坤.基于神经网络的轴承故障预测模型[J].海军航空工程学院学报,2015,30(3):281-285.
HAN Xinfeng,REN Likun.Prognostics model of bearing fault based on neural networks[J].Journal of Naval Aeronautical and Astronautical University,2015,30(3):281-285.
[13] 武斌,李璐,宋建成,等.基于相似性的机械设备剩余使用寿命预测方法[J].工矿自动化,2016,42(6):52-56.
WU Bin,LI Lu,SONG Jiancheng,et al. Approach for remaining useful life prediction for mechanical equipment based on similarity[J].Industry and Mine Automation,2016,42(6):52-56.
[14] 徐继亚,王艳,严大虎,等.融合KPCA与信息粒化的滚动轴承性能退化SVM预测[J].系统仿真学报,2018,30(6):2345-2354.
XU Jiya,WANG Yan,YAN Dahu,et al.SVM prediction of performance degradation of rolling bearings with fusion of KPCA and information granulation[J].Journal of System Simulation,2018,30(6):2345-2354.
[15] 郝英.基于智能技术的民航发动机故障诊断和寿命预测研究[D].南京:南京航空航天大学,2006.
[16] 冯广斌,吴震宇,袁惠群.基于混沌理论与SVM的内燃机振动信号趋势预测[J].振动.测试与诊断,2011,31(1):64-69.
FENG Guangbin,WU Zhenyu,YUAN Huiqun.Trend prediction of engine vibration signals using chaotic theory and support vector machine[J].Journal of Vibration, Measurement & Diagnosis,2011,31(1):64-69.
[17] 别锋锋,刘扬,周国强,等.基于局域波法和SVM模型的往复机械故障预测方法研究[J].中国机械工程,2011,22(6):687-691.
BIE Fengfeng,LIU Yang,ZHOU Guoqiang, et al.Research on fault prediction approach for reciprocating machinery based on local wave method and SVM prediction model[J].China Mechanical Engineering,2011,22(6):687-691.
MA Hailong
(Beijing Tiandi Longyue Science and Technology Co.,Ltd., Beijing 100013, China)
Abstract:In order to solve the problem that using single feature quantity for bearing residual life prediction had large error and it was difficult to estimate bearing residual life under the condition of limited data samples, a bearing residual life prediction method based on principal component feature fusion and support vector machine(SVM) was proposed. This method collects data samples of vibration acceleration signals and extracts the characteristic indexes such as RMS, peak value and wavelet entropy to characterize the degradation trend of bearings. The principal component analysis is used to fuse multiple feature indexs to eliminate the redundancy and correlation between features, and construct regressive feature quantities with relative multi-feature; the regressive feature quantities are input into SVM model for bearing residual life prediction. The field engineering application results show that the bearing residual life prediction method based on principal component feature fusion and SVM can screen out the principal components which contain most of the information under small sample condition, thus reducing the calculation amount while ensuring the prediction accuracy.
Key words:bearing residual life prediction; principal component feature fusion; support vector machine; principal component analysis; regressive feature
收稿日期:2019-01-23;
修回日期:2019-07-15;
责任编辑:胡娴。
基金项目:中国煤炭科工集团有限公司科技创新创业资金专项资助项目(2018QN035);天地科技股份有限公司科技创新创业资金专项资助项目(2018-TD-QN045)。
作者简介:马海龙(1981-),男,辽宁鞍山人,工程师,硕士,研究方向为故障诊断与人工智能、大数据分析,E-mail:mhl-dragon@163.com。
引用格式:马海龙.基于主元特征融合和SVM的轴承剩余寿命预测[J].工矿自动化,2019,45(8):74-78.
MA Hailong. Bearing residual life prediction based on principal component feature fusion and SVM[J].Industry and Mine Automation,2019,45(8):74-78.
文章编号:1671-251X(2019)08-0074-05
DOI:10.13272/j.issn.1671-251x.2019010085
中图分类号:TD67
文献标志码:A