田浩1,2, 赵小虎1,2, 张凯1,2, 王宽1,2, 李祎宸1,2
(1.矿山物联网应用技术国家地方联合工程实验室, 江苏 徐州 221008;2.中国矿业大学 信息与控制工程学院, 江苏 徐州 221008)
摘要:针对煤矿井下现有数据传输系统存在数据传输距离有限、节点部署不便、传感器地址有限、数据传输不及时等问题,设计了一种基于6LowPAN的煤矿井下数据传输系统。该系统采用以太网与6LowPAN协议组合,在数据采集节点预留SPI、RS485等接口实现传感器数据的采集。数据采集节点为无线网络节点,可通过路由系统选取合适的路由路径将传感器数据发送至数据汇聚节点;汇聚节点与边界路由构建有线连接,将数据经以太网上传至地面服务器,从而实现数据的稳定可靠传输。测试结果表明,该系统无论在传输时延、丢包率,还是吞吐量方面都明显优于传统的数据传输系统,可高效、可靠传输煤矿井下数据,具有良好的实时性、较高的通信速率和稳定性。
关键词:煤矿安全监测; 井下数据传输; 传感器; 多数据汇聚节点; 6LowPAN
目前,煤矿井下主要采用工业以太网+CAN,RS485等通信协议作为数据传输系统的通信方式,主要存在以下问题[1-3]:
(1) 系统传输距离有限。目前,大多数煤矿井下数据传输采用有线通信方式,存在移动性差、精度受数据采集区域影响等问题,其原因是网络的泛在化程度低,不能实现井下网络全方位化。
(2) 系统部署不便。现阶段煤矿井下数据采集系统中数据汇聚节点与传感器是有线相连,且最大传输距离为2 km,随着采煤和掘进工作的开展,传感器需回收与重新部署,相应工作量也随之增加[4]。
(3) 传感器地址有限。目前井下数据传输传感器大多数采用CAN,RS485等通信方式,在同一总线上,CAN最多支持100个节点,RS485最多支持32个节点,均不能满足在井下大规模部署传感器节点的需要。
(4) 地面服务器数据传输量大。目前,数据传输系统的地面服务器集中处理井下上传数据信息,当上传数据量过大时,服务器易出现拥塞,整个传输系统存在崩溃的危险。通过分布式数据传输方式可有效解决该问题[5]。
(5) 数据传输慢。井下多种传感器数据需利用多种通信协议经过网关传至地面服务器实现数据采集,传输速率慢。因存在协议转换,导致多种协议数据不兼容、数据利用率低等问题[6]。
采用有线网络和无线网络组合可有效解决上述问题,且在反应速度、可靠性和节点数量上有质的飞跃。为此,笔者设计了一种基于6LowPAN的煤矿井下数据传输系统。该系统采用以太网与6LowPAN协议组合,在数据采集节点预留SPI、RS485等接口实现传感器数据的采集,数据采集节点为无线网络节点。6LowPAN协议支持IPv6协议和IEEE 802.15.4,即支持海量节点地址和网络无线化。通过有线网络与无线网络的组合,既可保证系统数据传输稳定,还可实现系统易布置和低成本。
基于6LowPAN的煤矿井下数据传输系统包括数据采集系统、具有协调器功能的数据汇聚节点、边界路由及地面服务器4个部分,总体架构如图1所示。该系统具有以下特点:
(1) 可覆盖性强。系统采用无线节点,易于布置在井下环境恶劣的地区,使井下传感器网络不存在盲区,实现网络的全面覆盖,从而实现传感器数据的全局采集,避免安全隐患。
(2) 接入方式灵活。6LowPAN网络节点具有自动加入网络的功能,带有6LowPAN功能的传感器节点也可自动加入井下6LowPAN网络,且传感器网络还可实现自动配置功能。
(3) 数据汇聚方式变化。井下多种传感器或继电器均作为数据传输系统中的一个节点,作为信息集中处理的核心部分。由于井下6LowPAN网络的连通性,系统采用多汇聚节点,多个数据汇聚节点均可向数据采集节点发送信号,提高了井下数据传输的可靠性。系统中的传感器、执行器、控制器均朝无线化方向发展,并将逐步替代井下网关的功能。
(4) 传输功能多。除完成数据传输的基本功能外,该系统还具有以下功能:发现和管理网络中的节点,向控制器下载程序,灾变后网络重组等,从而进一步提高了安全监控的防灾能力。

图1 基于6LowPAN的煤矿井下数据传输系统整体架构
Fig.1 Overall structure of data transmission system in coal mine underground based on 6LowPAN
在该数据传输系统中,数据采集系统选用搭载可实现6LowPAN协议的Contiki系统的CC2650超低功耗控制芯片作为系统控制器。通过对多种传感器的电路分析,数据采集系统预留IO接口、SPI协议接口、I2C接口等接口,实现与温湿度传感器、甲烷传感器、继电器等数据采集器或执行器的交互。此外,数据采集系统节点和执行器节点还利用6LowPAN协议将传感器数据上传至数据汇聚节点。
数据汇聚节点不仅具有数据汇聚功能,还可实现6LowPAN协议转IPv4协议,利用有线传输将传感器数据经边界路由系统上传至地面服务器。数据汇聚节点同样搭载可实现6LowPAN协议的Contiki系统的CC2650为主控芯片,同时利用SPI协议与ENC28J60网口模块进行通信,以保证电路系统中信号的抗干扰能力。
路由系统保证系统无故障长时间运行,同时路由系统还可将传感器数据上传至地面服务器及使用动态主机设置协议(Dynamic Host Configuration Protocol,DHCP)修复6LowPAN系统异常故障功能。边界路由系统采用搭载OpenWRT系统的MT7620芯片作为主控器,配合Flash电路、网络隔离接口等组成路由最小系统[7]。
基于6LowPAN的煤矿井下数据传输系统的软件架构如图2所示。其中数据传输可分为数据采集节点向数据汇聚节点发送数据和数据汇聚节点向边界路由系统传输数据2个部分。数据采集系统提供保存数据和向汇聚节点发送数据功能,系统通过设定SEND_INTERVAL值确定传感器数据发送时间间隔,本系统设定时间间隔为0.5 s。数据汇聚节点通过无线网络与数据采集节点实现数据交互,保存各采集节点发送的传感器数据。数据汇聚节点还利用ENC28J60网口与边界路由进行交互,通过以太网经边界路由向地面服务器传输数据,保证数据的可靠性。

图2 基于6LowPAN的煤矿井下数据传输系统软件架构
Fig.2 Software architecture of data transmission systm in coal mine underground based on 6LowPAN
数据传输网络中保证数据有效及稳定传输的关键之一是数据传输链路的搭建,因此,如何在煤矿井下构建6LowPAN数据传输系统的数据路由链路及传输链路是该系统实现的关键。
边界路由采用OpenWRT系统设计,该系统是一款基于Linux内核的高度模块化和自动化的路由系统,拥有极强的网络组建性和可扩展性[8]。将OpenWRT系统移植到MT7620上,可利用UDP协议向数据汇聚节点分配IP地址。当网络出现异常时,路由系统会通过DHCP协议再次接入网络,从而保证6LowPAN系统可永久接入井下环网,继而保证整个传输系统的稳定性和可靠性。OpenWRT移植过程如图3所示。

图3 OpenWRT统移植过程
Fig.3 Transplantation process of OpenWRT system
在该数据传输系统中整个支路的流量负载由数据汇聚节点负责,数据传输的关键在于数据链路的稳定。在传输数据时,使用传统的无线链路会面临数据拥塞和丢包等问题,导致网络性能降低。为减轻数据汇聚节点的流量负荷,通过有线链路建立与边界路由的IP连接。结合井下传感器数据采集特性,数据采集节点与数据汇聚节点交互使用UDP协议,减轻链路负荷,保证系统实时性,数据汇聚节点将传感器数据封装进UDP数据报中。
建立隧道需通过UDP-Socket建立链接,UDP-Socket由3个部分构成,即系统初始化、Socket发送和Socket接收。在Socket初始化完成之后,服务器和客户端利用SimpleUdpRegister函数进行地址绑定和端口绑定,同时确定传输协议。当UDP完成初始化后,便依照指令需求执行Socket函数的发送、接收等操作。在整个过程中,数据汇聚节点根据UDP-Socket判断收到的数据包是否属于本支路。若该数据包属于本支路,则利用Socket执行接收函数操作;若该数据包不属于本支路,则节点将辨别该数据包目的IP地址的所属系统,以执行定向发送操作[9]。
由于井下复杂的环境状况,该传输系统中使用低功耗有损网络路由协议(Rouring Protocol for LLN,RPL)组建井下6LowPAN网络和构建数据传输链路,6LowPAN节点之间通过交换距离矢量生成一个具有目标导向的有向无环图(Destination Oriented Direct Acyclic Graph,DODAG),并最终被划分为一个或多个面向目的地的DODAG,防止路由环路的生成。在井下骨干网中,数据汇聚节点的可靠传输链路可作为相同DODAG数据汇聚节点的逻辑等价接口。在整个系统中,各数据汇聚节点会根据DODAG类树形拓扑情况组成互不相同的网络分支,各网络分支负责转发各自范围内的传感器数据。网络的数据交换则在最后由数据汇聚节点和边界路由共同完成[10-11]。
在本设计中,路由采用存储模式[12],即在父节点中存储网络传输信息,用以选择传输路径。在RPL路由中,根据数据采集节点与数据汇聚节点之间的Rank差值判断下一跳为上行路由还是下行路由。但在井下无线传感网络中,根据这一标准进行判断并不一定准确。为保证数据的准确路由,本设计在RPL路由拓展首部的路由方式标志中增加一个标志路由上行或路由下行的标志位。在目的地通告对象(Destination Advertisement Object,DAO)消息的报文中增加数据汇聚节点消息选项,并添加至DAO消息的报文内,使其能够加载IP地址。该选项为整个网络中的多数据汇聚节点实现提供条件。
在井下骨干网中,各分支内路由依据实际网络拓扑及RPL信息建立路由链路,数据汇聚节点之间的路由结合网络拓扑和路径选择算法实现。在网络通信中,自顶向下路由链路依据从地面服务器到边界路由、再到6LowPAN数据汇聚节点的方式寻找目的地址,完成数据传输;自底向上的路由链路依据上行数据汇聚节点确定上行边界路由。
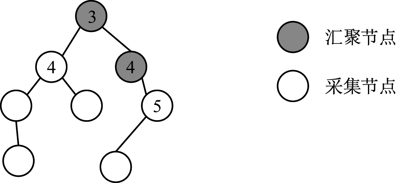
当系统子节点为数据汇聚节点时,路由选择算法如图4(路由选择算法1)所示。自底向上的上行路由选择算法在数据采集节点1,2,3中实现,路由算法根据数据采集节点到数据汇聚节点之间的相对距离进行差值判断。由图4可知,6LowPAN数据采集节点与数据汇聚节点之间Rank差值按树形拓扑结构依次递减,因此路径选择转换为Rank差值的比较。父节点会选取Rank差值较小的数据汇聚节点作为数据传输下一跳选择。在图4中,数据采集节点1与数据汇聚节点1的Rank差值为1,与数据汇聚节点2的Rank差值为2,因此,数据采集节点1选取数据汇聚节点1作为上行路由链路中的下一跳。下行路径判断为根据目的地址判断其所属6LowPAN分组,完成数据传输[13]。

图4 路由选择算法1
Fig.4 Routing algorithm 1
当一级子节点为数据采集节点时,路由选择算法如图5(路由选择算法2)所示。上行路由路径选择只需根据网络中路由协议存储的RPL信息即可确定传输路径。即数据采集节点4的上下行路由为数据汇聚节点3,数据采集节点5的上下行路由为数据汇聚节点4。

图5 路由选择算法2
Fig.5 Routing algorithm 2
以太网IP协议(左)与6LowPAN的uIP协议(右)的分层结构如图6所示,两者在IPv6网络层进行数据交换。因IEEE 802.15.4标准仅针对MAC层和物理层进行标准制定,未对逻辑上层进行标准化,所以,IEEE 802.15.4无法为IPv6提供接口服务。为实现IPv6与IEEE 802.15.4标准之间的融合,6LowPAN在两者之间提供了一个适配层对链路接口进行封装,继而为IPv6提供标准接口。适配层提供分片重组、报头压缩、网络路由等功能,使得6LowPAN能够进行基于IPv6的通信[14]。

图6 以太网IP协议与6LowPAN协议分层结构
Fig.6 Hierarchical structure of Ethernet IP protocol and 6LowPAN protocol
uIP为实现6LowPAN协议的一种开源协议栈,该协议栈利用一个独立的全局Buffer处理数据包,实现网络通信所必要的协调机制,并提供基础的UDP服务且用一个独立大小的表表示其连接状态。在uIP中使用时间驱动接口,当有事件发生时,通过EVENT_CALL()调用相应的应用程序[15]。
在边界路由向数据汇聚节点传输数据时,以太网数据传输至6LowPAN的过程如下:首先,数据报从地面服务器至边界路由物理接口,向上进入边界路由MAC层后实现与网络层的数据对接;其次,数据报在网络层实现横向对接,从边界路由侧转至6LowPAN侧;再次,经适配层的头部压缩与数据分组,数据向下进入IEEE802.15.4 MAC层;最后,经过IEEE802.15.4物理层,在Radio层驱动下,将数据发送至6LowPAN网络内部。数据传输过程如图7所示。

图7 以太网到6LowPAN网络的数据传输过程
Fig.7 Data transmission process of Ethernet to 6LowPAN network
基于6LowPAN的煤矿井下数据传输系统是采用多汇聚节点的,为了验证其可靠性,本试验搭建了一个单汇聚节点的系统来进行对比,在具有相同网络拓扑的条件下,分析测试多汇聚节点对解决数据传输系统网络拥塞问题的影响。
网络拥塞的表现为系统传输时延、丢包率和吞吐量,因此,如何实现传输系统的低传输时延、低丢包率和高吞吐量是数据传输系统研究的关键。
网络测试拓扑结构如图8所示。测试平台通过边界路由构建局域网模拟整个数据传输系统,PC代表地面服务器,汇聚节点向PC发送固定长度数据报代替传感器数据报。在相同的网络传输拓扑结构下完成单数据汇聚节点和多数据汇聚节点在传输时延、丢包率和吞吐量三方面的性能测试对比,分析在井下构建多数据汇聚节点的必要性。

图8 网络测试拓扑结构
Fig.8 Structure of network test topology
传输时延是衡量传输系统实时性的指标。在具有多数据汇聚节点与单数据汇聚节点的系统中,保持链路拓扑结构不变,利用控制报文协议(Internet Control Message Protocol,ICMP)完成在不同数据报长度下的网络连接性能测试,并记录单数据汇聚节点和多数据汇聚节点的性能数据。
本文分别利用32 byte和128 byte的数据报进行测试。单数据汇聚节点和多数据汇聚节点系统传输时延对比如图9所示。从图9可看出,在相同数据报长度下,随着数据采集节点与数据汇聚节点的Rank差值越大,单数据汇聚节点和多数据汇聚节点系统的传输时延均有所增加,但单数据汇聚节点的传输时延明显高于多数据汇聚节点系统。其原因在于:Rank差值越大,单数据汇聚节点系统在适配层进行数据报的分片、重组等操作也越多,则相互响应时间也越长。在不同的网络架构中,相比于单数据汇聚节点,多数据汇聚节点可充分利用有限隧道优化数据传输链路,实现多路径数据传输,从而有效减小网络中的传输时延。
丢包率是衡量数据传输系统可靠性的指标。在具有相同拓扑结构与节点的网络链路中,对比具有多数据汇聚节点与单数据汇聚节点系统的ICMP数据报的丢包率,结果如图10所示。从图10可看出,随着数据汇聚节点与数据采集节点之间Rank差值的增加,单数据汇聚节点和多数据汇聚节点系统丢包率均有所增加,但单数据汇聚节点系统的丢包率明显高于多数据汇聚节点系统的丢包率。其原因在于:随着数据汇聚节点与数据采集节点之间的Rank差值增加,链路鲁棒性降低,丢包率随之增加;Rank差值在2以内时,单数据汇聚节点与多数据汇聚节点的丢包率相差不大,但当Rank差值大于2时,多数据汇聚节点链路稳定性要优于单数据汇聚节点链路。

图9 单数据汇聚节点和多数据汇聚节点系统传输时延对比
Fig.9 Comparison of transmission delay of system of single-sink node and multiple-sink nodes

图10 单数据汇聚节点和多数据汇聚节点丢包率对比
Fig.10 Comparison of packet loss rate of single-sink node and multiple-sink nodes
作为衡量传输系统性能的重要指标之一,吞吐量表现为网络传输速率。在保证网络拓扑结构不变的前提下,分别记录了单数据汇聚节点与多数据汇聚节点的数据传输速率。本文分别使用32 byte和128 byte的数据报进行测试,单数据汇聚节点和多数据汇聚节点的数据传输速率对比如图11所示。从图11可看出,随着Rank差值的增加,单数据汇聚节点和多数据汇聚节点的传输速率均有所下降,但单数据汇聚节点的传输速率明显低于多数据汇聚节点。随着Rank差值的增加,多数据汇聚节点存在分流情况,在路由协议协调作用下,多数据汇聚节点能够在一定状况下提高网络的吞吐量。

图11 单数据汇聚节点和多数据汇聚节点的 数据传输速率对比
Fig.11 Comparison of data transmission rate of single-sink node and multiple-sink nodes
(1) 设计了一种基于6LowPAN的煤矿井下数据传输系统,该系统采用以太网与6LowPAN协议的组合,有效解决了传感器节点部署不便、传输距离近、节点地址有限等问题。通过构建稳定的路由链路,保证了数据传输的稳定性。
(2) 测试结果表明,基于6LowPAN的煤矿井下数据传输系统无论在数据传输时延、丢包率,还是吞吐量方面都明显优于传统单汇聚节点的数据传输系统,保证了煤矿井下传感器数据的长期稳定传输。
参考文献 :
[1] 杜刚.煤矿监测监控系统存在的问题及改造研究[J].能源与节能,2018(1):166-167.
DU Gang.Research on the problems and renovation of the monitoring and supervision system in coal mine[J].Energy and Energy Conservation,2018(1):166-167.
[2] 李明建.基于异构数据集成的煤与瓦斯突出监控预警系统[J].工矿自动化,2018,44(1):11-16.
LI Mingjian.Monitoring and early warning system of coal and gas outburst based on heterogeneous data integration[J].Industry and Mine Automation,2018,44(1):11-16.
[3] 丁恩杰,金雷,陈迪.互联网+感知矿山安全监控系统研究[J].煤炭科学技术,2017,45(1):129-134.
DING Enjie,JIN Lei,CHEN Di.Study on safety monitoring and control system of Internet + perception mine[J].Coal Science and Technology,2017,45(1):129-134.
[4] 刘少飞,王国富,张法全.基于6LoWPAN的煤层瓦斯压力监测系统设计[J].工矿自动化,2018,44(7):99-103.
LIU Shaofei,WANG Guofu,ZHANG Faquan.Design of coal seam gas pressure monitoring system based on 6LoWPAN[J].Industry and Mine Automation,2018,44(7):99-103.
[5] 张安然.基于6LoWPAN的煤矿安全监控系统研究[J].工矿自动化,2013,39(8):111-114.
ZHANG Anran.Research on coal mine safety monitoring system based on 6LoWPAN[J].Industry and Mine Automation,2013,39(8):111-114.
[6] 李爱民,张峰.基于6LoWPAN的井下数据采集器设计[J].工矿自动化,2014,40(11):113-115.
LI Aimin, ZHANG Feng.Design of underground data collector based on 6LoWPAN in coal mine[J].Industry and Mine Automation,2014, 40(11): 113-115.
[7] 赵小虎,王宽,沈雪茹,等.面向煤矿井下的多协议融合网关设计[J].工矿自动化,2019,45(1):6-12.
ZHAO Xiaohu,WANG Kuan,SHEN Xueru,et al.Design of multi-protocol fusion gateway for coal mine underground [J].Industry and Mine Automation,2019,45(1):6-12.
[8] 陈玮思.基于MT7620A平台无线网关的设计与应用[D].广州:华南理工大学,2014.
[9] 陈开锋.6LoWPAN网络能量均衡与NAT64边缘路由研究[D].上海:上海海洋大学,2017.
[10] GALKIN P.Interaction model design of ZigBee-gateway between wireless sensor network and industrial network[C]//4th International Scientific-Practical Conference Problems of Infocommunications,Science and Technology (PIC S&T),2017:501-504.
[11] 屈启吉,郑霖.基于6LoWPAN的嵌入式多网关系统设计与实现[J].计算机应用,2018,38(9):2593-2597.
QU Qiji,ZHENG Lin.Design and implementation of embedded multi-gateway system based on 6LoWPAN[J].Journal of Computer Applications,2018,38(9):2593-2597.
[12] 冷其澎,桑国明.基于6Lowpan的rpl路由协议的研究与优化[J].计算机与数字工程,2018,46(12):2454-2457.
LENG Qipeng,SANG Guoming.Research and optimization of rpl routing protocol based on 6Lowpan[J].Computer and Digital Engineering,2018,46(12):2454-2457.
[13] AWWAD S A B,NOORDIN N K,ALI B M,et al.6LoWPAN route-over with end-to-end fragmentation and reassembly using cross-layer adaptive back off exponent[J].Wireless Personal Communications,2018,98(1):1029-1053.
[14] WANG X,LE D,CHENG H.Hierarchical addressing scheme for 6LoWPAN WSN[J].Wireless Networks,2018,24(4):1119-1137.
[15] 邬明彪,吴桂清,陈清华.基于多个开源系统的6LoWPAN边界路由器的设计[J].电子技术应用,2018,44(7):70-73.
WU Mingbiao,WU Guiqing,CHEN Qinghua.Design of 6LoWPAN border router based on multiple open source system[J].Application of Electronic Technique,2018,44(7):70-73.
TIAN Hao1,2, ZHAO Xiaohu1,2, ZHANG Kai1,2, WANG Kuan1,2, LI Yichen1,2
(1.The National and Local Joint Engineering Laboratory of Internet Application Technology on Mine, Xuzhou 221008, China; 2.School of Information and Control Engineering, China University of Mining and Technology, Xuzhou 221008, China)
Abstract:In view of the problems of the existing data transmission system in coal mine underground, such as limited data transmission distance, inconvenient node deployment, limited sensor address and delayed data transmission, a data transmission system in coal mine underground based on 6LowPAN was designed. The system adopts combination with Ethernet and 6LowPAN protocol, and SPI, RS485 and other interfaces are reserved in data acquisition nodes to realize sensor data acquisition. Data acquisition nodes are wireless network nodes and can effectively select appropriate routing paths through the routing system to send sensor data to the data sink nodes. Wired connections can be built between the sink nodes and the boundary routes, and data can be uploaded to the ground server via Ethernet to achieve stable and reliable data transmission. The test results show that the system is obviously superior to the traditional data transmission system in terms of transmission delay, packet loss rate and throughput, and can efficiently and reliably transmit underground data of coal mine with good real-time performance, high communication rate and stability.
Key words:coal mine safety monitoring; underground data transmission; sensor; multi-sink nodes; 6LowPAN
收稿日期:2019-04-01;
修回日期:2019-07-06;
责任编辑:张强。
基金项目:国家重点研发计划资助项目(2017YFC0804404,2016YFC0801405)。
作者简介:田浩(1992-),男,河北保定人,硕士研究生,主要研究方向为矿山物联网、矿山网络技术,E-mail:haozideyouxiang@163.com。
引用格式:田浩,赵小虎,张凯,等.基于6LowPAN的煤矿井下数据传输系统设计[J].工矿自动化,2019,45(8):6-12.
TIAN Hao,ZHAO Xiaohu,ZHANG Kai,et al.Design of data transmission system in coal mine underground based on 6LowPAN[J].Industry and Mine Automation,2019,45(8):6-12.
文章编号:1671-251X(2019)08-0006-07
DOI:10.13272/j.issn.1671-251x.2019040003
中图分类号:TD67
文献标志码:A