欧阳名三,吴国芳
(安徽理工大学 电气与信息工程学院, 安徽 淮南 232001)
摘要:针对现有用于矿井局部通风机风速调节的自抗扰控制算法存在控制信号波动剧烈,进而造成变频器和电动机产生冲击振荡的问题,提出了一种改进型自抗扰控制算法。该算法采用反正切函数与幂函数相结合的改进方法,反正切函数用于增强控制算法的线性程度,保证函数在原点处有更好的平滑性,幂函数用于保证控制算法的跟踪速度,加快控制算法的收敛速度。将改进型自抗扰控制算法应用到煤矿井下局部通风机风速调节中,经过该算法处理过的电压信号作为局部通风机变频器的输入信号,输出频率信号改变异步电动机的转速,最终实现局部通风机风速的动态调节。仿真结果表明,与现有PID控制算法、自抗扰控制算法相比,改进型自抗扰控制算法在控制速度和抗干扰能力方面有明显提高,可实现局部通风机风速的快速稳定调节。
关键词:矿用局部通风机; 风速调节; 改进型自抗扰控制; 非线性函数; 振荡抑制
煤矿井下局部通风机是保证井下工作安全的主要通风设备之一,它能够稀释和排放瓦斯等有毒气体,避免由于有毒气体浓度过高而危害井下工作人员的安全[1-2]。考虑安全性和经济性要求,传统的以恒定风速运转的局部通风机已经不能满足煤矿安全生产的要求,实现局部通风机风速自动调节已是必然趋势。文献[3]设计了基于模糊控制的煤矿通风机自动控制系统,但是系统的动态性能较差,控制精度较低。文献[4]在PID控制的基础上使用了神经网络控制算法,响应速度快、系统无超调,但是算法复杂,需要大量数据进行训练。文献[5]设计了一种智能控制系统,解决了通风机转速不能自动调节的问题,但是没有考虑外部干扰的影响,在实际应用中存在较大误差。随着技术的发展,自抗扰控制[6](Active Disturbance Rejection Control,ADRC)算法因具有算法简单、收敛速度快、超调小、抗干扰性能强等特点而被广泛应用。文献[7-12]将自抗扰控制应用到电动机、水轮机、飞行器等各个工业现场,并且都取得了很好的控制效果。但是在应用过程中也发现,ADRC算法在某些方面也存在不足,文献[13]使用线性自抗扰技术控制矿井的风量排送系统,虽减弱了电动机的磁链耦合,但是观察系统滞后性控制时,系统输出仍然存在超调。文献[14]使用异步自抗扰平衡控制方法保持煤矿综掘巷道液压支护平台的平衡,但是在实现快速平衡后,无法保证进入稳定状态时曲线的平滑性,这就可能造成在实际应用中输出信号的不自然过渡对设备造成的冲击损坏。文献[15]将自抗扰技术应用于变风量空调房的温度控制系统中,能快速根据室内温度调整风量,但是输出温度信号在运行初期存在一个大幅度的降落,之后以高频率抖动的状态保持稳定,说明控制器输出信号不稳定,因此,算法有一定的提升空间。
针对以上自抗扰控制算法存在的不足,本文提出了一种改进型ADRC算法,该算法使用了反正切函数与幂函数相结合的改进方法,反正切函数增强了控制算法的线性程度,幂函数保证了控制算法的跟踪速度。将改进后的ADRC算法应用到矿井局部通风机风速调节系统中,实现了局部通风机风速的快速稳定调节。
自抗扰控制器由3个部分组成,分别为非线性跟踪微分器(Tracking Differentiator,TD)、扩张状态观测器(Extended State Observer,ESO)和非线性误差反馈控制律(Nonlinear State Error Feedback,NLSEF),它结合了经典控制理论和现代控制理论,延续了经典PID控制用误差消除误差的控制理念,省去了积分环节,增加了状态观测器以实现对系统内部模型摄动和外部扰动的实时估计,并采用非线性误差反馈策略保留了PID控制的优点,克服了其控制精度低、存在超调的缺陷。在不依赖对象精确数学模型的情况下,采用“观测+补偿”的方法处理控制系统中的非线性与不确定性,通过估计系统内的全部不确定因素及系统的状态变量,对系统进行估计量状态反馈与扰动补偿。
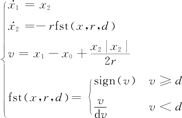
1.1.1 非线性跟踪微分器TD
令设定的输入值为x,则TD的表达式为[6]

(1)
式中:x1为输出的跟踪信号;x2为输出的微分信号;fst(x,r,d)为控制TD过渡速度的函数,r为系统参数,r越大,过渡时间越短,但是取值过大会造成系统振荡,d与系统的采样步长有关;v为中间变量;x0为系统设定值。
1.1.2 扩张状态观测器ESO
ESO的输入是系统输出y和控制量u,输出为状态量z1,z2,z3,其中z1,z2是被控对象状态变量的估计值,z3是被控对象受到的内部扰动和外部扰动的总估计值,算法方程为

(2)
式中:e为观测误差;β01,β02,β03为状态观测器的3个增益;fal(e,a,ε)为非线性函数,a为非线性因子,一般取a1=0.5,a2=0.25,ε为函数线性区间的宽度;b0为控制量u的补偿因子。

(3)
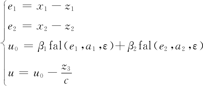
1.1.3 非线性状态误差反馈控制律NLSEF
NLSEF输入2个误差量e1,e2,算法方程为

(4)
式中:u0为产生控制信号u的中间参数,实现了误差到控制信号的转变;β1,β2的作用相当于比例增益和微分增益;c为反馈参数。
由ADRC控制原理可知,非线性函数是ADRC算法的关键,在ESO和NLSEF中都发挥了重要的作用,与算法的跟踪速度和输出误差的大小有关。但由非线性函数(式(3))可知,函数在断点处连续但是不可导的,并且由于ε取值比较小,接近原点,这就会导致函数在原点附近产生强烈的波动,应用到通风机控制系统中就会导致系统在启动时产生振荡,影响算法的控制效果,所以,需要设计一个新的非线性函数,使得该函数在原点附近曲线平滑、连续可导,避免高频振荡风险[16]。
对非线性函数进行改进,使函数曲线更加平滑。改进后的函数命名为arcfal(),在变量|e|<ε范围内,函数arcfal(e,a,ε)仍然记为|e|asign(e)。在|e|<ε范围内,改进函数为e的幂函数和反正切函数形式的叠加,反正切函数使非线性函数在原点处有更好的平滑性,幂函数加快了非线性函数的收敛速度,即在|e|<ε时,有式(5)成立。
arcfal(e,a,ε)=k1e+k2e2+k3arctan(e)
(5)
式中k1,k2,k3为各项增益。
改进的非线性函数可表示为
(6)
为了使非线性函数在断点处连续可导,则式(6)应该满足以下方程:

(7)
由式(7)解方程组可得增益k1,k2,k3的值为

(8)
将式(8)所得解代入式(6),得到完整的改进后的非线性函数为
arcfal(e,a,ε)=

(9)
测试改进后的函数(式(9))的效果,取参数a=0.25,ε=0.1,改进后的函数与原函数对比如图1所示。由图1可看出,与原函数相比,改进后的函数曲线在区间[-0.15,-0.05]和[0.05,0.15]处光滑性明显好于原函数,没有明显的转折点,线性程度明显提高。

图1 fal函数和arcfal函数对比
Fig.1 Comparison of fal functions and arcfal functions
将局部通风机风速作为被控对象,由自抗扰控制器调整得到输出电压信号,作为通风机内变频器的输入信号,从而由变频器来调整异步电动机的转速,最终实现局部通风机风速的动态调节。
基于改进型ADRC算法的局部通风机风速调节系统结构如图2所示。
输入设定风速值后,TD安排合理的过渡,均衡响应速度与系统超调;ESO用来估计局部通风机的状态,对通风机受到的扰动进行估计和补偿,包括内部扰动和外部扰动;NLSEF用于实现误差反馈,将通过非线性函数处理的差值信号作为风速调节系统的控制信号。

图2 基于改进型ADRC算法的局部通风机
风速调节系统结构
Fig.2 Structure of air speed regulation system of local ventilator based on improved ADRC algorithm
当局部通风机输出风速y小于设定的风速值时,ESO的观测误差e为正值,状态观测量z1,z2减小,z3增大,在系统输入设定风速x不变的情况下,其跟踪信号和微分信号也保持不变,导致NLSEF的输入误差量e1,e2和中间变量u0增大,使得控制器输出的电压信号u变大,通过变频器和异步电动机实现系统输出风速不断增加[17]。随着输出风速y的不断增大,观测误差e逐渐减小,那么非线性fal(e,a,ε)函数值在正数区间内不断减小,因此控制量u增大的速度变缓,局部通风机风速的调节速度也变缓。同理,当局部通风机输出风速y大于设定值时,ESO的观测误差e为负值,状态观测量z1,z2增大,z3减小,导致NLSEF输入误差量e1,e2变小,使得控制器输出的电压信号u变小。随着输出风速y的不断减小,观测误差e逐渐增大,那么非线性fal(e,a,ε)函数绝对值在负数区间内不断增大,因此控制量u下降速度变快,使得局部通风机风速调节速度也变快。经过上述过程,最终实现局部通风机风速的动态调节。
为了验证改进型ADRC算法在通风机风速调节中应用的可靠性,选用型号为FBDNO6.3的井下局部通风机进行建模,通风机参数见表1。
表1 FBDNO6.3井下局部通风机参数
Table 1 Parameters of FBDNO6.3 underground local ventilator

井下局部通风机是一个非线性、大时延系统,考虑到通风机的工作原理是通过交流频率与电压的变化进而引起内部电动机转速的变化,最终实现风速的调节,因此,可以使用变频器和异步电动机来近似等效局部通风机的结构[18]。
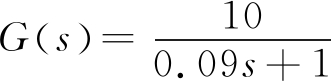
变频器部分:输入信号为交流电压U,输出信号为交流电的频率f,不考虑变频过程中系统滞后的情况,此时变频器的交流电压U与频率f之间的数学模型可以近似等效为一个一阶惯性环节,其传递函数为
(10)
式中:Kf为变频器的频率与外部设定电压的比值;Tf为变频器的延迟时间,取值一般为变频器加速时间的3/5。
在本型号的电动机中,取变频器外部设定电压为5 V,加速时间为0.15 s,则可得到变频部分的传递函数为
(11)
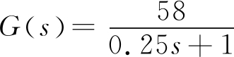
局部通风机中的异步电动机采用的是电压空间矢量控制的方法,因此,在电动机的输入信号为交流电的频率f、输出信号为转速n的情况下,可以近似得到电动机的数学模型为一个一阶惯性环节,其传递函数为
(12)
式中:Kn为电动机额定转速ne与交流电压工频f的比值,为一固定常数;Tn为电动机的系统常数,与电动机启动时间有关,一般取启动时间的1/4。
假设电动机的启动时间为1 s,代入表1所列的局部通风机电动机参数值,可以得到电动机的具体传递函数表达式为
(13)
以上部分完成了电动机的建模,要最终实现局部通风机风速的调节,还要完成转速与风速的转换。根据通风机的特性可知[19],转速与风速之间满足正比例关系,由表1可知,在通风机处于额定转速2 900 r/min时,对应的额定风速Qe为350 m3/min,则额定转速与额定风速的关系式为
(14)
根据以上方法建立了局部通风机数学模型,考虑到局部通风机风速的滞后特性,在Matlab/Simulink中建立局部通风机风速调节系统的仿真模型,如图3所示。本次仿真实验分别使用了传统PID控制、传统ADRC和改进型ADRC这3种算法,并将仿真结果进行比较,验证改进型ADRC算法的实际效果。

图3 局部通风机风速调节系统仿真模型
Fig.3 Simulation model of air speed regulation system of local ventilator
ADRC控制参数较多,参数调试较为复杂,为此,使用时间尺度的方法[20]整定控制器参数,并且通过仿真实验比较,最终改进后的ADRC控制器仿真参数取值见表2。
表2 改进后ADRC控制器仿真参数
Table 2 Simulation parameters of improved ADRC controller

使用3种控制算法得到的局部通风机风速调节系统输出信号如图4所示。由图4可看出,与PID控制算法相比,2种ADRC算法在局部通风机风速调节方面效果显著,系统进入稳定状态比PID控制算法明显快很多,PID控制算法超调严重,在25 s左右系统才趋于稳定,而2种ADRC算法在20 s以内使系统达到了稳定状态,并且改进型ADRC算法在12 s时就稳定在设定风速,不仅跟踪速度快,还解决了系统超调大和过渡时间过长的问题。

图4 局部通风机风速控制算法对比
Fig.4 Comparison of air speed control algorithms for local ventilator
阶跃输入下的控制信号如图5所示。从图5(a)可看出,传统ADRC算法在3.5~6 s之间控制信号出现严重的尖峰,该尖峰信号进入变频器后,会对变频器产生强烈的冲击,造成严重的损伤,而改进型ADRC算法输出信号只出现了一段较为圆滑的波动,控制信号也比改进前更快进入稳定状态。

(a) 控制信号

(b) 局部放大控制信号
图5 阶跃输入下的控制信号
Fig.5 Control signals under step input
对图5(a)中控制信号较为平缓的一段(0.5~2.7 s)做放大处理,如图5(b)所示,从图5(b)可看出,传统ADRC算法信号在该时间段内一直存在高频率振荡,并且这种振荡一直存在,直到控制信号进入稳定状态,这会造成变频器频率一直在快速变化,可能导致电动机抖动,不仅破坏系统稳定性,也会造成系统过渡时间过长,而利用改进型ADRC算法的控制信号并没有发生振荡现象。
为验证局部通风机风速调节系统的抗干扰性能,在30 s时加入幅值为5的风速阶跃干扰信号,3种控制算法的抗干扰性能对比如图6所示。

图6 3种控制算法的抗干扰性能对比
Fig.6 Comparison of anti-interference performance of three kinds of control algorithms
由图6可知,使用PID控制算法的系统在125 s恢复稳定,传统ADRC算法能使系统在105 s恢复稳定,而使用改进型ADRC算法的系统在70 s时风速就能重新达到初始设定值。由此可知,2种ADRC算法都有助于系统快速恢复稳定,改进型ADRC算法由于对信号的调节作用更强,调节速度更快,使得系统的抗干扰能力在3种方法中表现突出。
(1) 针对局部通风机在受到干扰风速信号时可能会造成变频器和异步电动机产生冲击损坏这一问题,在风速调节过程中使用自抗扰控制器,提出了改进型ADRC算法,设计了新型的非线性函数,该算法使用了反正切函数与幂函数相结合的改进方法,幂函数保证了控制算法的收敛速度,反正切函数使得控制算法有更好的平滑性和线性程度。
(2) 将改进型ADRC算法运用到局部通风机风速调节系统中,仿真实验结果表明,改进型ADRC算法抑制振荡的效果显著,控制信号波动明显减小,减轻了信号振荡对变频器和异步电动机的冲击。
(3) 观察系统风速输出波形,改进型ADRC算法的控制效果明显好于PID控制算法,解决了系统超调大和过渡时间过长的问题。与传统ADRC算法相比,改进型ADRC算法能更快地使通风机的风速达到期望状态,在控制速度和抗干扰性能方面得到了明显的改善,既实现了局部通风机风速的快速调节,又解决了振荡信号对局部通风机设备的冲击损坏问题。
参考文献( References):
[1] 李宗翔,王天明,王双勇,等.煤与瓦斯突出矿井通风系统灾害演变仿真研究[J].煤炭学报,2017,42(4):929-934.
LI Zongxiang,WANG Tianming,WANG Shuangyong,et al.Simulation study of ventilation system disaster evolution in coal and gas outburst mine[J].Journal of China Coal Society,2017,42(4):929-934.
[2] 魏连江,周福宝,梁伟,等.矿井通风网络特征参数关联性研究[J].煤炭学报,2016,41(7):1728-1734.
WEI Lianjiang,ZHOU Fubao,LIANG Wei,et al.Correlation of mine ventilation network characteristic parameters[J].Journal of China Coal Society,2016,41(7):1728-1734.
[3] 董素玲.基于模糊控制的煤矿主井通风机不停风倒机自动控制系统设计[J].工矿自动化,2015,41(9):39-43.
DONG Suling.Design of automatic switchover control system without blowing-out of mine main ventilation based on fuzzy control[J].Industry and Mine Automation,2015,41(9):39-43.
[4] 韩艳杰.基于ANFIS-PID控制的局部通风机风量自动调节系统仿真研究[D].衡阳:南华大学,2015:1-57.
[5] 侯秀杰.局部通风机智能控制系统研究[D].徐州:中国矿业大学,2016.
[6] 韩京清.自抗扰控制技术[M].北京:国防工业出版社,2008.
[7] 包广清,党超亮.永磁同步直线电动机自抗扰控制算法研究 [J].工矿自动化,2014,40(7):52-56.
BAO Guangqing,DANG Chaoliang.Research of control algorithm of active disturbance rejection for permanent magnet linear synchronous motor[J].Industry and Mine Automation,2014,40(7):52-56.
[8] 黄宇,王佳荣.水轮机调速系统的线性自抗扰优化控制[J].系统仿真学报,2016,28(12):3033-3040.
HUANG Yu,WANG Jiarong.Optimized linear active disturbance rejection controller design for hydraulic turbine governing systems[J].Journal of System Simulation,2016,28(12):3033-3040.
[9] 张文安,刘凯,俞立,等.基于自抗扰技术的网络化无刷直流电机控制系统时延补偿[J].控制与决策,2015,30(11):2085-2088.
ZHANG Wenan,LIU Kai,YU Li,et al.Delay compensation for networked brushless DC motor control systems based on active disturbance rejection technique[J].Control and Decision,2015,30(11):2085-2088.
[10] 吴瀚文.四旋翼飞行器抗风控制研究[D].大连:大连海事大学,2016:1-66.
[11] CHENG Q M,HUANG W,CHENG Y M,et al.Research on control system of DTC for motor based on novel ADRC controller and MC converter[J].Electric Machines & Control,2015,19(8):53-61.
[12] WANG Liang,MA Lixin,YANG Wei.Based on ADRC control of brushless DC motor commutation torque ripple inhibition[J].Journal of Mechanical & Electrical Engineering,2017,34(1):52-57.
[13] 金美花,刘树艳.基于线性自抗扰的煤矿局部通风机风量调节系统研究[J].煤炭技术,2018,37(12):272-274.
JIN Meihua,LIU Shuyan.Research on air volume regulation system of coal mine local ventilator based on linear auto disturbance rejection[J].Coal Technology,2018,37(12):272-274.
[14] 何勇,郭一楠,巩敦卫.液压支护平台的异步自抗扰平衡控制[J].控制理论与应用,2019,36(1):151-163.
HE Yong,GUO Yinan,GONG Dunwei.Asynchronous active disturbance rejection balance control of hydraulic support platform[J].Control Theory & Applications,2019,36(1):151-163.
[15] SHI Y,LI Z,CAI L.Temperature of air conditioning spaces based on active disturbance rejection control[J].Transactions of China Electrotechnical Society,2015(S1):439-444.
[16] 刘丙友,竺长安,郭兴众,等.基于改进型ADRC的永磁同步电机转子位置角控制方法[J].电机与控制学报,2017,21(12):24-33.
LIU Bingyou,ZHU Chang'an,GUO Xingzhong,et al.Control strategy for the rotor position angle of permanent magnet synchronous motor based on an improved ADRC[J].Electric Machines and Control,2017,21(12):24-33.
[17] 苗敬利,余香.感应电动机效率优化的自抗扰控制研究[J].工矿自动化,2014,40(9):79-83.
MIAO Jingli,YU Xiang.Research of ADRC for efficiency optimization of induction motors[J].Industry and Mine Automation,2014,40(9):79-83.
[18] 宋国庆,王书满,杨旭东.基于T-S模型的局部通风机风量模糊预测控制算法[J].南京理工大学学报,2017,41(5):591-595.
SONG Guoqing,WANG Shuman,YANG Xudong.Fuzzy predictive control algorithm of partial ventilator based on T-S model [J].Journal of Nanjing University of Science and Technology,2017,41(5):591-595.
[19] PARK J,JO Y,PARK G.Flow characteristics of fresh air discharged from a ventilation duct for mine ventilation[J].Journal of Mechanical Science and Technology,2018,32(3):1187-1194.
[20] 李述清,张胜修,刘毅男,等.根据系统时间尺度整定自抗扰控制器参数[J].控制理论与应用,2012,29(1):125-129.
LI Shuqing,ZHANG Shengxiu,LIU Yinan,et al.Parameter-tuning in active disturbance rejection controller using timescale[J].Control Theory & Application,2012,29(1):125-129.
OUYANG Mingsan, WU Guofang
(School of Electrical and Information Engineering, Anhui University of Science and Technology,Huainan 232001, China)
Abstract:In view of the problem of strong fluctuation of control signal in the existing active disturbance rejection control algorithm for air speed regulation of mine local ventilator, which causes shock and vibration of frequency converter and motor, an improved active disturbance rejection control algorithm was proposed. The algorithm uses an improved method combining the arctangent function and the power function, the arctangent function enhances the linearity of control algorithm, ensures better smoothness at the origin of the function, and the power function guarantees the tracking speed of the control algorithm, and speed up the convergence of the control algorithm. The improved active disturbance rejection control algorithm is applied to the air speed regulation of mine local ventilator. The voltage signal processed by the control algorithm is used as the input signal of inverter of the local ventilator, and output frequency signal changes the speed of the asynchronous motor, so as to realize the dynamic adjustment of air speed of the local ventilator.The simulation results show that the improved active disturbance rejection control algorithm has obvious improvement in control speed and anti-interference ability compared with the existing PID control algorithm and active disturbance rejection control algorithm, which can adjust the air speed of local ventilator rapidly and stably.
Key words:mine-used local ventilator; air speed regulation; improved active disturbance rejection control; nonlinear function; oscillation suppression
中图分类号:TD635
文献标志码:A
文章编号:1671-251X(2019)07-0073-07
DOI:10.13272/j.issn.1671-251x.2019030001
收稿日期:2019-03-01;修回日期:2019-06-26;
责任编辑:张强。
基金项目:国家自然科学基金项目(51874010)。
作者简介:欧阳名三(1967-),男,安徽淮南人,教授,博士,主要研究方向为自动化控制技术,E-mail:austoyms@126.com。
通信作者:吴国芳(1995-),女,安徽滁州人,硕士研究生,主要研究方向为智能控制,E-mail:1446088973@qq.com。
引用格式:欧阳名三,吴国芳.改进型自抗扰控制在局部通风机风速调节中的应用研究[J].工矿自动化,2019,45(7):73-79.
OUYANG Mingsan,WU Guofang.Application research on improved active disturbance rejection control in air speed regulation of local ventilator[J].Industry and Mine Automation,2019,45(7):73-79.