王骁
(太原科技大学 机械工程学院, 山西 太原 030024)
摘要:针对目前采煤机开采作业虚拟仿真大多根据预设轨迹进行三维仿真、较少考虑煤层负载影响、不能展现采煤机运行动态过程的问题,利用LabVIEW与Simulink的交互式程序开发技术,将采煤机开采作业的三维仿真、电气与液压系统仿真、具体工况三者有机结合起来,设计了采煤机开采作业机电液一体化虚拟仿真平台。在煤层负载突变工况下,通过对电气调速系统、液压调高系统的控制,实现滚筒转速和牵引速度自动调整,从而降低滚筒负载。测试结果表明:该平台能精确、形象地展现采煤机运行的动态过程与煤层负载突变工况下的控制过程。在采煤机操作培训中,该平台能帮助采煤机操作人员掌握煤层负载突变工况下的采煤机控制策略,避免实操风险。
关键词:煤炭开采; 采煤机; 机电液一体化; 电气调速系统; 液压调高系统; 虚拟仿真平台; LabVIEW; Simulink
采煤机开采作业环境恶劣,工作空间封闭狭小,危险性较高。借助虚拟仿真技术对采煤机井下开采作业过程进行仿真,可应用于煤矿培训,不仅安全可靠,且能节约成本[1-2]。张红岩[3]基于虚拟现实技术设计了煤矿安全培训系统,实现了对煤矿风险预控、事故案例再现与事故应急救援的仿真。王天龙等[4]开发了基于虚拟现实技术的煤矿全液压钻机培训系统,实现了关键零部件的虚拟拆装与虚拟钻机动作仿真。高风瞩等[5]设计了综采工作面全景虚拟现实漫游系统,展示了煤矿综采工作面的布置全景。王大虎等[6]基于Quest3D设计了采煤机虚拟培训系统,通过嵌入式微控制器对虚拟场景进行控制。韩菲娟等[7-8]在对采煤机、液压支架和刮板输送机进行姿态解析的基础上,实现了综采工作“三机”协同运动仿真。
在现实的煤炭开采过程中,煤层负载突变会引起截割部载荷的波动甚至冲击,需要根据不同的工况对采煤机运行参数进行调整。目前,采煤机开采作业虚拟仿真大多是根据预设轨迹进行三维仿真,没有与具体工况结合起来,未考虑煤层负载的影响,与实际工作存在差异。针对以上问题,本文设计了采煤机开采作业机电液一体化虚拟仿真平台,可精确、形象地对采煤机开采作业过程进行动态仿真,并展现煤层负载突变工况下的控制过程。
技术路线如图1所示。首先,基于SolidWorks建立综采工作面各部分的三维模型,并通过LabVIEW的三维图片工具包完成三维模型的导入、从属关系的建立、运动约束关系的建立、运动控制,搭建与实际环境相似的采煤机开采作业虚拟场景。其次,基于Matlab/Simulink建立采煤机电气调速系统和液压调高系统物理仿真模型,并利用代码生成工具Matlab RTW和编译软件MicrosoftVisual Studio将Simulink模型编译为动态链接库文件。通过LabVIEW模型接口工具包调用动态链接库文件,实现与系统模型的交互。最后,根据煤层负载突变工况下的控制策略,对电气调速系统和液压调高系统模型进行控制,同时,利用Simulink模型仿真数据驱动虚拟场景。

图1 技术路线
Fig.1 Technical route
基于SolidWorks建立采煤机各主要部件及采煤工作面环境三维模型,包括采煤机机身、摇臂、滚筒、调高油缸、活塞杆、液压支架等。由于LabVIEW默认将三维对象显示在三维场景中心,所以,需通过“设置平移.VI”按照指定向量平移各三维对象位置,使之符合采煤机实际装配情况。为使三维场景中各三维对象之间的运动符合实际,需建立各模型之间的从属关系与运动约束关系。
各三维对象既可作为父对象,也可作为子对象。子对象会继承对父对象所作的变换。采煤机行走时,采煤工作面环境相对移动,同时采煤机上所有的零部件跟随运动;摇臂摆动时,滚筒随之升降,调高油缸绕铰接点旋转,活塞伴随其旋转,同时活塞相对调高油缸做直线伸缩运动。采煤机从属关系如图2所示。在LabVIEW中,通过三维图片工具包中的“添加对象.VI”将某一三维对象添加为另一三维对象的子对象,建立从属关系,可分别实现对父对象与子对象的运动控制。

图2 采煤机从属关系
Fig.2 Subordinate relation of shearer
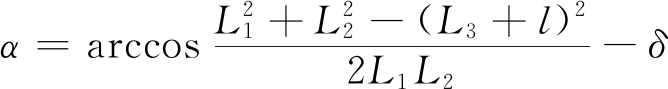
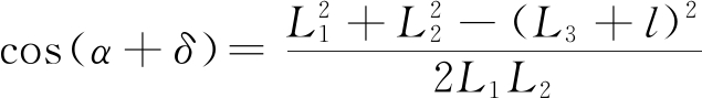
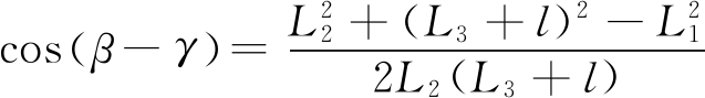
根据采煤机调高机构各部件之间的运动约束关系,指定摇臂、调高油缸的旋转角度和活塞的平移量,可展现三者的协同运动。调高机构通过控制调高油缸中活塞来回伸缩实现摇臂上下摆动。采煤机调高机构原理如图3所示。O点为摇臂铰接点,E点与E1点分别为活塞初始位置和伸出长度为l时滚筒圆心位置,B点与B1点分别为活塞初始位置和伸出长度为l时活塞与小摇臂铰接点位置,C点为调高油缸与机身的铰接点位置。
当调高油缸活塞杆伸出量为l时,由余弦定理得

图3 采煤机调高机构原理
Fig.3 Principle of shearer height adjusting mechanism
(1)
(2)
(3)
(4)
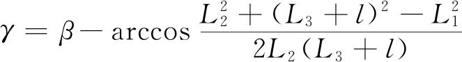
式中:β为油缸铰接点和摇臂铰接点的连线与油缸初始位置夹角,(°);γ为油缸摆角,(°);L2为油缸铰接点与摇臂铰接点的距离,m;L3为活塞初始伸出长度,m;L1为小摇臂长度,m;α为摇臂摆角,(°);δ为油缸铰接点和摇臂铰接点连线与小摇臂初始位置夹角,(°)。
在开采作业过程中,采煤机行走、活塞伸缩可以视为平移变换,摇臂摆动、滚筒旋转、调高油缸摆动可视为旋转变换。在LabVIEW的三维图片工具包中,通过“设置平移.VI”和“设置旋转.VI”实现各三维对象的平移与旋转变换。采煤机开采作业虚拟场景的运动控制程序采用循环结构,每次循环时都会更新各三维对象的位置,当循环速度足够快时,采煤机开采作业虚拟场景就呈现出动态效果。例如,通过改变滚筒绕轴旋转的角度,在视觉上表现为滚筒的旋转。采煤机开采作业虚拟场景如图4所示。

图4 采煤机开采作业虚拟场景
Fig.4 Virtual scene of shearer mining operation
3.1.1 滚筒负载
在截割煤层的过程中,滚筒主要受沿滚筒圆周切线方向的截割阻力、与采煤机行走方向相反的推进阻力及垂直于煤壁、沿滚筒轴线方向的轴向力[9],滚筒的轴向力本文不予考虑。
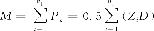
滚筒截割阻力矩M计算公式为
(5)
式中:Pz为截割阻力,N;n1为参与截割的截齿数;Zi为单齿平均截割阻力,N;D为滚筒直径,m。
单齿平均截割阻力计算公式为
(6)
式中:A为煤层平均截割阻抗,kN/m;bp为截齿宽度,m;t为截齿切削宽度,m;Kz,Ky,Kφ,Kc,Kf为煤岩和截齿相关系数;hm为截齿平均切削宽度,m;θ为截齿相对于采煤机推进方向的偏转角,(°)。
截齿平均切削宽度计算公式为
![]()
(7)
式中:ω为煤体对滚筒的围包角,(°);vq为牵引速度,m/min;vt为滚筒转速,r/min;n2为滚筒同一截线上安装的截齿数。
滚筒受到的推进阻力Py可通过截割阻力估算:
Py=KqPz
(8)
式中Kq为与截齿磨损程度有关的系数。
3.1.2 牵引部负载
牵引阻力主要取决于采煤机自重、导向部分产生的摩擦阻力及与牵引速度方向相反的推进阻力,作用于行走轮上的牵引阻力矩Mq为
Mq=(mg(sinσ+fcosσ)+Py)r
(9)
式中:m为采煤机质量,kg;g为重力加速度,m/s2;σ为煤层倾角,(°);f为导向部分的摩擦因数;r为行走轮半径,m。
3.1.3 调高油缸负载
在采煤机开采作业过程中,调高油缸不仅需要克服摇臂和滚筒的自重,还要克服截割阻力和推进阻力[10]。采煤机调高机构受力分析如图5所示,其中变量右上角带撇和不带撇分别表示滚筒下调和上调时的对应变量。
滚筒实际截煤速度vs是采煤机牵引速度vq与摇臂摆动速度vg的合速度。调高过程中,滚筒受到

图5 采煤机调高机构受力分析
Fig.5 Force analysis of shearer height adjusting mechanism
的推进阻力Py、截割阻力Pz与不调高时受到的阻力大小变化不大,而方向却有较大改变。
滚筒上调时,滚筒推进阻力Py、截割阻力Pz的方向角λ可由式(10)确定。
(10)
由力平衡方程可得滚筒上调时调高油缸负载力F为
(11)
式中:G1和G2分别为滚筒和摇臂的重力,N;L4为滚筒重心与摇臂上下摆动铰接点的距离,m;L5为摇臂重心与摇臂上下摆动铰接点的距离,m;φ为滚筒重力方向与摇臂的夹角,(°);ε为调高油缸与小摇臂的夹角,(°)。
滚筒下调时,滚筒推进阻力
截割阻力
的方向角λ′可由式(12)确定。
(12)
由力平衡方程可得,滚筒下调时调高缸负载力F′为
(13)
基于Simulink建立了采煤机液压调高系统模型(图6)和电气调速系统模型,其中电气调速系统模型包括牵引部调速系统(图7)和截割部调速系统2个部分,均采用直接转矩控制[11]。液压调高系统模型的输入为三位四通换向阀的阀口开度和调高油缸负载,输出为活塞速度、泵出口流量和泵出口压力。在Simulink模型中,将模型中做映射的输入输出端口用NI VeriStand Library下的NI VeriStandIn和NI VeriStand Out替代,并添加NI VeriStand Signal Probe模块。电气调速系统模型输入为电动机给定转速和电动机负载,输出为电动机转速。

图6 采煤机液压调高系统模型
Fig.6 Model of shearer hydraulic height adjusting system

图7 采煤机电气调速系统模型(牵引部)
Fig.7 Model of shearer electrical speed regulating system (haulage unit)
LabVIEW模型接口工具包提供了一个交互式接口,可实现LabVIEW和Simulink仿真模型的交互式程序开发[12-13]。LabVIEW无法直接调用Simulink模型,需要将Simulink模型编译成动态链接库文件后,再使用模型接口工具包调用。Simulink模型导入LabVIEW的过程如图8所示。
LabVIEW与液压调高系统仿真模型交互的程序采用While循环结构,如图9所示。其中,“Load Model.VI”用于实现对液压调高系统动态链接库文件的调用,“Get Information by Path.VI”用于获取仿真模型输入、输出信息。“Create Inports Array.VI” 用于创建需要写入仿真模型输入端口的数组。每次循环LabVIEW通过“Take Model Time Step.VI”的Inport Array接口将输入参数(阀口开度和油缸负载)写入仿真模型的输入端口,仿真模型接收到参数后执行一个仿真步长,并将输出参数(活塞速度、泵出口压力和泵出口流量)通过Outports Array out接口返回LabVIEW,由此完成交互过程。程序执行结束后,通过“Unload Model.VI”将先前加载的仿真模型从内存中释放出来。LabVIEW与电气调速系统的交互与液压调高系统相似,不再赘述。

图8 Simulink模型导入LabVIEW的过程
Fig.8 Importing process of Simulink model into LabVIEW

图9 LabVIEW与液压调高系统仿真模型交互的程序框图
Fig.9 Program diagram of interaction between LabVIEW and hydraulic height adjusting system
在煤炭开采过程中,煤层夹矸引起负载的突变,会导致截割部载荷的波动甚至冲击,给截割电动机和传动系统带来严重威胁[14-15]。为保证采煤机的安全运行与生产率,在不同的煤层负载工况下,应采用不同的控制策略。
滚筒负载主要受三大因素的影响:① 煤层物理性质,如截割阻抗等;② 滚筒截齿相关参数,采煤过程中不可变;③ 采煤机运动参数,如滚筒转速、牵引速度,采煤过程中可控可变,且滚筒负载与转速成反比,与牵引速度成正比。因此,在开采作业过程中,由于煤层负载突变导致滚筒负载突变时,可通过提高滚筒转速和降低牵引速度的方法来降低滚筒负载。
为确保截割电动机在恒转矩区工作,根据电动机额定转矩Te确定滚筒目标负载Me:
(14)
式中:i0为截割部总传动比;η为机械系统传动效率。
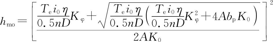
令K0=10A(0.3+0.35bp)tKzKyKφKcKf/cosθ,则与截割阻抗A对应的截齿平均切削厚度控制目标hmo为

(15)
假设煤层截割阻抗为180 kN/m时采煤机截割电动机在额定转矩运行,滚筒转速为20 r/min,牵引速度为10 m/min,则截割阻抗A与截齿平均切削厚度控制目标hmo的关系如图10所示。

图10 截割阻抗与截齿平均切削厚度控制目标关系
Fig.10 Relationship between cutting impedance and
target cutting thickness
由式(7)可得,当牵引速度为10 m/min、滚筒转速达到最大值26.4 r/min时,截齿平均切削厚度为12.06 cm。由图10可得截齿平均切削厚度控制目标12.06 cm对应的截割阻抗为208.96 kN/m,则208.96 kN/m为滚筒调速控制策略和牵引-滚筒协同调速控制策略的转换点。为保证采煤机生产率,当煤层截割阻抗A≤208.96 kN/m时,优先采用滚筒调速控制策略,即通过提高滚筒转速来降低滚筒负载;当煤层截割阻抗A>208.96 kN/m时,采用牵引-滚筒协同调速控制策略,即通过提高滚筒转速和降低牵引速度来降低滚筒负载。
采煤机开采作业机电液一体化控制原理如图11所示。为了真实反映采煤机实际工况,实时根据煤层截割阻抗、滚筒转速、牵引速度等因素计算截割部负载、牵引部负载和液压调高系统负载,并写入电气调速系统、液压调高系统的相应端口,进行载荷模拟。当煤层截割阻抗变化时,根据调速控制策略计算目标滚筒转速与目标牵引速度,并将目标值传递至电气调速系统,对滚筒转速与牵引速度进行自动调整;同时,将阀口开度传递至液压调高系统,控制调高油缸活塞的伸缩。根据Simulink模型仿真数据对采煤机开采作业虚拟场景进行运动控制,从而精确、形象地呈现煤层负载突变工况下的控制过程。

图11 采煤机开采作业机电液一体化控制原理
Fig.11 Electromechanical and hydraulic integration control principle of shearer mining operation
采煤机开采作业机电液一体化虚拟仿真平台的参数设置面板如图12所示,通过该面板可对煤层截割阻抗和仿真时间进行设置。

图12 参数设置面板
Fig.12 Parameter setting panel
显示面板包括采煤机开采作业虚拟场景显示(图4)和仪表显示(图13)2个部分,通过虚拟场景显示,用户可观察采煤机不同工况下的运行情况;在采煤机运行时,一些参数无法直接观察到,如泵出口压力、煤层截割阻抗等,可通过仪表盘或者波形图表来进行观察。

图13 显示面板(仪表显示部分)
Fig.13 Display panel (instrument display part)
在参数设置面板对煤层截割阻抗进行设置,模拟煤层负载变化,测试结果如图14所示。0~25 s,煤层截割阻抗为0;25~40 s,煤层截割阻抗线性上升;40~50 s,煤层截割阻抗为180 kN/m;50 s时,煤层截割阻抗突变为200 kN/m;60 s时,煤层截割阻抗突变为250 kN/m。
0~25 s为采煤机启动阶段,滚筒转速由0上升到20 r/min,同时调高机构活塞伸出,滚筒达到指定采高,继而牵引速度由0上升到10 m/min;25~40 s,滚筒负载为额定负载,滚筒转速和牵引速度保持不变;50 s时,煤层截割阻抗变化率为11.11%,冲击载荷导致滚筒负载由271 kN·m增至301.1 kN·m,为了将滚筒负载降至目标负载,采用滚筒调速控制策略,滚筒转速由20 r/min上升为24.34 r/min;60 s时,煤层截割阻抗变化率为25%,冲击载荷导致滚筒负载增至338.75 kN·m,为了将滚筒负载降至目标负载,采用牵引-滚筒协同调速控制策略,滚筒转速由24.34 r/min上升为26.40 r/min,牵引速度由10 m/min下降为7.19 m/min。
测试结果表明,在煤层负载突变工况下,滚筒负载增大,通过对电气调速系统、液压调高系统的控制,可实现滚筒转速和牵引速度自动调整,从而降低滚筒负载。该平台可精确、形象地展现采煤机运行动态过程与煤层负载突变工况下的控制过程。

(a) 截割阻抗

(b) 滚筒负载

(c) 滚筒转速

(d) 牵引速度

(e) 活塞速度

(f) 活塞位移
图14 采煤机开采作业机电液一体化虚拟仿真平台测试结果
Fig.14 Test results of electromechanical and hydraulic integration virtual simulation platform for shearer mining operation
以LabVIEW为主要开发工具,设计了采煤机开采作业机电液一体化虚拟仿真平台,实现了采煤机开采作业的三维仿真、电气与液压系统仿真、具体工况的有机结合。搭建了采煤机开采作业虚拟场景,可形象地展现采煤机井下工作状态;建立了采煤机电气调速系统、液压调高系统的物理仿真模型,并利用Simulink仿真数据驱动采煤机开采作业虚拟场景,可更加精确地展现采煤机运行的动态过程;分析了煤层负载突变工况下的控制策略,并展现了煤层负载突变工况下的控制过程。将该平台应用于采煤机操作培训中,能帮助采煤机操作人员掌握煤层负载突变工况下采煤机的应对方法,避免真机误操作带来的安全隐患,对实现煤矿安全生产具有重要意义。
参考文献( References):
[1] GRABOWSKI A, JANKOWSKI J. Virtual reality-based pilot training for underground coal miners[J]. Safety Science,2015,72:310-314.
[2] 王履华,孙在宏,吴长彬,等.基于Unity3D的数字矿山虚拟现实系统建设研究[J].矿业研究与开发,2014,34(1):98-101.
WANG Lyuhua,SUN Zaihong,WU Changbin,et al.Study on the construction of virtual reality system for digital mine based on Unity3D[J].Mining Research and Development,2014,34(1):98-101.
[3] 张红岩.基于虚拟现实技术的煤矿安全培训系统[J].工矿自动化,2014,40(2):88-92.
ZHANG Hongyan.Coal mine safety training system based on virtual reality technology[J].Industry and Mine Automation,2014,40(2):88-92.
[4] 王天龙,乔杰,彭涛,等.基于虚拟现实技术的煤矿全液压钻机培训系统[J].工矿自动化,2018,44(4):100-104.
WANG Tianlong,QIAO Jie,PENG Tao,et al.Training system for coal mine full-hydraulic drilling rig based on virtual reality technology[J].Industry and Mine Automation,2018,44(4):100-104.
[5] 高风瞩,李娟莉,谢嘉成.基于Unity3D的综采工作面全景虚拟现实漫游系统设计[J].矿业研究与开发,2017,37(12):68-72.
GAO Fengzhu,LI Juanli,XIE Jiacheng.Design of the panoramic virtual-reality roaming system of fully mechanized working face based on Unity3D[J].Mining Research and Development,2017,37(12):68-72.
[6] 王大虎,刘海洋,王敬冲.基于虚拟现实的采煤机培训系统开发[J].计算机仿真,2015,32(6):262-265.
WANG Dahu,LIU Haiyang,WANG Jingchong.Development of shearer training system based on virtual reality[J].Computer Simulation,2015,32(6):262-265.
[7] 韩菲娟,任芳,杨兆建,等.综采工作面“三机”运动仿真研究[J].工矿自动化,2018,44(9):15-19.
HAN Feijuan,REN Fang,YANG Zhaojian,et al.Simulation research on motion of three machines on fully mechanized coal mining face[J].Industry and Mine Automation,2018,44(9):15-19.
[8] 韩菲娟.基于Unity3D的综采工作面“三机”虚拟仿真系统[D].太原:太原理工大学,2018.
[9] 王慧,宋宇宁.滚筒截割负载扰动对采煤机调高的影响[J].中国机械工程,2018,29(2):127-133.
WANG Hui,SONG Yuning.Influences of drum cutting load disturbances on shearer height adjustments[J].China Mechanical Engineering,2018, 29(2):127-133.
[10] 刘春生,于信伟,任昌玉. 滚筒式采煤机工作机构[M]. 哈尔滨:哈尔滨工程大学出版社,2010.
[11] 冯戎.采煤机变频调速系统研究[J].煤炭与化工,2017,40(8):71-74.
FENG Rong.Study on variable frequency speed control system of coal mining machine[J].Coal and Chemical Industry,2017,40(8):71-74.
[12] 张圣,李震梅,李海涛,等.基于Simulink和LabVIEW的脉冲电源虚拟仿真实验平台[J].实验技术与管理,2019,36(1):138-142.
ZHANG Sheng,LI Zhenmei,LI Haitao,et al.Virtual simulation experimental platform of pulse power supply based on Simulink and LabVIEW[J].Experimental Technology and Management,2019,36(1):138-142.
[13] 刘颖,陆宁.基于LabVIEW与Simulink混合编程的光伏发电系统仿真[J].电源技术,2016,40(10):1987-1989.
LIU Ying,LU Ning.Co-simulation of photovoltaic power system based on LabVIEW and Simulink[J].Chinese Journal of Power Sources,2016,40(10):1987-1989.
[14] 孙承洁.滚筒采煤机变速控制策略及实验研究[D].重庆:重庆大学,2016.
[15] HU Jianjun, ZHA Junlin, LIU Changzhao, et al. Research on drum shearer speed control strategies under sudden-changing load[J]. Journal of the Brazilian Society of Mechanical Sciences and Engineering,2018,40(6):323.
WANG Xiao
(College of Mechanical Engineering,Taiyuan University of Science and Technology,Taiyuan 030024, China)
Abstract:In view of problems that current virtual simulation of shearer mining operation are mostly based on preset trajectories, seldom consider impact of coal seam loading and can not show dynamic process of shearer operation, three-dimensional simulation of shearer mining operation, electrical and hydraulic system simulation, and specific working conditions are combined to design electromechanical and hydraulic integration virtual simulation platform for shearer mining operation using LabVIEW and Simulink interactive program development technology. Under condition of sudden change of coal seam load, the drum speed and traction speed are automatically adjusted to reduce the drum load through the control of electric speed control system and hydraulic height adjusting system. The test results show that the platform can accurately and visually display dynamic process of shearer operation and control process under condition of sudden change of coal seam load. In the shearer operation training, the platform can help shearer operator to master shearer control strategy under condition of sudden change of coal seam load to avoid actual operation risk.
Key words:coal mining; shearer; electromechanical and hydraulic integration; electrical speed control system; hydraulic height adjusting system; virtual simulation platform; LabVIEW; Simulink
中图分类号:TD421.6
文献标志码:A
文章编号:1671-251X(2019)07-0066-08
DOI:10.13272/j.issn.1671-251x.2019030029
收稿日期:2019-03-11;修回日期:2019-06-12;
责任编辑:胡娴。
基金项目:国家自然科学基金项目(51875381)。
作者简介:王骁(1994-),男,山西吕梁人,硕士研究生,主要研究方向为机械设备虚拟仿真,E-mail:772797524@qq.com。
引用格式:王骁.采煤机开采作业机电液一体化虚拟仿真平台设计[J].工矿自动化,2019,45(7):66-72.
WANG Xiao.Design of electromechanical and hydraulic integration virtual simulation platform for shearer mining operation[J].Industry and Mine Automation,2019,45(7):66-72.