谷明月, 刘艳
(唐山科技职业技术学院 智能制造系, 河北 唐山 063000)
摘要:为改善中高速永磁同步电动机无位置传感器控制的稳态、动态性能,并针对电动机反转时传统的正交锁相环不能有效运行的问题,提出了一种基于超螺旋滑模观测器与改进正交锁相环的内置式永磁同步电动机无位置传感器控制策略。在两相静止坐标系下,使用超螺旋函数取代传统滑模观测器的开关函数构建超螺旋滑模观测器,可充分抑制滑模抖振,同时避免了低通滤波器的使用,解决了低通滤波器带来的相位延迟与幅值衰减问题;改进的正交锁相环算法避免了正切函数的使用,利用一种简单的反电动势信号重构策略获取误差信号,相比于基于正切函数的正交锁相环算法更简单有效,能够使电动机反转运行,且在运行过程中转速与位置估计误差较小。仿真结果验证了该控制策略的可靠性和有效性。
关键词:内置式永磁同步电动机; 无位置传感器; 超螺旋滑模观测器; 正交锁相环; 反转; STA-SMO
近些年,内置式永磁同步电动机(Interior Permanent Magnet Synchronous Motor,IPMSM)因其高功率密度、高转矩电流比的优点已广泛应用于煤矿工业现场[1-2],其运行的安全性尤为重要,对其进行可靠控制已成为研究热点。文献[3]将直接转矩控制策略应用于矿用永磁同步电动机,以增强电动机控制系统的动静态性能。文献[4]将无差拍控制策略应用于矿用永磁同步电动机,以提高电动机的效率,并抑制电动机的转矩脉动。以上控制策略都是基于永磁同步电动机有位置传感器的控制策略,但由于煤矿井下恶劣的工作环境,位置传感器故障率较高,需要定期停车维护,严重影响了煤矿的生产安全和效率的提高[5]。无位置传感器控制技术能够有效减小电动机控制系统体积,增加系统的可靠性,使永磁同步电动机可以应用于高温、高湿等恶劣环境[3],其在矿用机车及垂直提升机电动机等驱动系统中的应用具有重大意义。目前已有大量矿用机车及垂直提升机电动机驱动系统采用无位置传感器控制策略[3,6-8]。
永磁同步电动机无位置传感器控制技术主要包括适用于零低速的基于转子凸极效应的辅助信号注入法和利用反电动势估计电动机速度与转子位置的方法。适用于零低速的基于转子凸极效应的辅助信号注入法主要包括旋转高频信号注入法[7]、脉振高频信号注入法[8]与高频方波信号注入法[9]等,相比于前2种方法,高频方波信号注入法有着更高的注入信号频率与电流环带宽,并且能够提高控制系统的动态性能[9]。利用反电动势估计电动机速度与转子位置的方法适用于中高速电动机,主要包括模型参考自适应法(Model Reference Adaptive Method, MRAS)[10]、扩展卡尔曼滤波法(Extended Kalman Filtering, EKF)、滑模观测器法(Sliding Mode Observer, SMO)[11-12]。模型参考自适应法对参数依赖性过大,导致其鲁棒性能较差;扩展卡尔曼滤波法过于复杂,计算量过大,实时性较差;滑模观测器法具有较强的鲁棒性,且算法简便、易于实现,在永磁同步电动机无位置传感器控制中具有广泛的应用。但是,传统的滑模观测器中使用的sign开关函数会使估测的反电动势引入bang-bang 控制产生的高频谐波,在滑模面附近会呈现出固有的抖振现象,使得估计结果在实际值附近上下振荡, 对估计精度产生了直接影响,因此,在传统方法中常采用低通滤波器滤除高频抖动与谐波,但低通滤波器的使用会造成位置估计的相位延迟和速度估计的幅值衰减。为了解决抖振问题,文献[13]采用sigmoid函数取代开关函数,然而sigmoid函数的引入,虽抑制了抖振现象,但在滑模边界层内观测器的鲁棒性无法得到保证。文献[14]采用变截止频率的低通滤波器对观测的反电动势进行滤波,虽抑制了抖振,但观测量产生的相位滞后与幅值衰减问题仍然存在。文献[15-16]提出了建立在超螺旋算法(Super-twisting Algorithm,STA)的二阶滑模观测器,文献[17]进一步分析了基于超螺旋算法的滑模观测器(Sliding Mode Observer Based on Super-twisting Algorithm,STA-SMO)的稳定性,并给出了STA-SMO的稳定条件,STA-SMO可以有效消除滑模抖振,不损害鲁棒性,并且可以避免传统SMO反电动势估计过程中低通滤波器的使用,进而避免了低通滤波器造成的相位延迟与幅值衰减。
静止坐标系下的传统滑模观测器是利用估计的反电动势通过反正切函数来直接计算位置信息,但是由于谐波与噪声的存在,会影响到位置估算的精度。特别是在反电动势过零点时,将会出现明显的估计误差。文献[18]提出了正交锁相环(Quadrature Phase-Locked Loop,Q-PLL)算法,用于改进位置估算性能,其通过调节角度误差来调节估计转速,最终使估计转速与实际转速一致,提高了系统估计精度,并获得了良好的动态性能。但是当永磁同步电动机反转时,Q-PLL会产生一个180°的角度估算误差,从而导致电动机无法反转运行。文献[19]提出了一种基于正切函数的正交锁相环,用于解决电动机反转有效运行问题,但是其增加了算法的复杂性,并且由于反正切函数的引入,其易受到谐波与噪声的干扰。
针对以上控制方法存在的问题,在永磁同步电动机矢量控制的基础上,本文提出了一种基于STA-SMO与改进Q-PLL的IPMSM无位置传感器控制策略。传统的开关函数被超螺旋函数取代,从而消除了抖振,并且避免了低通滤波器的使用,解决了低通滤波器带来的相位延迟与幅值衰减问题;改进的正交锁相环算法避免了正切函数的使用,并能够使电动机实现反转运行。
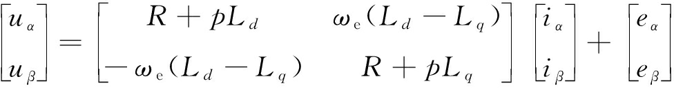
为便于超螺旋滑模观测器的设计,建立了静止坐标系下的IPMSM数学模型:
(1)
式中:uα,uβ分别为α,β轴定子电压;R为定子电阻;p为微分算子;Ld,Lq分别为d,q轴的定子电感;ωe为电角速度;iα,iβ分别为α,β轴定子电流;eα,eβ分别为α,β轴扩展反电动势。
eα,eβ满足式(2):
(2)
式中:id,iq分别为旋转坐标系下d,q轴的定子电流;ψf为永磁磁链;θe为转子位置。
由式(2)可看出,IPMSM的扩展反电动势包含电动机转子位置与转速的所有信息。
采用基于超螺旋算法的二阶滑模观测器估计包含电动机转速与位置信息的扩展反电动势。使用超螺旋函数取代传统滑模观测器的开关函数,能够充分抑制滑模抖振,同时避免低通滤波器的使用。
超螺旋算法能够消除传统滑模观测器中存在的抖振[14]。文献[15-16]通过李雅普诺夫函数证明了超螺旋算法的稳定性与有限时间收敛。基础的超螺旋算法为

(3)
式中:xi为状态变量,
为状态变量的估计值;ki为滑模增益;ρi为扰动项。
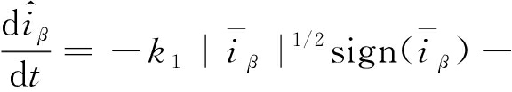
文献[15]已经给出证明,如果式(3)中的扰动项全局有界,即满足式(4),并且k1与k2满足式(5),那么电动机控制系统将在有限时间内收敛至滑模面。
(4)
式中δ1为满足式(4)稳定性条件的任一常数。

(5)
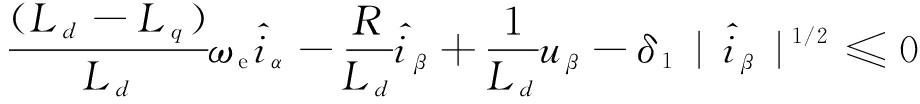
为方便估计转子位置,将式(1)所示的IPMSM方程整理成电流状态方程:
(6)
式中![]()
将静止坐标系下估计电流作为状态变量,定义
分别为α,β轴定子电流的估计值,将
代入式(3),建立基于STA-SMO的电流观测器:
(7)
![]()
(8)
式中:![]()
式(7)与式(8)中扰动项为
(9)
(10)
将式(9)、式(10)分别代入式(7)、式(8)中,得到电流观测器为
![]()
![]()
(11)
(12)
将式(9)与式(10)代入式(4),可得
(13)
(14)
当δ1取值较大时,很容易满足式(4)所示的稳定性条件。
将式(11)、式(12)与IPMSM电流状态方程做差,可得静止坐标系下的电流误差方程为
(15)
(16)
当定子电流到达滑模区时,定子电流观测值收敛至实际值,此时有
(17)
从而可以得到反电动势的等效控制率为
(18)
![]()
(19)
虽然正交锁相环有着良好的估计性能,但当永磁同步电动机反转时,正交锁相环将会产生180°的角度估算误差,从而导致电动机反转失败。本文提出了一种改进的正交锁相环,以解决电动机反转问题。
静止坐标系下的传统滑模观测器是利用估计的反电动势通过反正切函数来直接计算位置信息,即
(20)
式中:
为转子位置估计值;
分别为α,β轴扩展反电动势的估计值。
由于滑模观测器固有的抖振现象,扩展反电动势观测值中存在高频谐波和噪声,这势必会影响其观测性能;并且反正切函数计算方法包含除法运算,尤其当反电动势观测值过零时,转子位置观测误差会进一步被放大。
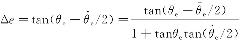
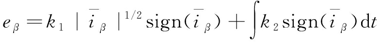
传统的正交锁相环如图1所示,
为转子速度估计值。定义扩展反电动势幅值为E,满足E=(Ld-Lq)(ωeid-piq)+ωeψf。当
时,认为
成立,则估计误差Δe为
Δe=![]()
(21)

图1 传统的正交锁相环
Fig.1 Traditional quadrature phase-locked loop
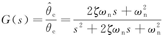
正交锁相环的传递函数为
(22)
式中:
与KI分别为PI调节器的比例增益与积分增益。
文献[19]提出了一种基于正切函数的正交锁相环,用于解决电动机反转有效运行问题,其基于正切函数构建的误差方程为
(23)
当系统达到稳态时,有
(24)
该锁相环的估计位置角度为实际位置角度的2倍,虽能够解决电动机反转问题,但由于正切函数的引入,使得锁相环易受噪声的干扰,特别是反电动势过零点时,将会产生较大的观测误差。基于正切函数的正交锁相环如图2所示。

图2 基于正切函数的正交锁相环
Fig.2 Quadrature phase-locked loop based on tangent function
本文提出的改进的正交锁相环如图3所示,其误差信号以式(25)的形式求得。

图3 改进的正交锁相环
Fig.3 Improved quadrature phase-locked loop
(25)
当位置误差较小时,式(25)可以写为
(26)
式中:Δθe为位置估计误差,且有![]()
当电动机反转时,由于平方的引入导致估计误差的符号不会改变,从而避免了引入正切函数,不存在易受高频信号与噪声影响的缺点;此外,改进的正交锁相环相较于基于正切函数的正交锁相环算法更为简便。
为简化锁相环参数设计,对反电动势进行归一化处理,有

(27)
误差信号经过PI调节器后可得到转子电角速度,进而积分得到转子位置:
(28)
改进锁相环的传递函数可表示为
(29)
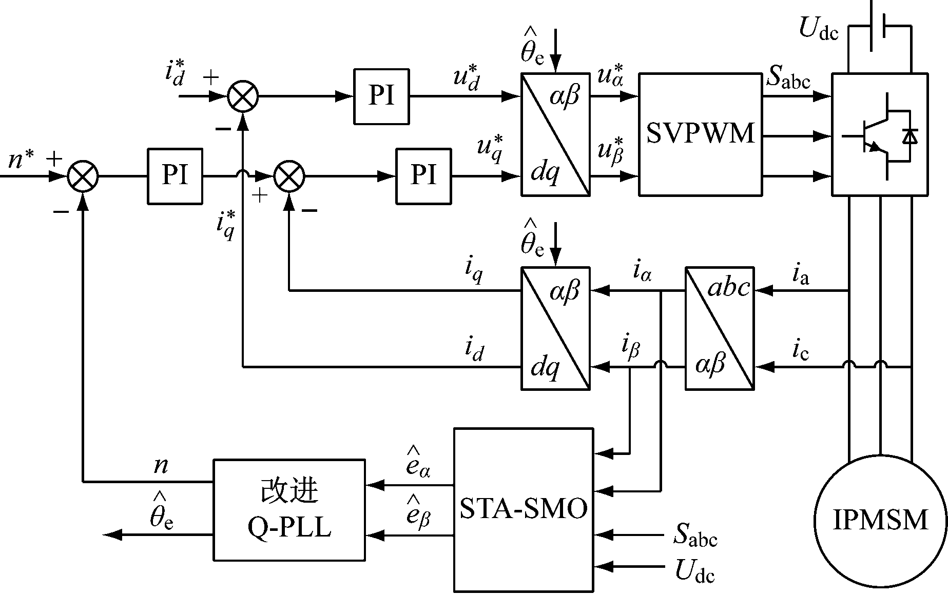
为验证与评估本文所述的基于STA-SMO与改进Q-PLL的IPMSM无位置传感器控制策略的可靠性和有效性,在Matlab/Simulink中对图4所示拓扑结构进行仿真验证,其中Sabc为SVPWM模块输出的开关信号,用来控制功率开关器件的开关状态。具体仿真参数见表1。

图4 基于STA-SMO与改进Q-PLL的IPMSM无位置传感器控制策略结构
Fig.4 Structure of sensorless control strategy of IPMSM based on STA-SMO and improved Q-PLL
仿真时长为1.5 s,采样频率为10 kHz,滑模增益k1为15,k2为60 000,锁相环参数KP为200,KI为40 000。为方便比较, 传统的正交锁相环、基于正切函数的正交锁相环与本文提出的改进的正交锁相环采用相同的参数。STA-SMO正转闭环仿真结果如图5所示。初始转速设为750 r/min,在0.8 s时,转速由750 r/min增至1 000 r/min,在1.5 s时,负载由空载突增至50 N·m。
表1 仿真参数
Table 1 Simulation parameters


(a) 转子实际转速与估计转速

(b) 转子实际位置与估计位置

(c) 转子位置估计误差
图5 STA-SMO正转闭环仿真结果
Fig.5 Simulation results of STA-SMO forward turn closed loop
由图5可看出,在电动机正转时,转速可以较快地跟踪到突变后的转速,实际转速与估计转速波形相似度较高,转速稳态误差在6 r/min,位置稳态误差在0.03 rad以内,在升速与加载后,也能快速收敛至实际转速和位置。仿真结果验证了基于STA-SMO的IPMSM无位置传感器控制策略的可靠性和有效性。
电动机由零速空载启动运行至700 r/min,在0.6 s时,给定转速由700 r/min降低至-700 r/min,实现电动机反转运行,并在1.2 s时负载由空载突增至50 N·m。图6与图7分别为电动机实现由正转到反转的基于正切函数的正交锁相环开环反转仿真结果与基于改进的正交锁相环闭环反转仿真结果。

图6 基于正切函数的正交锁相环开环反转仿真结果
Fig.6 Simulation results of quadrature phase-locked loop open loop inversion based on tangent function

(a) 转子实际转速与估计转速

(b) 转子实际位置与估计位置

(c) 转子位置估计误差
图7 基于改进的正交锁相环闭环反转仿真结果
Fig.7 Simulation results of improved quadrature phase-locked loop closed loop inversion
由图6可以看出,基于正切函数的正交锁相环虽能够解决电动机反转问题,但由于正切函数的引入,使得锁相环易受噪声的干扰,特别是在接近零低速时,将会产生较大的观测误差,从而不能实现电动机由正转到反转的可靠运行。由图7可以看出,电动机的正反转稳态性能与转速变换的动态性能都能得到保证。在实现电动机由正转切换至反转的过程中,估计的转速可以较快地跟踪到突变后的转速,位置误差不超过0.16 rad,并能够较快地收敛至实际位置。
(1) 在静止坐标系下,使用超螺旋函数取代传统的开关函数构建了适用于IPMSM的超螺旋滑模观测器,以消除抖振,并避免了低通滤波器的使用,从而解决了低通滤波器带来的相位延迟与幅值衰减,改善了永磁同步电动机控制运行的动态及稳态性能。
(2) 针对电动机反转问题,在传统正交锁相环的基础上,提出了一种改进正交锁相环算法,相比于基于正切函数的正交锁相环算法,该算法更简单有效,能够使电动机反转运行,且在运行过程中转速与位置估计误差较小,验证了基于STA-SMO与改进Q-PLL的IPMSM无位置传感器控制策略的可靠性和有效性。
参考文献:
[1] 张国强,王高林,徐殿国,等.基于单观测器误差信息融合的永磁电机无传感器复合控制策略[J].中国电机工程学报,2017,37(20):6077-6082.
ZHANG Guoqiang,WANG Gaolin,XU Dianguo,et al.Hybrid sensorless control based on single position observer using error combination for interior permanent magnet synchronous machine drives [J]. Proceedings of the CSEE,2017,37(20):6077-6082.
[2] 王巍,郭凤仪,陈鹏.基于滑模控制的PMSM直接转矩控制系统的研究[J].工矿自动化,2009,35(4):24-28.
WANG Wei,GUO Fengyi,CHEN Peng. Research of direct torque control system for PMSM based on sliding mode control[J]. Industry and Mine Automation,2009,35(4):24-28.
[3] 潘萍,付子义,刘辉,等.永磁同步电机无传感器控制技术研究现状与控制策略综述[J].工矿自动化,2007,33(3):29-31.
PAN Ping,FU Ziyi,LIU Hui,et al.Overview about study status and control strategy of sensorless control technology of permanent magnet synchronous motor[J].Industry and Mine Autumation,2007,33(3):29-31.
[4] 尹春辉,宋长喜,姚明.矿车T型三电平永磁电机驱动系统的无差拍控制[J].煤矿机械,2018,39(8):140-142.
YIN Chunhui,SONG Changxi,YAO Ming.Deadbeat control of three-level T-type inverter based permanent magnet synchronous motor drive for mine car [J].Coal Mine Machinery,2018,39(8):140-142.
[5] 张俊卿,梅奕,黄友锐,等.基于永磁同步电动机的矿用电机车调速系统设计[J].工矿自动化,2014,40(2):45-48.
ZHANG Junqing,MEI Yi,HUANG Yourui,et al.Design of speed regulation system of mine-used electric locomotive based on permanent magnet synchronous motor[J].Industry and Mine Automation,2014,40(2):45-48.
[6] 邓新中.永磁同步电动机无传感器二阶滑模观测器仿真研究[J].工矿自动化,2014,40(9):94-99.
DENG Xinzhong.Simulation research of second order sliding mode observer of sensorless permanent magnet synchronous motor[J].Industry and Mine Automation,2014,40(9):94-99.
[7] 于艳君,柴凤,欧景,等.基于旋转高频信号法的IPMSM 无位置传感器控制[J].电工技术学报,2013,28(7):26-31.
YU Yanjun,CHAI Feng,OU Jing,et al.Position sensorless control of IPMSM based on rotating high frequency signal method[J].Transactions of China Electrotechnical Society,2013,28(7):26-31.
[8] 叶生文,谷善茂,李广超,等.基于高频注入法的永磁同步电动机无传感器矢量控制[J].工矿自动化,2010,36(1):44-47.
YE Shengwen,GU Shanmao,LI Guangchao,et al.Sensorless vector control of permanent magnet synchronous motor based on method of high-frequency injection method[J].Industry and Mine Automation,2010,36(1):44-47.
[9] YOUNG-DOO Y,SEYNG-KI S,SHINYA M,et al.High-bandwidth sensorless algorithm for AC machines based on square-wave-type voltage injection.[J].IEEE Transactions on Industry Applications,2011,47(3):1361-1370.
[10] 张洪帅,王平,韩邦成.基于模糊 PI 模型参考自适应的高速永磁同步电机转子位置检测[J].中国电机工程学报,2014,34(12):1889-1896.
ZHANG Hongshuai,WANG Ping,HAN Bangcheng.Rotor position measurement for high-speed permanent magnet synchronous motors based on fuzzy PI MRAS[J].Proceedings of the CSEE,2014,34(12):1889-1896.
[11] 高仁璟,李希伟.PMSM无传感器控制的新型滑模观测器设计[J].电机与控制应用,2014,41(11):7-13.
GAO Renjing,LI Xiwei.Design of a novel sliding-mode observer based on PMSM position sensorless control system[J].Electric Machines & Control Application,2014,41(11):7-13.
[12] 张曲遥,高艳霞,陈静,等.基于滑模观测器的永磁同步电机无位置传感器控制[J].电机与控制应用,2016,43(6):34-38.
ZHANG Quyao,GAO Yanxia,CHEN Jing,et al.Sliding mode observer based position sensorless control of PMSM[J].Electric Machines & Control Application,2016,43(6):34-38.
[13] HONGRYEL K,JUBUM S,JANGMYUNG L.A high-speed sliding-mode observer for the sensorless speed control of a PMSM[J].IEEE Transactions on Industrial Electronics,2011,58(9):4069-4077.
[14] KYE-LYONG K,JANG-MOK K,KEUN-BAE H,et al.Sensorless control of PMSM in high speed range with iterative sliding mode observer[C]//Nineteenth Annual IEEE Applied Power Electronics Conference and Exposition, Anaheim,2004:1111-1116.
[15] LEVANT A. Principles of 2-sliding mode design[J].Automatica,2007,43(4):576-586.
[16] LEVANT A.Sliding order and sliding accuracy in sliding mode control[J].International Journal of Control,1993,58(6):1247-1263.
[17] JAIME A M,MARISOL O A.Lyapunov approach to second-order sliding mode controllers and observers[C]// 47th IEEE Conference on Decision and Control,2009:2856-2861.
[18] WANG Gaolin,LI Zhuomin,ZHANG Guoqiang,et al.Quadrature PLL-based high-order sliding-mode observer for IPMSM sensorless control with online MTPA control strategy[J].IEEE Transactions on Energy Conversion,2013,28(1):214-224.
[19] JAIME A M,MARISOL O.Strict Lyapunov functions for the super-twisting algorithm[J].IEEE Transactions on Automatic Control,2012,57(4):1035-1040.
GU Mingyue, LIU Yan
(Department of Intelligent Manufacturing, Tangshan Vocational College of Science & Technology, Tangshan 063000, China)
Abstract:To improve steady-state and dynamic performance of sensorless control of permanent magnet synchronous motor with medium and high speed, and solve the problem that traditional quadrature phase-locked loop can not operate effectively when the motor is reversed, a sensorless control strategy of interior permanent magnet synchronous motor based on super-twisting sliding-mode observer and improved quadrature phase-locked loop was proposed. In the two-phase stationary coordinate system, the super-twisting function is used to replace switching function of the traditional sliding-mode observer to establish super-twisting sliding-mode observer, which can fully suppress chattering of sliding-mode and avoid using low pass filter, and can solve problems of phase delay and amplitude attenuation caused by low pass filter. The improved quadrature phase-locked loop algorithm avoids use of tangent function and uses a simple reverse electromotive force signal reconstruction strategy to obtain the error signal. Compared with the quadrature phase-locked loop algorithm based on tangent function, the improved algorithm is more simple and effective, and can make the motor reverse operation. In addition, the speed and position estimation error is small in operation process.The simulation results verify reliability and effectiveness of the control strategy.
Key words:interior permanent magnet synchronous motor; sensorless; sliding-mode observer based on super-twisting algorithm; quadrature phase-locked loop; reverse; STA-SMO
中图分类号:TD614
文献标志码:A
文章编号:1671-251X(2019)05-0085-07 DOI:10.13272/j.issn.1671-251x.2018110003
收稿日期:2018-11-01;修回日期:2019-02-29;
责任编辑:张强。
基金项目:河北省自然科学基金资助项目(2014209138)。
作者简介:谷明月(1983-),女,河北唐山人,副教授,主要研究方向为电气自动化,E-mail:gumingyue456@163.com。
引用格式:谷明月,刘艳.内置式永磁同步电动机无位置传感器控制策略[J].工矿自动化,2019,45(5):85-91.
GU Mingyue, LIU Yan. Sensorless control strategy of interior permanent magnet synchronous motor[J].Industry and Mine Automation,2019,45(5):85-91.