张梅梅1, 郝剑奇2
(1.宿迁经贸高等职业技术学校 机电系, 江苏 宿迁 223800;2.中国矿业大学 电气与动力工程学院, 江苏 徐州 221008)
摘要:针对单矢量预测控制方法存在控制自由度少、电流和转矩纹波大的问题,提出了一种三相四开关逆变器供电的永磁同步电动机脉冲序列预测控制方法。构造了两类包含3个电压空间矢量的对称型脉冲序列,利用电流参考值跟踪成本函数来选取优化脉冲序列;给出了电流参考值跟踪目标下的占空比计算公式,并通过调节直流分量对占空比进行补偿,从而实现直流母线电容电压平衡。仿真结果表明,该方法能实现电流参考值跟踪和母线电容电压平衡,有效减小了电流纹波和转矩脉动。
关键词:三相四开关逆变器; 永磁同步电动机; 脉冲序列预测控制; 占空比; 电容电压平衡; 电流参考值跟踪
永磁同步电动机(Permanent Magnet Synchronous Motor,PMSM)具有结构简单、效率高、功率因数高等优点,由两电平电压源型逆变器[1-3]供电的PMSM被广泛应用于矿用蓄电池电动机车、新能源单轨吊、采煤机、刮板输送机、带式输送机、提升机等矿山电力传动场合。三相四开关逆变器[4-6]作为两电平电压源型逆变器的一种容错拓扑结构,能够在两电平电压源型逆变器单相功率开关器件故障情况下实现容错运行,有利于提高PMSM运行可靠性,减小故障停机带来的经济损失。
预测控制作为一种根据系统离散数学模型预测状态变量未来轨迹的控制方法[7-10],在三相四开关逆变器供电的PMSM驱动系统中具有广阔的应用前景。单矢量预测控制通过计算各电压空间矢量对应的电流参考值跟踪与电容电压平衡的成本函数,选取使得成本函数最小的电压空间矢量作为优化输出[11-13]。由于单个控制周期内只采用单个电压空间矢量,控制自由度少,造成较大的电流和转矩纹波,降低了PMSM驱动系统运行性能。本文基于多矢量预测控制[14-15],提出了一种三相四开关逆变器供电的PMSM脉冲序列预测控制方法,通过构造脉冲序列的方式在单个控制周期内引入3个电压空间矢量,可增加控制自由度,减小PMSM电流和转矩纹波。
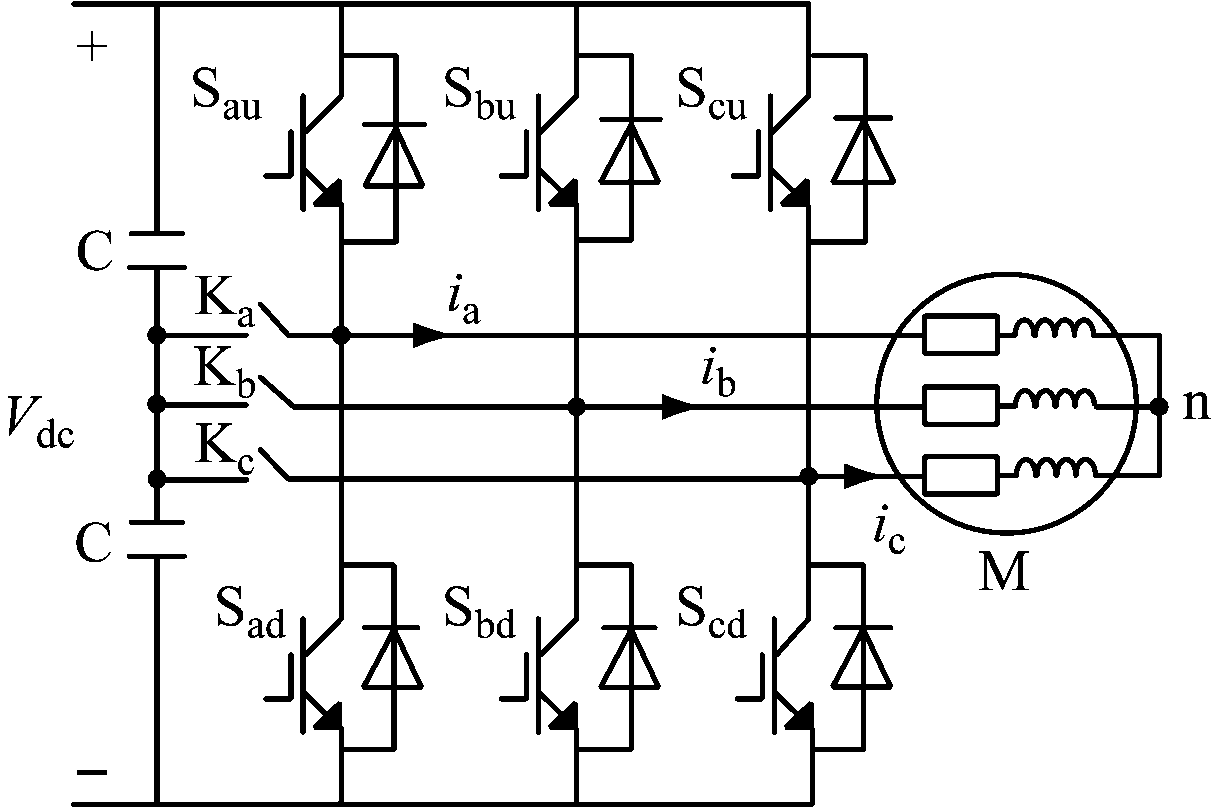
两电平电压源型逆变器拓扑如图1(a)所示,其中Vdc为直流母线电压,C为直流母线电容,Sju,Sjd分别为j(j=a,b,c)相上下开关管,Kj为双向晶闸管,ij为PMSMj相电流,n为PMSM定子绕组中性点。当两电平电压源型逆变器正常运行时,三相双向晶闸管处于关断状态。当其中一相(如a相)出现开路故障时,该相双向晶闸管闭合,将故障相连接至直流母线电容中点,重构如图1(b)所示的三相四开关逆变器拓扑,实现PMSM驱动系统的容错运行。

(a) 两电平电压源型逆变器

(b) 三相四开关逆变器
图1 两电平电压源型逆变器及三相四开关逆变器拓扑
Fig.1 Topologies of two-level voltage-source inverter and three-phase four-switch inverter
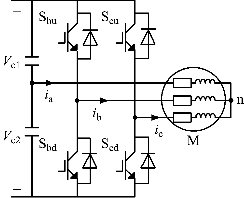
图1(b)中Sju与Sjd(j=b,c)开关状态互补,上开关管Sju开通记作状态“1”,输出相电压为Vc1,下开关管Sjd开通记作状态“0”,输出相电压为-Vc2。b,c相的开关状态组合可在两相静止坐标系下构成4个电压空间矢量V1—V4,V1—V4的位置与上下直流母线电容电压Vc1,Vc2有关,如图2所示。以V2(1,0)为例,其对应的b相开关状态为“1”,c相开关状态为“0”。定义处于α轴上方的区域为E1扇区,处于α轴下方的区域为E2扇区。

(a)Vc1=Vc2

(b)Vc1<Vc2

(c)Vc1>Vc2
图2 三相四开关逆变器电压空间矢量
Fig.2 Voltage space vectors for three-phase four-switch inverter
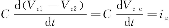
三相四开关逆变器安全工作的前提是上下直流母线电容电压平衡,上下直流母线电容电压差值Vc_e可按式(1)计算:
(1)
采用前向欧拉法对式(1)离散化,可得
Vc_e(k+1)=Vc_e(k)+iaTs/C
(2)
式中:k为控制周期数;Ts为控制周期。
在同步旋转坐标系下,PMSM电流方程为

(3)
式中:id,iq分别为d,q轴电流;ud,uq分别为d,q轴电压;R为定子电阻;ωe为电角速度;Ld,Lq分别为d,q轴电感;ψf为转子磁链。
同样采用前向欧拉法可得PMSM电流离散模型:

(4)
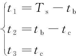
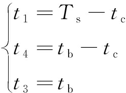
根据最近三矢量原则[16],当参考电压空间矢量处于E1扇区,选用V1—V33个电压空间矢量合成参考电压空间矢量,其对应的脉冲序列如图3(a)所示,定义为脉冲序列1。当参考电压空间矢量处于E2扇区,选用V1,V3和V43个电压空间矢量合成参考电压空间矢量,其对应的脉冲序列如图3(b)所示,定义为脉冲序列2。脉冲序列对称设计,对称轴为1个Ts的中间时刻,tb,tc分别为b,c相上开关管处于开通状态的时间,t1—t4分别为V1—V4作用时间。

(a) 脉冲序列1

(b) 脉冲序列2
图3 脉冲序列
Fig.3 Pulse sequence
对于脉冲序列1,tb>tc,t1—t3满足:

(5)
对于脉冲序列2,tb<tc,t1,t3,t4满足:

(6)
三相四开关逆变器供电的PMSM脉冲序列预测控制通过脉冲序列方式在单个控制周期内引入3个电压空间矢量,以增加控制自由度。
脉冲序列1与脉冲序列2均采用电压空间矢量V1,V3,区别在于脉冲序列1采用电压空间矢量V2,脉冲序列2采用电压空间矢量V4。因此,可通过比较V2与V4对应的电流参考值跟踪成本函数值来选取优化脉冲序列:
(7)
式中:Fop为优化脉冲序列类型,Fop=1时选取脉冲序列1作为优化脉冲序列,Fop=2时选取脉冲序列2作为优化脉冲序列;g1为电流参考值跟踪成本函数。
(8)
式中:
分别为d,q轴电流参考值;id(k+1),iq(k+1)分别为根据式(4)计算的d,q轴电流预测值。
脉冲序列预测控制的优化目标之一为电流参考值的跟踪,其含义是在当前控制周期结束时使电流达到其参考值。d轴电流参考值跟踪原理如图4所示,其中id(k)为当前控制周期的d轴电流采样值,id(t)为d轴电流实际值。
以Fop=1的情况为例,根据图4(a),并结合式(5)可得
(9)
式中:k1d—k3d和k1q—k3q分别为电压空间矢量V1—V3对应的d,q轴电流变化斜率;iq(k)为当前控制周期的q轴电流采样值。

(a)Fop=1

(b)Fop=2
图4d轴电流参考值跟踪原理
Fig.4 Principle ofd-axis current reference value tracking
由式(9)可得

(10)
式中:![]()
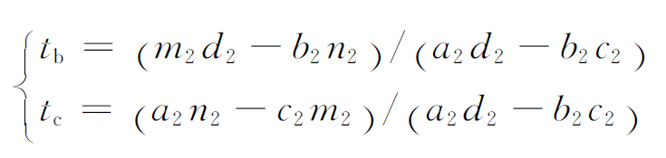
同理,对于Fop=2的情况,tb,tc可按式(11)求取:

(11)
式中:![]()
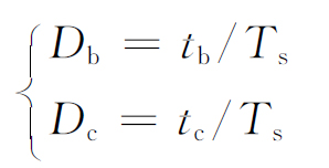
计算得到的tb,tc需经过限幅环节将其限制在[0,Ts]范围内。因此,b,c相占空比Db,Dc为

(12)
分别采用电压空间矢量V1,V3时对应的a相相电压分别为2Vc2/3,-2Vc1/3,因此在电压空间矢量V1作用下能增大ia,而在电压空间矢量V3作用下能减小ia。结合式(2),可通过向Db,Dc中叠加补偿量Δd来调节V1,V3作用时间,从而实现电容电压平衡。
(13)
式中
为补偿后的b,c相占空比。
当Δd>0时,V1作用时间增加,V3作用时间减小,相当于向ia中注入正的直流分量;当Δd<0时,V1作用时间减小,V3作用时间增加,相当于向ia中注入负的直流分量。
电容电压平衡控制策略如图5所示。采用低通滤波器(Low Pass Filter,LPF)提取电容电压差值Vc_e中的直流分量,并与参考值0作差后经过比例积分(Proportional Integral,PI)控制器得到补偿量Δd,通过调节向ia中注入的直流分量实现上下直流母线电容电压平衡。
图5 电容电压平衡控制策略
Fig.5 Capacitor voltage balance control strategy
为验证本文脉冲序列预测控制的有效性,在Matlab/Simulink中搭建仿真模型,仿真参数:控制周期为100 μs,逆变器直流母线电压为540 V,上下直流母线电容均为4.2 mF;PMSM极对数为4,定子电阻为0.1 Ω,d,q轴电感分别为1,2 mH,永磁体转子磁链为0.225 Wb,给定转速为1 000 r/min;仿真时间为2 s,0~1 s时负载转矩为50 N·m,1 s时负载转矩突变为80 N·m。仿真中转速环均采用PI控制器。
采用单矢量预测控制的仿真结果如图6所示。从图6(a)、图6(b)可看出,单矢量预测控制能实现电流参考值跟踪,但d,q轴电流纹波较大;从图6(c)可看出,三相电流中含有较多谐波,经快速傅里叶分析可得0.98~1.00 s时电流总谐波畸变率(Total Harmonic Distortion,THD)为20.46%,1.00~1.02 s时电流THD为13.32%;从图6(d)可看出,转矩脉动较大,0.98~1.00 s时转矩脉动峰峰值超过20 N·m,1.00~1.02 s时转矩脉动峰峰值接近40 N·m;从图6(e)可看出,上下直流母线电容电压均在270 V(直流母线电压的1/2)附近波动,达到上下直流母线电容电压平衡的目标。
采用脉冲序列预测控制的仿真结果如图7所示。从图7(a)、图7(b)可看出,脉冲序列预测控制能实现电流参考值的跟踪,与图6(a)、图6(b)相比,d,q轴电流纹波大大降低;从图7(c)可看出,三相电流正弦度较高,与图6(c)相比,所含谐波成分大幅减少,0.98~1.00 s时电流THD为7.69%,1.00~1.02 s时电流THD为4.82%,电流THD分别减小了约62.4%,63.8%,电流质量得到提升;从图7(d)可看出,0.98~1.00 s时转矩脉动峰峰值小于5 N·m,1.00~1.02 s时转矩脉动峰峰值小于6 N·m,与图6(d)相比,转矩脉动峰峰值分别减小了75%,85%,转矩脉动得到有效抑制;从图7(e)可看出,上下直流母线电容电压均在270 V上下波动,实现了上下直流母线电容电压平衡。

(a)id波形

(b)iq波形

(c) 三相电流波形

(d) 转矩波形

(e) 电容电压波形
图6 单矢量预测控制仿真结果
Fig.6 Simulation results of single vector predictive control
提出了一种三相四开关逆变器供电的PMSM脉冲序列预测控制方法。构造了两类包含3个电压空间矢量的对称型脉冲序列,利用电流参考值跟踪成本函数来选取优化脉冲序列;给出了采用优化脉冲序列时电流参考值跟踪目标下的占空比计算公式,并通过调节直流分量对占空比进行补偿,从而实现直流母线电容电压平衡。仿真结果表明,该方法能实现电流参考值跟踪和母线电容电压平衡,有效减小了电流纹波和转矩脉动。

(a)id波形

(b)iq波形

(c) 三相电流波形

(d) 转矩波形

(e) 电容电压波形
图7 脉冲序列预测控制仿真结果
Fig.7 Simulation results of pulse sequence predictive control
参考文献:
[1] 吴翔,谭国俊,叶宗彬,等.三相电压源型逆变器的多目标满意优化脉宽调制策略[J].中国电机工程学报,2016,36(6):1674-1685.
WU Xiang,TAN Guojun,YE Zongbin,et al.Pulse width modulation strategy for three-phase voltage source inverters based on multi-objective satisfactory optimization[J].Proceedings of the CSEE,2016,36(6):1674-1685.
[2] WU Xiang,TAN Guojun,YE Zongbin,et al.Optimized common-mode voltage reduction PWM for three-phase voltage source inverters[J].IEEE Transactions on Power Electronics,2016,31(4):2959-2969.
[3] TAN Guojun,WU Xiang,WANG Zhichuan,et al.A generalized algorithm to eliminate spikes of common-mode voltages for CMVRPWM[J].IEEE Transactions on Power Electronics,2016,31(9):6698-6709.
[4] 张满,王涛,李志新.三相四开关有源电力滤波器故障诊断研究[J].工矿自动化,2016,42(11):59-63.
ZHANG Man,WANG Tao,LI Zhixin.Study on fault diagnosis of three-phase four-switch active power filters[J].Industry and Mine Automation,2016,42(11):59-63.
[5] 袁庆伟,赵荣祥.三相四开关逆变器供电的IPMSM直接转矩控制系统建模与分析[J].电工技术学报,2017,32(15):76-88.
YUAN Qingwei,ZHAO Rongxiang.Modeling and analysis of the direct torque control system for IPMSM fed by three-phase four-switch inverter[J].Transactions of China Electrotechnical Society,2017,32(15):76-88.
[6] ZENG Zhiyong,ZHU Chong,JIN Xiaoliang,et al.Hybrid space vector modulation strategy for torque ripple minimization in three-phase four-switch inverter-fed PMSM drives[J].IEEE Transactions on Industrial Electronics,2017,64(3):2122-2134.
[7] 曹晓冬,杨世海,纪峰,等.基于模型预测控制的防爆变频器低损耗控制[J].工矿自动化,2019,45(2):85-90.
CAO Xiaodong,YANG Shihai,JI Feng,et al.Low loss control of explosion-proof frequency converter based on model predictive control[J].Industry and Mine Automation,2019,45(2):85-90.
[8] 於静,莫修权,徐楠.矿山高压三电平ANPC变频器预测控制研究[J].工矿自动化,2016,42(10):85-90.
YU Jing,MO Xiuquan,XU Nan.Research on predictive control for mine high-pressure three-level ANPC inverter[J].Industry and Mine Automation,2016,42(10):85-90.
[9] SIAMI M,KHABURI D A,RIVERA M,et al.An experimental evaluation of predictive current control and predictive torque control for a PMSM fed by a matrix converter[J].IEEE Transactions on Industrial Electronics,2017,64(11):8459-8471.
[10] SU Junpan,SUN Dan.Simplified MPCC for four-switch three-phase inverter-fed PMSM[J].Electronics Letters,2017,53(16):1108-1109.
[11] 滕青芳,靳宇星,李姝湲,等.基于MRAS观测器的三相四开关逆变器驱动PMSM系统模型预测电流控制[J].信息与控制,2017,46(2):165-171.
TENG Qingfang,JIN Yuxing,LI Shuyuan,et al.Model predictive current control for PMSM systems driven by a three-phase four-switch inverter based on a MRAS observer[J].Information and Control,2017,46(2):165-171.
[12] 金楠,衡龙雨,马孝强,等.电容均压三相四开关变换器预测功率控制[J].电机与控制应用,2018,45(5):46-51.
JIN Nan,HENG Longyu,MA Xiaoqiang,et al.Predictive power control of three phase four switch converter with DC-link capacitor voltage balancing[J].Electric Machines & Control Application,2018,45(5):46-51.
[13] 徐海奇,何凤有,曹晓冬,等.三相四开关逆变器供电永磁同步电机预测转矩控制[J].电机与控制应用,2015,42(2):16-20.
XU Haiqi,HE Fengyou,CAO Xiaodong,et al.Predictive torque control of a four-switch three phase inverter fed PMSM[J].Electric Machines & Control Application,2015,42(2):16-20.
[14] ZHOU Dehong,LI Xiaoqiang,TANG Yi.Multiple-vector model-predictive power control of three-phase four-switch rectifiers with capacitor voltage balancing[J].IEEE Transactions on Power Electronics,2018,33(7):5824-5835.
[15] LIN C K,YU J T,LAI Y S,et al.Two-vector-based modeless predictive current control for four-switch inverter-fed synchronous reluctance motors emulating the six-switch inverter operation[J].Electronics Letters,2016,52(14):1244-1246.
[16] 陆原,赵江峰,刘泰廷.SVPWM调制的直接矢量控制算法研究[J].电测与仪表,2018,55(8):87-91.
LU Yuan,ZHAO Jiangfeng,LIU Taiting.Research on SVPWM modulation algorithm with direct vector control[J].Electrical Measurement & Instrumentation,2018,55(8):87-91.
ZHANG Meimei1, HAO Jianqi2
(1.Department of Mechanical and Electrical, Suqian Higher Vocational and Technical School of Economics and Trade, Suqian 223800, China; 2.School of Electrical and Power Engineering, China University of Mining and Technology, Xuzhou 221008, China)
Abstract:In view of problems of less control degree of freedom and large ripple of current and torque in single vector predictive control method, a pulse sequence predictive control method of permanent magnet synchronous motor powered by three-phase four-switch inverter was proposed. Two kinds of symmetrical pulse sequences with three voltage space vectors are constructed, and the optimal pulse sequence is selected by using cost function of current reference value tracking. Calculation formula of duty cycle under current reference value tracking target is given, and the duty cycle is compensated by adjusting DC component to achieve DC bus capacitor voltage balance. The simulation results show that the method can track current reference value and balance bus capacitor voltage, which effectively reduces current ripple and torque ripple.
Key words:three-phase four-switch inverter; permanent magnet synchronous motor; pulse sequence predictive control; duty cycle; capacitor voltage balance; current reference value tracking
中图分类号:TD614
文献标志码:A
文章编号:1671-251X(2019)05-0079-06 DOI:10.13272/j.issn.1671-251x.2019010019
收稿日期:2019-01-07;修回日期:2019-04-19;
责任编辑:盛男。
基金项目:江苏省高等学校自然科学研究面上项目(18KJB470009)。
作者简介:张梅梅(1983—),女,江苏沭阳人,讲师,硕士,主要研究方向为电工,E-mail:zhangmeimei_1983@126.com。
引用格式:张梅梅,郝剑奇.三相四开关逆变器供电的永磁同步电动机脉冲序列预测控制[J].工矿自动化,2019,45(5):79-84.
ZHANG Meimei, HAO Jianqi.Pulse sequence predictive control of permanent magnet synchronous motor powered by three-phase four-switch inverter[J].Industry and Mine Automation,2019,45(5):79-84.