冯柳, 赫佳峦
(中国矿业大学(北京) 机电与信息工程学院, 北京 100083)
摘要:针对传统的四线圈磁耦合谐振式无线电能传输系统的四线圈位置相对固定、不得随意改变,从而导致使用局限性的问题,提出了一种新型的四线圈结构:电源线圈、负载线圈分别与集总电容相连接,形成电源谐振回路和负载谐振回路,电源线圈可与发射线圈产生磁谐振,负载线圈可与接收线圈产生磁谐振,同时可以改变4个线圈的相对位置,适当调整4个线圈之间距离。该结构不仅可增加无线电能的传输距离,还可改善频率分裂,使系统输出功率和传输效率最大。仿真与实验分析了4个线圈之间的不同耦合系数组合对系统传输效率和输出功率的影响,结果表明,电源线圈与发射线圈之间的耦合系数越大,系统的传输效率越高,随着耦合系数的增大,传输效率先增大后减小;输出功率和传输效率随着负载线圈和接收线圈之间的传输距离的增加而明显减小,针对不同的传输距离,调整负载线圈和接收线圈之间的距离,可使系统获得同一负载下的最大传输效率及输出功率。
关键词:磁耦合谐振式无线电能传输; 四线圈结构; 耦合系数; 频率分裂; 传输效率;输出功率
无线电能传输是借助于电磁场或电磁波进行能量传递的一种技术。根据传输机理的不同,无线电能传输可以分为电磁辐射式[1]、电场耦合式[2]和磁场耦合式[3]3种,目前,磁耦合共振无线电能传输越来越受到人们的重视。尤其是在2006年美国麻省理工学院提出了磁耦合共振无线电能传输技术[4],从而使得中等距离无线电能传输技术取得了巨大成就,将无线电能传输技术提升到了一个新的高度,引起了研究人员的普遍关注[5]。
对于煤矿井下而言,有导线的直接供电方式容易因为导电绝缘的损坏或老化等导致火灾等情况的发生,而且煤矿井下有甲烷等易燃易爆气体,遇火容易发生爆炸,严重威胁到井下人员的安全。无线电能传输系统借助电磁场或电磁波进行电能传输,使煤矿井下的工作环境更为安全。而且无线电能传输系统的研究成果和技术的提高对保障矿井安全监控系统的长时间正常工作,保证井下人员在灾难发生时及时被救援具有重要的意义和作用。
磁耦合谐振式无线电能传输系统主要包含两线圈及四线圈2种模型。两线圈模型的结构相对简单,只有2个谐振回路[6-7],对应的只有2个谐振线圈,系统电源直接作为发射端谐振回路的激励源,接收端的输出直接给负载供电。两线圈无线电能传输系统在传输距离较小时,比较容易出现频率分裂现象,导致传输效率和输出功率降低。四线圈无线电能传输系统较为复杂,有4个线圈,分别是电源线圈、发射线圈、接收线圈与负载线圈。传统的四线圈无线电能传输系统也只具有2个谐振回路,分别是发射端谐振回路和接收端谐振回路。电源线圈与发射线圈之间的能量及接收线圈与负载线圈之间的能量均以电磁感应方式进行传输,根据电磁感应原理[8],其实现条件为电源线圈与发射线圈的距离很近,同时接收线圈与负载线圈的距离也很近,使用方式很受限制。为此,本文提出了一种新型的磁耦合谐振式无线电能传输系统四线圈结构,电源线圈、负载线圈分别与集总电容相连接,再形成电源谐振回路和负载谐振回路,这样电源线圈可以与发射线圈产生磁谐振,负载线圈可以与接收线圈产生磁谐振,同时可以改变4个线圈的相对位置,这样系统使用起来会更加灵活。调整适当4个线圈之间的距离,不仅可以增加无线电能的传输距离,也可以改善频率分裂,使系统的输出功率和传输效率最大,为进一步研究磁耦合谐振式无线电能传输系统的四线圈结构提供了新的理论基础。
为了验证所提出的四线圈结构的可靠性,建立了传输效率和输出功率模型,并用 Matlab详细仿真分析了四线圈无线电能传输系统线圈之间的耦合系数和传输效率与输出功率之间的关系,搭建了四线圈磁耦合谐振式无线电能传输系统进行实验分析。仿真分析和实验结果表明,电源线圈与发射线圈之间的耦合系数越大越好,可以极大地提高四线圈磁耦合谐振式无线电能传输系统的传输效率,并且针对不同的传输距离,调整负载线圈和接收线圈之间的距离,可以使系统获得同一负载下的耦合系数的最优匹配,从而得到最大的传输效率及输出功率。
四线圈磁耦合谐振式无线电能传输系统主要由高频交流电源、电源线圈、发射线圈、接收线圈、负载线圈和负载构成,如图1所示。4个线圈的谐振频率大小一致,其中电源线圈和发射线圈、接收线圈和负载线圈距离比较近,为近距耦合;发射线圈和接收线圈距离相对较远,为远距耦合。四线圈磁耦合谐振式无线电能传输系统工作原理:电源线圈在高频交流电源的作用下产生交变的电磁场,这时发射线圈和电源线圈发生谐振,能量从电源线圈传输到发射线圈,产生转移,由于4个线圈具有相同的谐振频率,所以,能量最终传递给负载线圈,输出给负载供电[9]。

图1 四线圈磁耦合谐振式无线电能传输系统结构
Fig.1 Structure of magnetically coupled resonant wireless power transmission system based on four coils
磁耦合谐振式无线电能传输系统通常有3种分析方法:一种是通过耦合模理论[10-11]建立模型分析,另一种是通过二端口网络[12-13]建立模型分析,最后一种是通过电路理论建立模型分析。但通过耦合模理论和二端口网络建模分析不能直观地看出系统各参数对系统传输效率和输出功率的影响,所以,本文采用电路理论[14]建模对磁耦合谐振式无线电能传输系统进行分析。
根据图1建立如图2所示的系统等效电路。

图2 四线圈磁耦合谐振式无线电能传输系统等效电路
Fig.2 Equivalent circuit of magnetically coupled resonant wireless power transmission system based on four coils
图2中,R1、R2、R3、R4和L1、L2、L3、L4分别为电源线圈、发射线圈、接收线圈和负载线圈的损耗电阻和电感;I1、I2、I3、I4分别为电源回路、发射回路、接收回路和负载回路的电流;RS为电源等效内阻;US为高频交流电源;RL为负载电阻;C1、C2、C3、C4分别为电源线圈、发射线圈、接收线圈和负载线圈补偿电容;kij为第i个和第j个线圈之间的耦合系数,i,j=1,2,3,4。
电源线圈、发射线圈、接收线圈和负载线圈同时谐振,也就是说,系统发生全谐振时,可以得到最佳的系统性能。为了获得系统全谐振状态,可设置如下谐振参数:R1=R2=R3=R4=R,C1=C2=C3=C4=C,L1=L2=L3=L4=L。另外,与相邻耦合系数k12,k23,k34相比,交叉耦合系数k13,k14,k24比较小,可忽略不计。
对于无线电能传输系统的输出功率和传输效率,根据等效电路可以列出基尔霍夫电压定律(KVL)方程:

(1)
式中:Zi为第i个谐振回路中的阻抗;ω为角频率;Mij为第i个和第j个线圈之间的互感。
Zi的计算公式为
(2)
(3)
(4)
(5)
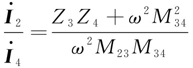
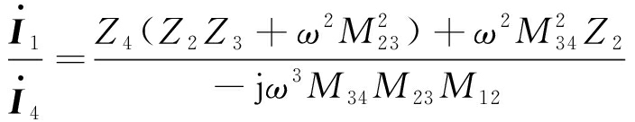
通过式(1)可求出:
(6)
(7)
(8)
(9)
当四线圈产生谐振时,可以得出输出功率POUT为
(10)
根据输出功率POUT和输入功率PIN,可以求得传输效率η为
η=![]()

(11)

公式中耦合系数用
计算,互感用
近似计算,μ0为真空磁导率,ri,rj为第i个和第j个线圈的半径,Ni,Nj为第i个和第j个线圈的匝数,dij为第i个和第j个线圈的间距。
由于传输效率和输出功率的表达式比较复杂,直接求它们的最大值并不容易,并且很难反映出传输效率和输出功率随线圈耦合系数发生变化的规律。所以,在其他相关参数不变的情况下,利用Matlab函数绘图进行详细分析,可以清楚直观地得到传输效率和输出功率随耦合系数k12、k23和k34的变化规律。
传输效率η随耦合系数k12和k23的变化关系如图3所示。由图3可看出,随着k12的增大,传输效率也增高,电源线圈与发射线圈之间的距离越小越好;随着k23的增大,传输效率先增大后减小,并且具有一个最佳的k23使传输效率最高,然而,k23在大于0.8的范围内,传输效率变化不明显,变化曲线基本保持不变。所以,对于四线圈磁耦合谐振式无线电能传输系统,选择合适的耦合系数k12和k23匹配关系对提高系统的传输效率有很大的作用。

图3 传输效率η随耦合系数k12和k23的变化关系
Fig.3 Relationship between change of transmission
efficiencyηwith coupling coefficientk12andk23
传输效率η随耦合系数k12和k34的变化关系如图4所示,从图4可以看出,随着k12的增大,传输效率增高;随着k34的增大,传输效率先逐渐增大,后减小,所以,存在一个最佳的耦合系数k34使系统传输效率最高。

图4 传输效率η随耦合系数k12和k34的变化关系
Fig.4 Relationship between change of transmission efficiencyηwith coupling coefficientk12andk34
由图3和图4可以看出,电源线圈与发射线圈之间的耦合系数k12越大越好,2个线圈之间的距离越小越好。所以,可以将这2个线圈绕制成一个双线圈以减小距离,增大耦合系数。通常发射线圈与接收线圈之间的距离d为系统的有效传输距离,在实际应用环境中通常它的值是不变的。
输出功率POUT随耦合系数k34和k23的变化关系如图5所示。从图5可以看出,输出功率随着k23的增大,先增大后逐渐减小,随着k34的增大,先增大再迅速减小。

图5 输出功率POUT随耦合系数k34和k23的变化关系
Fig.5 Relationship between change of output powerPOUTwith coupling coefficientk34andk23
为了分析系统输出功率和传输效率随可变因素变化的规律,设计制作了一套四线圈磁耦合谐振式无线电能传输系统,通过实验来验证前述仿真分析的正确性。设计的实验平台主要包括高频信号发生器、矢量分析仪、频谱分析仪、阻抗分析仪、功率放大器、示波器等。高频信号发生器输出4.26 MHz正弦波,输出信号经功率放大器后接入电源线圈。频谱分析仪用来解析发射端和接收端信号,阻抗分析仪用于测量线圈的电容和电感,负载线圈接有50 Ω的标准负载电阻,通过示波器观察标准负载电阻上的电压波形。矢量分析仪用来测量系统的S参数,进而得到系统传输效率。
首先,在系统的工作频率和负载电阻不变的情况下,保持接收线圈与负载线圈的间距d34大小为定值,改变电源线圈与发射线圈的间距d12,得到传输效率在不同传输距离下的变化趋势,根据实验数据绘制传输效率与d12的关系,如图6所示。 由图6可以看出,随着d12的增大,传输效率逐渐变小,即随着电源线圈与发射线圈之间的耦合系数k12的增大,传输效率逐渐增大,这与前面仿真模型得到的结果一致。所以,电源线圈与发射线圈之间的耦合系数k12越大越好,也就是说它们之间的距离越小越好。所以,将这2个线圈绕制成一个双线圈可以减小线圈之间的距离,增大系统的传输效率。

图6 不同传输距离下的传输效率η与d12的关系
Fig.6 Relationship between transmission efficiencyη
andd12at different transmission distances
把电源线圈与发射线圈绕成一个双线圈后,电源线圈与发射线圈之间的距离保持不变。同样保持系统的工作频率和负载电阻不变,改变接收线圈与负载线圈的间距d34的大小,得到输出功率在不同传输距离下的变化趋势,根据实验数据绘制输出功率POUT与d34的关系及传输效率η与d34的关系,如图7和图8所示。

图7 不同传输距离下的输出功率POUT与d34的关系
Fig.7 Relationship between output powerPOUTandd34at
different transmission distances

图8 不同传输距离下的传输效率η与d34的关系
Fig.8 Relationship between transmission efficiencyηandd34at different transmission distances
从图7可看出,输出功率随着传输距离的增大而明显减小。输出功率随着d34的增大先增大后减小。根据线圈的耦合特性,传输距离越远,耦合系数越小,也就是说输出功率随着耦合系数k34的增大,也是先增大后减小,与前面仿真模型分析结果一致。
从图8可以看出,传输效率随着传输距离的增大而减小。从能量损耗的角度来说比较容易理解这种现象,系统的谐振频率在距离增大之后会出现一定幅度的误差,从而使发射线圈产生一定的功率损耗,其接收线圈本身存在内阻以及损耗电阻,这2个部分会使得系统损失一部分输出功率,从而降低传输效率[15]。同时由图8还可以看出,随着d34的增大,传输效率先增大后减小,即传输效率随着耦合系数k23的增大,先增大后减小,与前面仿真理论分析相符。
综上所述,在四线圈磁耦合谐振式无线电能传输系统中,当传输距离为12 cm时,负载线圈和接收线圈之间的距离为10 cm,得到的输出功率最大。此时对应的传输效率约为0.7,表明该距离下的耦合系数k34可使系统得到最佳的传输效率,同时负载可获得最大输出功率。当传输距离为22 cm时,负载线圈和接收线圈之间的距离为14 cm,得到的输出功率最大,此时对应的传输效率约为0.6,表明该距离下的耦合系数k34可使系统得到最佳的传输效率,同时负载可获得最大输出功率。当传输距离为32 cm时,负载线圈和接收线圈之间的距离为15 cm,得到的输出功率最大, 此时对应的传输效率约为0.4,表明该距离下的耦合系数k34可使系统得到最佳的传输效率,同时负载可获得最大输出功率。由此可见,可以通过改变负载线圈和接收线圈之间的距离,使四线圈无线电能传输系统获得在不同传输距离、同一负载下的最优匹配。
由实验结果可知,电源线圈与发射线圈之间的耦合系数越大越好,最大程度地减小2个线圈之间的距离,增大其耦合系数,可以极大地提高四线圈磁耦合谐振式无线电能传输系统的传输效率。同时针对不同的传输距离,调整负载线圈和接收线圈之间的距离,可以使系统获得同一负载下的耦合系数的最佳组合,从而得到最大的传输效率及输出功率。
(1) 用等效电路理论,推导出耦合系数与输出功率、传输效率的关系式,研究了各线圈之间的耦合系数对系统输出功率和传输效率的影响。
(2) 分析了电源线圈与发射线圈之间的距离与传输效率、输出功率之间的关系,得到电源线圈与发射线圈之间的距离越小越好的结论,即它们之间的耦合系数越大越好,这2个线圈之间的距离越小,系统的传输效率越高。
(3) 由于传输距离一般是固定不变的,负载线圈和接收线圈之间的耦合系数随着它们之间的距离增大而先增大后减小,通过改变负载线圈和接收线圈之间的距离,可以得到一个最佳的耦合系数,使系统得到同一负载下的最大传输效率及输出功率,即在传输距离不变时,存在最佳耦合系数的组合,该组合可以最大化系统的传输效率和输出功率。
参考文献:
[1] 田子建,林越,王文清,等.MIT无线输电系统电磁辐射特性研究[J].工矿自动化,2015,43(4):59-64.
TIAN Zijian,LIN Yue,WANG Wenqing,et al.Research of electromagnetic radiation characteristics of MIT wireless power transmission system[J].Industry and Mine Automation,2015,43(4):59-64.
[2] 陈阳琦,陈丽华,罗博,等.一种电场耦合式无线电能传输系统无源谐振元件电压优化方法[J].电工技术学报,2018,33(10):2237-2244.
CHEN Yangqi,CHEN Lihua,LUO Bo,et al.Voltage optimization method of passive resonant elements in electric field coupled power transmission system[J].Transactions of China Electrotechnical Society,2018,33(10):2237-2244.
[3] 赵争鸣,张艺明,陈凯楠.磁耦合谐振式无线电能传输技术新进展[J].中国电机工程学报,2013,33(3):1-13.
ZHAO Zhengming,ZHANG Yiming,CHEN Kainan.New progress of magnetically-coupled resonant wireless power transfer technology[J].Proceedings of the CSEE,2013,33(3):1-13.
[4] JOANNOPOULOS J D,KARALIS A,SOLJACIC M.Wireless non-radiative energy transfer:7741734[P].2010-06-22.
[5] KARALIS A,JOANNOPOULOS J D,SOLJACIC M.Efficient wireless non-radiative mid-range energy transfer[J].Annals of Physics,2008,323(1):33-46.
[6] 万如.四线圈电磁谐振式无线能量传输系统的研究与设计[D].广州:华南理工大学,2015:24-30.
[7] 罗恒.基于松耦合谐振式磁共振四线圈系统无线能量传输的研究[D].深圳:深圳大学,2016:36-45.
[8] 陈新,张桂香.电磁感应无线充电的联合仿真研究[J].电子测量与仪器学报,2014,28(4):434-438.
CHEN Xin,ZHANG Guixiang.Co-simulation research based on electromagnetic induction of wireless power transfer[J].Journal of Electronic Measurement and Instrumentation,2014,28(4):434-438.
[9] 朱忠尼,林洁,宋庆国,等.磁耦合谐振式无线电能传输技术发展和应用研究[J].空军预警学院学报,2014,28(1):37-43.
ZHU Zhongni,LIN Jie,SONG Qingguo,et al.Development of WPT technology with magnetic coupling resonance and its application[J].Journal of Air Force Early Warning Academy,2014,28(1):37-43.
[10] KIANI M,GHOVANLOO M.The circuit theory behind coupled-mode magnetic resonance-based wireless power transmission[J].IEEE Transactions on Circuits and Systems I:Regular Papers,2012,59(9):2065-2074.
[11] NIU W Q,GU W,CHU J X,et al.Coupled-mode analysis of frequency splitting phenomena in CPT systems[J].Electronics Letters,2012,48(12):723.
[12] FOTOPOULOU K,FLYNN B W.Wireless power transfer in loosely coupled links:coil misalignment model[J].IEEE Transactions on Magnetics,2011,47(2):416-430.
[13] 张献,杨庆新,陈海燕,等.电磁耦合谐振式无线电能传输系统的建模、设计与实验验证[J].中国电机工程学报,2012,32(21):153-158.
ZHANG Xian,YANG Qingxin,CHEN Haiyan,et al.Modeling and design and experimental verification of contactless power transmission systems via electro-magnetic resonant coupling[J].Proceedings of the CSEE,2012,32(21):153-158.
[14] 黄学良,曹伟杰,周亚龙,等.磁耦合谐振系统中的两种模型对比探究[J].电工技术学报,2013,28(增刊2):13-17.
HUANG Xueliang,CAO Weijie,ZHOU Yalong,et al.Comparative study on the two kinds of models in the technology of magnetic coupling resonance system[J].Transactions of China Electrotechnical Society,2013,28(S2):13-17.
[15] WANG Q,LI H.Research on the wireless power transmission system based on coupled magnetic resonances[C]//International Conference on Electronics,Communications and Control,2011:2255-2258.
FENG Liu, HE Jialuan
(School of Mechanical Electronic and Information Engineering, China University of Mining and Technology (Beijing), Beijing 100083,China)
Abstract:For the position of four coils of traditional four-coil magnetically coupled resonant wireless power transmission system is relatively fixed and cannot be changed at will, which leads to limitation of its use, a new four-coil structure was proposed: power coil and load coil are connected with the lumped capacitor separately to form power resonant circuit and load resonant circuit, the power coil can produce magnetic resonance with transmitting coil, the load coil can produce magnetic resonance with receiving coil. At the same time, the relative position of the four coils can be changed, the distance between the four coils can be adjusted appropriately, which not only can increase transmission distance of wireless electric energy, but also can improve frequency splitting, so as to maximize output power and transmission efficiency of the system. The effects of different coupling coefficients between the four coils on transmission efficiency and output power of the system were analyzed by simulation and experiment. The results show that the larger the coupling coefficient between the power coil and the transmitting coil is, the higher the transmission efficiency of the system will be, with the increase of the coupling coefficient, the transmission efficiency increases first and then decreases. The output power and transmission efficiency decrease obviously with the increase of the transmission distance between the load coil and the receiving coil. For different transmission distances, adjusting the distance between the load coil and the receiving coil enables the system to obtain the maximum transmission efficiency and output power under the same load.
Key words:magnetically coupled resonant wireless power transmission; four-coil structure; coupling coefficient; frequency splitting; transmission efficiency; output power
中图分类号:TD60
文献标志码:A
文章编号:1671-251X(2019)05-0073-06 DOI:10.13272/j.issn.1671-251x.17385
收稿日期:2018-12-20;修回日期:2019-02-23;
责任编辑:张强。
基金项目:国家重点研发计划专项资助项目(2016YFC0801804);国家自然科学基金资助项目(51674269)。
作者简介:冯柳(1981-),女,江西景德镇人,博士研究生,主要研究方向为无线电能传输,E-mail:fengyayaliu@126.com。
引用格式:冯柳,赫佳峦.磁耦合谐振式无线电能传输系统四线圈结构研究[J].工矿自动化,2019,45(5):73-78.
FENG Liu, HE Jialuan. Research on four-coil structure of magnetically coupled resonant wireless power transmission system[J].Industry and Mine Automation,2019,45(5):73-78.