王旭启1,2
(1.西京学院 信息工程学院, 陕西 西安 710123;2.中国矿业大学(北京) 机电与信息工程学院, 北京 100083)
摘要:不同形状的巷道内电磁波的传播特性不同,在不同次模情况下的电磁波传播特性也不相同。在分析电磁波传输理论和多波模理论的基础上,利用计算机对高次模情况下矩形巷道形状因子对电磁波传播衰减的影响进行了仿真研究。仿真结果表明,在矩形巷道形状因子一定时,随着电磁波传输模式的升高,电磁波的衰减越来越大;不同模式时,随着形状因子的增大,电磁波衰减曲线的斜率不变;水平极化模式时,随着形状因子的增大,电磁波的衰减先减小后增大,在形状因子为1.7时,衰减率最小;垂直极化模式时,随着形状因子的增大,衰减曲线也呈现先减小后增大的趋势,在形状因子为0.7时,衰减率最小;在形状因子等于1时,水平极化模式与垂直极化模式对电磁波传播衰减的影响相同,形状因子小于1时,垂直极化模式对电磁波衰减的影响大于水平极化模式,形状因子大于1时,水平极化模式对电磁波传播衰减的影响大于垂直极化模式。
关键词:煤矿井下通信;矩形巷道;形状因子;高次模;电磁波衰减;水平极化模式;垂直极化模式
煤矿安全离不开井下移动通信,完备的通信系统不仅关系到国家财产的安全,更是广大矿工生命安全的保障[1-3]。但是,井下巷道内环境极其复杂,地面成熟的通信技术不能直接应用到井下巷道。井下巷道是受限空间,电磁波的传播无法像地面那样畅通无阻,巷道截面的形状和尺寸大小对电磁波的传播都有很大的影响。
国外一些先进国家早在20世纪50、60年代就开始对电磁波在巷道内的传播特性进行了研究。矿井巷道内电磁波传播特性的影响因素包括巷道横截面积、巷道形状、电磁波传播频率、巷道围岩的介电常数以及天线极化模式等。在20世纪70、80年代,美国学者A.Emslie等[4]在多波模理论和波导模型的基础上推导分析了非理想导电壁矩形巷道中电磁波衰减的近似解,给出了最低次水平极化和垂直极化模式的衰减率表达式,通过将得到的理论结果与已有文献的实验数据进行对比分析说明该理论分析的正确性。在20世纪70年代,L.Deryck[5]通过大量实验研究了1 MHz~1 GHz频段的电磁波在不同巷道中的固有传播特性,证明了截止频率的存在,并说明在3个不同的频率范围内将会出现3种不同的传播模式。在国内,孙继平等[6-8]分析了矿山巷道内移动通信中电磁波的衰减与频率、粗糙度、倾斜度、巷道断面等的关系,利用波导模式理论研究了梯形隧道中电磁波的传播特性和等效分析方法。张会清等[9]利用射线跟踪技术综合考虑了隧道表面介电常数、反射系数、收发信机的工作频率与功率及天线增益等因素,建立了电波在矩形隧道中传播的确定预测模型,通过仿真得到了多径信道脉冲响应波形,将三维跟踪问题转化为简单的二维问题。霍羽等[10]推导了多波模作用下的电磁波衰减公式,建立了矩形巷道内多波模传输理论,得到了频率越高,高次模对电磁波传输的影响越大的结论。成凌飞等[11-12]提出了巷道形状因子的概念并研究了最低模式下形状因子对巷道内电磁波传播以及巷道内无线信道相干带宽的影响。
以上文献中针对巷道形状对电磁波传播的影响研究很少,文献[11]也只是针对最低次模情况下形状因子对电磁波传播特性的影响作出了说明,而没有对高次模时形状因子对电磁波传播特性的影响作出研究。为此,本文在分析电磁波传输理论和多波模理论的基础上,利用计算机仿真对高次模情况下矩形巷道形状因子对电磁波传播特性的影响进行研究,得出了在水平极化模式下,形状因子为1.7时电磁波衰减率最小,在垂直极化模式下,形状因子为0.7时电磁波衰减率最小的结论,这一结论丰富了煤矿井下电磁波传输方面的理论知识,同时对不同尺寸巷道内无线通信设备的设计与巷道内通信设备天线的布局具有实际指导意义。
在绝缘介质矩形巷道中的最低衰减率传播模式是基模,也就是2个(1,1)模式,电场E主要在水平和垂直方向被极化。对于水平极化模式而言,入射波的电场平行于反射面,此时入射波的磁场垂直于反射面;相反则为垂直极化模式。在此分别用Eh、Ev表示水平极化与垂直极化模式时的电场。H代表磁场,除了这些横向场分量外,还有小的纵向分量Ez,Hz及小的横向分量Hx。
巷道三维坐标如图1所示,巷道中模式的主要场分量为
Ex=E0cosk1xcosk2yexp(-k3z)
(1)
(2)
式中:Ex为X方向的电场分量;Hy为Y方向的磁场分量;E0为原点电场;x为X方向的坐标值,-a/2<x<a/2,a为巷道的宽;y为Y方向的坐标值,-b/2<y<b/2,b为巷道的高;z为Z方向的坐标值;ω为电磁波角频率;μ0为真空磁导率;k1,k2,k3分别为X,Y,Z方向的传播常数,在讨论频段内,k1和k2小于k3,这意味着电波主要沿Z方向传播,从几何光学的角度看,射线与巷道壁之间的掠射角很小。
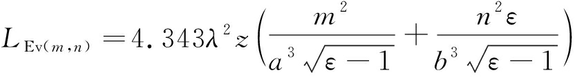
在绝缘环境巷道中,波解在横向和纵向都是行波的形式。(1,1)模式的传播常数k3是一个特征值,由电场E和磁场H在巷道壁的切向分量的连续边界条件决定。由于式(1)和式(2)只给出了简单形式,这些条件只能近似满足。但是,k3可以得到一个较好的近似。k3的虚部表示电磁波衰减率。Eh(1,1)模式的损耗LEh为

图1 巷道三维坐标
Fig.1 Three-dimensional coordinate of roadway
(3)
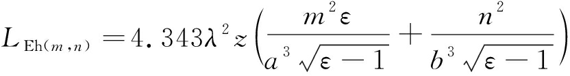
式中:λ为电磁波波长;ε为巷道壁介电常数。
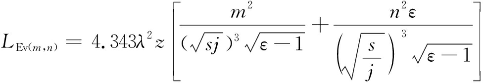
对应地,Ev(1,1)模式的损耗LEv为
(4)
对于高次模(m,n)来说,电磁波的衰减公式近似为
(5)
(6)
式中m,n代表X轴、Y轴的半波数。
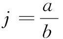
由于直接研究巷道形状对电磁波传播的影响难度比较大,所以,引入形状因子这一概念。引入形状因子可以方便直接研究巷道形状对电磁波传播的影响。文献[11]中首次提出了形状因子的概念,并将矩形巷道的形状因子定义为巷道的宽高比,即
(7)
由式(5)—式(7)可推导出(m,n)次模下形状因子对电磁波衰减的影响公式,如式(8)、式(9)所示。

(8)

(9)
式中s为巷道横截面面积。
在巷道横截面积为20 m2,巷道壁相对介电常数为5,传播距离为100 m,载波频率为1 GHz的情况下,对形状因子对电磁波衰减率的影响进行仿真。基模时形状因子对电磁波衰减的影响曲线如图2所示。

图2 基模时形状因子对电磁波衰减的影响曲线
Fig.2 Influence curves of shape factor on electromagnetic wave attenuation of fundamental mode
从图2可以看出,水平极化模式时,随着煤矿井下矩形巷道形状因子的增大,电磁波的衰减率先减小后增大,在巷道形状因子为1.7时,井下电磁波衰减率最小。对于垂直极化模式,随着巷道形状因子的增大,井下电磁波的衰减曲线也呈现先减小后增大的趋势,在巷道形状因子为0.7时,电磁波衰减率最小。在矩形巷道形状因子为1时,在(1,1)模式下,2种极化模式对电磁波传播的衰减影响相同。
在水平极化与垂直极化模式下,在高次模时矩形巷道形状因子对电磁波衰减的影响曲线如图3、图4所示。

图3 不同水平极化模式时形状因子对电磁波衰减的影响曲线
Fig.3 Influence curves of shape factor on electromagnetic wave attenuation under conditions of different horizontal polarization modes
从图3可以看出,随着模式的升高,矩形巷道形状因子对井下电磁波传播衰减率的影响越来越大,在(1,1)模式时影响最小。随着模式的升高,电磁波随巷道形状因子增大,衰减的曲线的最低点越来越大,但其对应的巷道的形状因子不变,仍是1.7。随着矩形巷道形状因子的增大和模式的升高,电磁波衰减曲线的斜率保持不变,呈现平行状态。说明在水平极化模式下,形状因子一定时,模式越高,井下矩形巷道内电磁波的衰减率越大。

图4 不同垂直极化模式时形状因子对电磁波衰减的影响曲线
Fig.4 Influence curves of shape factor on electromagnetic wave attenuation under conditions of different
vertical polarization modes
从图4可以看出,在煤矿井下矩形巷道内,电磁波在垂直极化模式下传播时,随着矩形巷道形状因子的增大,电磁波的衰减率先减小后增大。模式越高,随着矩形巷道形状因子的增大,电磁波衰减曲线的最低点越来越大,但是对应的形状因子保持在0.7不变,随着矩形巷道形状因子的增大和模式的升高,曲线的斜率保持不变。这说明在垂直极化模式下,在矩形巷道形状因子一定时,模式越高,井下矩形巷道内电磁波的衰减率越大。
对高次模下矩形巷道内垂直极化模式和水平极化模式下形状因子对电磁波衰减的影响进行对比,结果如图5所示。从图5可以看出,在矩形巷道形状因子为1时,2种极化模式下,随着形状因子的变化,电磁波的衰减曲线出现了交点,即在矩形巷道形状因子为1时,在不同次模下,垂直极化模式与水平极化模式对电磁波衰减的影响相同,也就是说,在煤矿井下巷道宽度与高度相同时,垂直极化模式与水平极化模式对电磁波传播衰减的影响相同。在矩形巷道形状因子小于1时,垂直极化模式对电磁波衰减的影响大于水平极化模式,形状因子大于1时,水平极化模式对电磁波传播衰减的影响大于垂直极化模式。
(1) 在水平极化模式时,随着矩形巷道形状因子的增大,电磁波的衰减先减小后增大,在矩形巷道形状因子为1.7时,衰减率最小;对于垂直极化模式,随着矩形巷道形状因子的增大,衰减曲线呈现先减小后增大的趋势,在矩形巷道形状因子为0.7时,衰减率最小。

图5 几种模式下形状因子对电磁波衰减的影响曲线
Fig.5 Influence curves of shape factor on electromagnetic wave attenuation under conditions of several modes
(2) 对于水平极化模式和垂直极化模式而言,在矩形巷道形状因子一定时,随着模式的升高,电磁波传播衰减率越来越大,在(1,1)模式时最小。不同模式时,随着形状因子的增大,电磁波衰减曲线斜率相同,呈现平行状态。
(3) 在形状因子等于1时,水平极化模式与垂直极化模式对电磁波传播衰减的影响相同;形状因子小于1时,垂直极化模式对电磁波衰减的影响大于水平极化模式;形状因子大于1时,水平极化模式对电磁波传播衰减的影响大于垂直极化模式。
参考文献:
[1] 张立亚.全矿井融合通信系统研究[J].工矿自动化,2018,44(3):12-16.
ZHANG Liya.Research on mine integrated communication system[J].Industry and Mine Automation,2018,44(3):12-16
[2] ZHENG G X,SHENG J H,ZHANG Y P.Propagation of UHF radio waves in trapezoidal tunnels[J].Microwave & Optical Technology Letters,2015,20(5):295-297.
[3] FOROOSHANI A E,BASHIR S, MICHELSON D G,et al.A survey of wireless communications and propagation modeling in underground mines[J].IEEE Communications Surveys & Tutorials,2013,15(4):1524-1545.
[4] EMSLIE A,LAGACE R,STRONG P.Theory of the propagation of UHF radio waves in coal mine tunnels[J].IEEE Transactions on Antennas and Propagation,1975,23(2):192-205.
[5] DERYCK L,Natural propagation of electromagnetic waves in tunnels[J].IEEE Transactions on Vehicular Technology,1978,127(3):145-150.
[6] 孙继平,成凌飞.梯形巷道中电磁波传播的等效分析方法[J].煤炭科学技术,2006,34(1):81-83.
SUN Jiping,CHENG Lingfei.Equivalent analysis method of electromagnetic wave propagation in mine trapezium-shaped roadway[J].Coal Science and Technology,2006,34(1):81-83.
[7] 孙继平,张宏炜,张龙.矩形弯曲隧道中电磁波的传输特性分析[J].工矿自动化,2007,33(4):4-6.
SUN Jiping,ZHANG Hongwei,ZHANG Long.Analysis of transmission characteristics of electromagnetic wave in rectanglar and curved tunnel[J].Industry and Mine Automation,2007,33(4):4-6.
[8] 成凌飞,孙继平.矩形隧道围岩电参数对电磁波传播的影响[J].电波科学学报,2007,22(3):513-517.
CHENG Lingfei,SUN Jiping.Influence of electrical parameters on electromagnetic waves propagation in rectangular tunnels[J].Chinese Journal of Radio Science,2007,22(3):513-517.
[9] 张会清,于洪珍,王普,等.矩形隧道中电波多径传播模型的建立及仿真[J].电波科学学报,2008,23(1):195-200.
ZHANG Huiqing,YU Hongzhen,WANG Pu,et al.Multipath transmission modeling and simulating of electromagnetic wave in rectangle tunnel[J].Chinese Journal of Radio Science,2008,23(1):195-200.
[10] 霍羽,徐钊,郑红党.矩形隧道中的多波模传播特性[J].电波科学学报,2010,25(6):1225-1230.
HUO Yu,XU Zhao,ZHENG Hongdang.Characteristics of multimode propagation in rectangular tunnels[J].Chinese Journal of Radio Science,2010,25(6):1225-1230.
[11] CHENG Lingfei,BAO Xinhang,LU Chao.Influence of the shape factor on electromagnetic waves propagation in tunnels[J].Journal of Computational Information Systems,2013,9(24):9885-9891.
[12] 成凌飞,高鹏飞,王利超.巷道无线信道相干带宽及其影响因素的研究[J].计算机仿真,2015,32(12):137-141.
CHENG Lingfei,GAO Pengfei,WANG Lichao.A study of coherence bandwidth of wireless channel and its influencing factors in tunnel[J].Computer Simulation,2015,32(12):137-141.
WANG Xuqi1,2
(1.School of Information Engineering, Xijing University, Xi'an 710123, China;2.School of Mechanical Electronic and Information Engineering, China University of Mining and Technology(Beijing), Beijing 100083, China)
Abstract:The propagation characteristics of electromagnetic waves in different shape roadway are different, and are also different in different modes. On the basis of analysis of theory of electromagnetic wave transmission and multi-mode theory, the influence of shape factor on electromagnetic waves propagation attenuation in rectangular roadway under high-order mode was researched by computer simulation. The simulation results show that when the shape factor of rectangular roadway is constant, the attenuation of electromagnetic wave increases with increase of electromagnetic wave transmission mode. Under different modes, with the increase of the shape factor, the slope of attenuation curve of electromagnetic wave remains unchanged. In the horizontal polarization mode, the attenuation of electromagnetic wave first decreases and then increase with increase of the shape factor, and the attenuation rate is the smallest when the shape factor is 1.7. In the vertical polarization mode, the attenuation curve also tends to decrease first and then increase with increase of the shape factor, and the attenuation rate is the smallest when the shape factor is 0.7. When the shape factor is equal to 1, the influence of the horizontal polarization and vertical polarization modes on electromagnetic wave propagation attenuation is same. When the shape factor is less than 1, the influence of the vertical polarization mode on the electromagnetic wave attenuation is greater than that of the horizontal polarization mode. And when the shape factor is greater than 1, influence of the horizontal polarization mode on electromagnetic wave propagation attenuation is greater than that of vertical polarization mode.
Key words:underground coal mine communications; rectangular roadway; shape factor; high-order mode; electromagnetic waves attenuation; horizontal polarization mode; vertical polarization mode
中图分类号:TD655
文献标志码:A
文章编号:1671-251X(2019)05-0068-05 DOI:10.13272/j.issn.1671-251x.2018100062
收稿日期:2018-10-25;修回日期:2019-02-23;
责任编辑:张强。
基金项目:国家自然科学基金资助项目(61473237);陕西省教育厅科研计划项目(14JK2243)。
作者简介:王旭启(1976-),男,河南遂平人,副教授,博士研究生,研究方向为无线网络、软件工程,E-mail:157388273@qq.com。
引用格式:王旭启.高次模下矩形巷道形状因子对电磁波的影响[J].工矿自动化,2019,45(5):68-72.
WANG Xuqi. Influence of shape factor of rectangular roadway on electromagnetic waves under high-order mode[J].Industry and Mine Automation,2019,45(5):68-72.