康文杰1,2, 周亮宇1,2, 王德明1,2, 李金帅1
(1.中国矿业大学 安全工程学院, 江苏 徐州 221116;2.中国矿业大学 煤矿瓦斯与火灾防治教育部重点实验室, 江苏 徐州 221116)
摘要:针对现有煤最短自然发火期预测方法存在操作复杂、耗时费力等问题,提出了一种煤最短自然发火期快速预测方法。通过煤自燃特性的氧化动力学测试获得煤氧化过程中不同阶段的特征参数,利用线性拟合建立了煤自燃倾向性判定指数和绝热氧化时间的函数关系;根据F-K热自燃理论,建立了煤绝热氧化时间和特征尺寸之间的函数关系;利用以上函数关系推导出煤最短自然发火期快速预测模型。基于该方法获得的煤最短自然发火期预测值与实际值基本一致。该方法耗时少、操作简单,适合大量煤样的最短自然发火期预测。
关键词:煤炭开采; 最短自然发火期; 煤自燃特性; 氧化动力学; 绝热氧化时间; 煤自燃倾向性
中国煤炭资源储量丰富,但在煤炭开采、储存过程中常会出现自然发火的问题[1-4]。矿井火灾不仅会烧毁大量煤炭资源和设备,产生大量有害气体危及井下人员生命安全,而且常诱发瓦斯、煤尘爆炸,严重威胁矿井安全生产[5-8]。因此,有必要依据多种因素制定防灭火措施,其中预测开采煤层的最短自然发火期是制定矿井防灭火措施的重要环节。
目前很多学者针对煤最短自然发火期预测进行了广泛研究。文献[9-10]利用神经网络模型对煤最短自然发火期进行预测。文献[11-12]运用灰色系统理论,建立了煤最短自然发火期的灰色预测模型。文献[13]通过测定煤层煤样在不同温度段的吸氧速度、失水量、解吸瓦斯含量,分段计算了达到临界温度所需时间,从而确定煤层最短自然发火期。但以上预测方法存在操作复杂、耗时费力等问题。本文通过煤自燃特性的氧化动力学测试[14]获得煤氧化过程中不同阶段的特征参数,通过线性拟合建立煤最短自然发火期预测模型,可快速、准确预测煤最短自然发火期。
煤自燃特性的氧化动力学测试采用煤自燃特性综合测试系统,如图1所示。

图1 煤自燃特性综合测试系统
Fig.1 Comprehensive test system for coal spontaneous combustion characteristics
测试步骤:① 煤样破碎筛分,取50 g装入程序控温箱的绝热煤样罐中,通入流量为96 mL/min的干空气,程序控温箱设置为40 ℃恒温,煤发生氧化放热反应。② 煤温逐渐升高到35 ℃时,将干空气流量调整为8 mL/min。③ 当煤温升高到40 ℃时,启动程序控温箱,升温速率设置为0.8 ℃/min。④ 程序控温箱温度达70 ℃时,测量煤样罐出气口氧气体积分数CO2。⑤ 调节干空气流量为96 mL/min,待煤温超过程序控温箱温度时,记录交叉点温度Tcpt。
根据测定的CO2和Tcpt,通过式(1)—式(3)可得煤自燃倾向性判定指数I:
(1)
(2)
I=Ø(φCO2ICO2+φTcptITcpt)-300
(3)
式中:ICO2为煤温70 ℃时煤样罐出气口氧气浓度指数;ITcpt为煤在程序升温条件下交叉点温度指数;Ø为放大因子,本文取Ø=40;φCO2为低温氧化阶段的权数,本文取φCO2=0.6;φTcpt为加速氧化阶段的权数,本文取φTcpt=0.4。
称量80 g煤样置于绝热煤样罐中,通入氮气(流量为50 mL/min),40 ℃恒温,待程序控温箱、煤温均达40 ℃以后,将氮气迅速切换为氧气(流量为50 mL/min),关闭程序控温箱的温度控制程序并开始计时,待煤样与氧气反应升温至200 ℃时记录时间,即为该煤样的绝热氧化时间ti。
对10个煤样进行氧化动力学测试,结果见表1。
表1 煤样氧化动力学测试结果
Table 1 Oxidation kinetics test results of coal samples

根据表1数据,对煤自燃倾向性判定指数和绝热氧化时间进行曲线拟合,拟合结果如图2所示。可看出随着绝热氧化时间的增长,煤自燃倾向性判定指数增大。

图2 煤自燃倾向性判定指数和绝热氧化时间之间的关系曲线
Fig.2 Curve of relation between classification index of coal spontaneous combustion tendency and adiabatic oxidation time of coal samples
由图2可得拟合相关系数为0.975,拟合曲线表达式为
(4)
根据F-K热自燃理论,煤最短自然发火期受堆积状态、特征尺寸及散热环境影响。在相同的散热环境和堆积状态下,通过实验得到不同特征尺寸煤样的绝热氧化时间,见表2。
表2 不同特征尺寸煤样的绝热氧化时间
Table 2 Adiabatic oxidation time of coal samples with different characteristic sizes

根据表2数据,通过线性拟合可得煤绝热氧化时间和特征尺寸之间的关系曲线,如图3所示。

图3 煤绝热氧化时间和特征尺寸之间的关系曲线
Fig.3 Curve of relation between adiabatic oxidation time and characteristic size of coal samples
由图3可得拟合相关系数为0.998,拟合曲线表达式为
(5)
式中roc为煤样特征尺寸,cm。
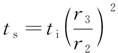
由式(5)可知,煤绝热氧化时间与特征尺寸的平方呈正比。文献[15]通过分析大量煤自然发火期数据,得出煤最短自然发火期与特征尺寸的平方呈正比。依据F-K热自燃理论,本文将绝热煤样罐视作立方体,其特征尺寸为煤样罐的横截面直径。预测煤层视作无限大平板,其特征尺寸为煤层开采时采空区遗煤平均厚度,根据煤厚和实际采出率来确定。因此,煤最短自然发火期为
(6)
式中:r3为煤层特征尺寸,cm;r2为绝热煤样罐特征尺寸,本文取3.6 cm。
将式(4)代入式(6),可得煤最短自然发火期预测模型为
(7)
为验证煤最短自然发火期快速预测方法的准确性,基于煤自燃特征参数的氧化动力学测定,对大量煤矿煤样的最短自然发火期进行预测,并与煤矿现场记录的实际自然发火期进行对比,结果见表3。
表3 煤最短自然发火期预测值与实际值对比
Table 3 Comparison between predicted and actual values of the shortest coal spontaneous combustion period

从表3可看出,煤最短自然发火期预测值与实际值十分接近,预测值比实际值稍短,这是由于矿井在生产过程中实施防灭火措施及控风措施会延迟煤自然发火时间,但误差在可接受范围内。
通过煤自燃特性的氧化动力学测试获得煤氧化过程中不同阶段的特征参数,采用线性拟合建立了煤自燃倾向性判定指数和绝热氧化时间的函数关系;根据F-K热自燃理论,建立了煤绝热氧化时间和特征尺寸之间的函数关系;利用以上函数关系推导出煤最短自然发火期快速预测模型。应用结果验证了该方法的准确性。该方法耗时少、操作简单,适合大量煤样的最短自然发火期预测。
参考文献:
[1] 陈荣想.基于3DGIS数字矿山基础信息平台的火灾烟流蔓延分析及避灾路线解算[J].工矿自动化,2012,38(8):45-51.
CHEN Rongxiang.Analysis of movement of fire smoke flow and determination of route for avoiding disaster based on information platform of 3DGIS digital mine[J].Industry and Mine Automation,2012,38(8):45-51.
[2] 赵一伟.浅析煤矿井下灾害及其防治[J].能源与节能,2018(7):53-54.
ZHAO Yiwei.Brief analysis of underground disasters and their prevention and control in coal mines[J].Energy and Energy Conservation,2018(7):53-54.
[3] 朱云飞,王德明,戚绪尧,等.1950—2016年我国煤矿特大事故统计分析[J].煤矿安全,2018,49(10):241-244.
ZHU Yunfei,WANG Deming,QI Xuyao,et al.Statistics analysis of extra serious coal mine accidents from 1950 to 2016 in China[J].Safety in Coal Mines,2018,49(10):241-244.
[4] REN Wanxing,GUO Qing,YANG Huihui.Analyses and prevention of coal spontaneous combustion risk in gobs of coal mine during withdrawal period[J].Geomatics,Natural Hazards and Risk,2019,10(1):353-367.
[5] 孙祺钰.特殊条件下综采放顶煤工作面防灭火技术[J].煤矿安全,2019,50(1):71-74.
SUN Qiyu.Fire prevention technology of fully-mechanized caving coal face under special conditions[J].Safety in Coal Mines,2019,50(1):71-74.
[6] 于庆.分布式光纤测温技术在煤矿中的应用[J].工矿自动化,2012,38(4):5-8.
YU Qing.Application of distributed fiber temperature measurement technology in coal mine[J].Industry and Mine Automation,2012,38(4):5-8.
[7] 张小翌,王德明,杨雪花.煤矿硐室电缆火灾数值模拟[J].工矿自动化,2019,45(3):52-55.
ZHANG Xiaoyi,WANG Deming,YANG Xuehua.Numerical simulation of cable fire in coal mine chamber[J].Industry and Mine Automation,2019,45(3):52-55.
[8] LEI Changkui,DENG Jun,CAO Kai,et al.A random forest approach for predicting coal spontaneous combustion[J].Fuel,2018,223:63-73.
[9] 张辛亥,席光.用于煤自然发火期预测的神经网络模型和实验技术[J].西安交通大学学报,2006,40(9):1058-1061.
ZHANG Xinhai,XI Guang.New experimental technique for determining coal self-ignition duration[J].Journal of Xi'an Jiaotong University,2006,40(9):1058-1061.
[10] 王华.煤自然发火期的主成分神经网络预测模型[J].计算机工程与应用,2011,47(26):242-245.
WANG Hua.Principal component neural network prediction model for coal self-ignition duration[J].Computer Engineering and Applications,2011,47(26):242-245.
[11] 邓军,陈晓坤,翟小伟,等.煤最短自然发火期灰色预测模型研究[J].西安科技大学学报,2004,24(4):406-408.
DENG Jun,CHEN Xiaokun,ZHAI Xiaowei,et al.Gray prediction model of spontaneous combustion stage of coal[J].Journal of Xi'an University of Science and Technology,2004,24(4):406-408.
[12] 马砺,雷昌奎,张志鹏,等.基于GM(0,N)模型的煤自然发火期预测[J].辽宁工程技术大学学报(自然科学版),2016,35(9):902-907.
MA Li,LEI Changkui,ZHANG Zhipeng,et al.Forecasting study on spontaneous combustion period of coal based on GM(0,N) model[J].Journal of Liaoning Technical University(Natural Science),2016,35(9):902-907.
[13] 李雨佳,李增华,刘震,等.孙疃煤矿10煤最短自然发火期研究[J].煤炭技术,2012,31(12):65-67.
LI Yujia,LI Zenghua,LIU Zhen,et al.Study on shortest spontaneous combustion time of 10th coal seam in Suntuan Coal Mine[J].Coal Technology,2012,31(12):65-67.
[14] 王德明,亓冠圣,戚绪尧,等.煤实验最短自然发火期的快速测试[J].煤炭学报,2014,39(11):2239-2243.
WANG Deming,QI Guansheng,QI Xuyao,et al.Quick test method for the experimental period minimum of coal to spontaneous combustion[J].Journal of China Coal Society,2014,39(11):2239-2243.
[15] 邓军,徐精彩,张迎弟,等.煤最短自然发火期实验及数值分析[J].煤炭学报,1999,24(3):274-278.
DENG Jun,XU Jingcai,ZHANG Yingdi,et al.Experimental and numerical analysis on the shortest spontaneous combustion period of coal[J].Journal of China Coal Society,1999,24(3):274-278.
KANG Wenjie1,2, ZHOU Liangyu1,2, WANG Deming1,2, LI Jinshuai1
(1.School of Safety Engineering, China University of Mining and Technology, Xuzhou 221116, China; 2.Key Laboratory of Gas and Fire Control for Coal Mines, Ministry of Education, China University of Mining and Technology, Xuzhou 221116, China)
Abstract:In view of problems of complicated operation, large time consumption and high labor intensity of existing prediction methods for the shortest coal spontaneous combustion period, a fast prediction method for the shortest coal spontaneous combustion period was proposed. Characteristic parameters of different stages in coal oxidation process are obtained through oxidation kinetics test for coal spontaneous combustion characteristics. Function relationship between classification index of coal spontaneous combustion tendency and adiabatic oxidation time is established by linear fitting. According to theory of F-K thermal spontaneous combustion, function relationship between the adiabatic oxidation time and characteristic size of coal is established. A fast prediction model for the shortest coal spontaneous combustion period is derived based on the above function relationships. The predicted value of the shortest coal spontaneous combustion period obtained by the method is basically consistent with the actual value. The method is suitable for the shortest spontaneous combustion period prediction of a large number of coal samples with less time consumption and simple operation.
Key words:coal mining; the shortest spontaneous combustion period; coal spontaneous combustion characteristic; oxidation kinetics; adiabatic oxidation time; coal spontaneous combustion tendency
中图分类号:TD752
文献标志码:A
文章编号:1671-251X(2019)05-0031-04 DOI:10.13272/j.issn.1671-251x.17410
收稿日期:2019-03-06;修回日期:2019-04-28;
责任编辑:盛男。
基金项目:国家重点研发计划资助项目(2016YFC0801800);国家自然科学基金青年基金资助项目(51704284);江苏省大学生创新训练计划资助项目(201810290002Y)。
作者简介:康文杰(1994-),男,山西朔州人,硕士研究生,研究方向为矿井火灾及其防治,E-mail:cumtkwj@163.com。
引用格式:康文杰,周亮宇,王德明,等.煤最短自然发火期快速预测方法[J].工矿自动化,2019,45(5):31-34.
KANG Wenjie,ZHOU Liangyu,WANG Deming,et al.Fast prediction method for the shortest coal spontaneous combustion period[J].Industry and Mine Automation,2019,45(5):31-34.