朱玉1,2, 秦汝祥1,2, 邬灿春1,2
(1.安徽理工大学 能源与安全学院, 安徽 淮南 232001;2.安徽理工大学 煤矿安全高效开采省部共建教育部重点实验室, 安徽 淮南 232001)
摘要:针对平顶山十矿己15、己16、己17、己18煤层自然发火问题,利用程序升温氧化实验分析各煤层气体生成量变化,确定了煤层标志气体:丙烷可作为己15煤层标志气体,乙烷可作为己16煤层标志气体,CO可作为己17、己18煤层标志气体。将实验数据导入Matlab软件进行曲线拟合,得到了煤层标志气体生成量与温度之间的拟合关系式。利用现场布置的钻孔测量不同时期煤层温度及标志气体生成量,将温度测量数据代入拟合关系式,得到的标志气体生成量计算数据与实际测量数据基本一致,验证了拟合关系式的有效性。
关键词:煤炭开采; 煤层自然发火; 标志气体; 标志气体生成量; 煤层温度; 程序升温氧化; 曲线拟合
标志气体是指火灾生成物中独有的,能够表征生成量与相应温度并能预测预报火灾的气体[1-2]。以标志气体分析为技术手段的自然发火早期预报技术在煤矿中被广泛应用,并已被证明是一种有效的技术手段[3-4]。CO在煤自燃预测中经常作为标志气体使用,具有产生量大且产生量随温度升高而增大的优点[5]。但许延辉等[6]认为CO并不是唯一能够用于煤自燃预测的标志气体。煤自燃标志气体的优选与应用一直是各国学者研究的热点,但由于地质情况、环境影响导致不同矿区煤样受热分解产生的气体种类和标志气体初始出现时间不同[7-10],所以针对不同煤样必须经过实验选取相应的标志气体。
通常通过确定初始温度来选定煤样的标志气体[11-13],关注点在于标志气体放出的初始温度和实验前期温度的描述[14-15],对煤样升温过程中标志气体生成量变化的研究不多。因此,本文针对平顶山天安煤业股份有限公司十矿(下文简称平顶山十矿)己15、己16、己17、己18煤层,通过实验室研究确定了煤层标志气体,利用Matlab软件对实验数据进行曲线拟合,确定标志气体生成量与温度之间的关系,可为预测煤层自然发火提供理论指导。
平顶山十矿己四采区己15、己16和己17煤层为可采煤层,且均为低透气性突出煤层,层间距为4.3 m。己18煤层为非突出煤层,距离己17煤层底板12.9 m。分别采集己15、己16、己17和己18煤层工作面运输巷出口、轨道巷出口与工作面煤样进行工业分析及自燃倾向性实验,结果见表1。可看出各煤层煤样的挥发分均超过18%,吸氧量超过0.4 cm3/g,基本是II类自燃及以上等级,其中己15煤层已达到I类容易自燃的等级。
表1 煤样工业分析及自燃倾向性实验结果
Table 1 Industrial analysis of coal samples and experimental results of spontaneous combustion tendency

程序升温氧化实验装置如图1所示。4个煤层各采集3个煤样,将采集的煤样破碎,取煤芯部分进行研磨粉碎至40~80目,取12个煤样各50 g分别装入煤样罐,接好气路后置入控温炉膛内。设定控温炉膛的目标温度,按程序升温,当温度达到预设温度后,停止加热并恒温运行。将煤样罐出气口接到GC-4085型煤矿专用气相色谱仪进行色谱分析。

图1 程序升温氧化实验装置
Fig.1 Temperature programmed oxidation experimental device
依据AQ/T 1019—2006《煤层自然发火标志气体色谱分析及指标优选方法》,对同一煤层不同煤样的气体生成量数据经过平均处理后绘制曲线,如图2所示。
由图2可得如下各煤层气体产生规律。
(1) 己15煤层气体产生规律。在100 ℃之前,检测到丙烷、CO2及CO;在100 ℃之后,检测到乙烷和乙烯,正丁烷一直没有被检测到。考虑到CO2可能是之前吸附在煤上的,不能作为标志气体。同时考虑到乙烷和乙烯均在温度较高后才被检测到,故不选用其作为标志气体。根据标志气体的早期呈现性原则,由于50 ℃时即可检测到丙烷,而在将近80 ℃才检测到CO,所以选用丙烷作为己15煤层主要标志气体。在100~160 ℃时,乙烷与乙烯被检测到且生成量较少,此时煤进入加速氧化阶段;在160 ℃之后,乙烷与乙烯的生成量较之前有了大幅增加,此时煤进入剧烈氧化阶段。因此选用乙烷与乙烯作为己15煤层辅助标志气体。

(a) CO

(b) CO2

(c) 乙烷

(d) 乙烯

(e) 丙烷

(f) 正丁烷
图2 煤层气体生成量随温度变化曲线
Fig.2 Curves of production quantity of coal seam gas with temperature change
(2) 己16煤层气体产生规律。在100 ℃之前,检测到乙烷、丙烷及CO2;在100 ℃之后,检测到CO、乙烯及正丁烷。同理,不考虑CO2、CO、乙烯及正丁烷作为标志气体。在40 ℃时即可检测到丙烷,然而夏季的井下会出现温度大于40 ℃的情况,此时煤层产生的丙烷气体不能代表煤层开始自燃,因此选用在60 ℃时检测到的乙烷作为己16煤层主要标志气体。在100 ℃时,检测到CO,此时煤进入加速氧化阶段;在160 ℃之后,CO生成量大幅增加,此时煤进入剧烈氧化阶段。因此选用CO作为己16煤层辅助标志气体。
(3) 己17煤层气体产生规律。在100 ℃之前,检测到乙烷、CO2与CO;在100 ℃之后,检测到丙烷及乙烯,正丁烷一直没有被检测到。同理,不考虑CO2、丙烷、乙烯及正丁烷作为标志气体。在40 ℃时即可检测到乙烷,但考虑到夏季井下温度的干扰,此时煤层产生的乙烷气体不能代表煤层开始自燃,因此选用在70 ℃时检测到的CO作为己17煤层主要标志气体。在130 ℃时检测到丙烷,但生成量一直较低;在150 ℃时检测到乙烯,此时煤进入剧烈氧化阶段。因此选用乙烯作为己17煤层辅助标志气体。
(4) 己18煤层气体产生规律。在100 ℃之前,检测到丙烷、CO2及CO;在100 ℃之后,检测到乙烷、乙烯及正丁烷。同理,不考虑CO2、乙烷、乙烯及正丁烷作为标志气体。在30 ℃时即可检测到丙烷,考虑到夏季井下温度的干扰,此时煤层产生的丙烷气体不能代表煤层开始自燃,因此选用在90 ℃时检测到的CO作为己18煤层主要标志气体。在110 ℃时检测到正丁烷,此时煤进入加速氧化阶段;在150 ℃时检测到乙烷、乙烯,此时煤进入剧烈氧化阶段。因此,选用正丁烷、乙烯、乙烷作为己18煤层辅助标志气体。
针对主要标志气体实验数据,利用Matlab软件对4个煤层的标志气体生成量进行曲线拟合,得到标志气体生成量与温度之间的关系曲线,如图3所示。
由图3可得如下各煤层标志气体生成量分布规律。
(1) 己15煤层丙烷生成量和温度的拟合关系式:
y1=![]()
(1)

(a) 己15煤层丙烷

(b) 己16煤层乙烷

(c) 己17煤层CO

(d) 己18煤层CO
图3 各煤层标志气体生成量拟合曲线
Fig.3 Fitting curves of production quantity of index gas in each coal seam
式中:y1为丙烷体积分数,10-6;x为温度,℃。
己15煤层丙烷生成量在180 ℃之前缓慢增加,180 ℃之后快速升高;当温度达208.4 ℃时,丙烷生成量最多,为10.59×10-6,之后丙烷生成量开始下降。
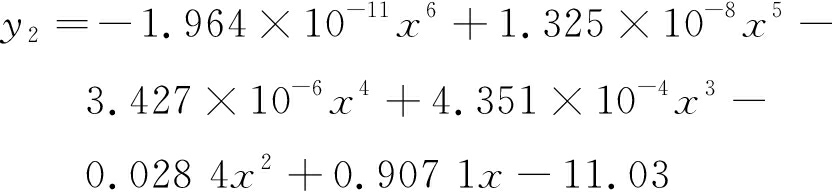
(2) 己16煤层乙烷生成量和温度的拟合关系式:

(2)
式中y2为乙烷体积分数,10-6。
己16煤层乙烷生成量在140 ℃之前缓慢增加,140 ℃之后快速升高;当温度达223.5 ℃时,乙烷生成量最多,为22.5×10-6,之后乙烷生成量开始下降。
(3) 己17煤层CO生成量和温度的拟合关系式:
y3=-1.85×1012+2.92×1012cos(-0.001 639x)-
4.010×1011sin(-0.001 639x)-
1.401×1012cos(-0.003 278x)+
4.858×1011sin(-0.003 278x)+
3.728×1011cos(-0.004 917x)-
4.188×1010cos(-0.006 556x)+
3.3×1010sin(-0.006 556x)
(3)
式中y3为己17煤层CO体积分数,10-6。
己17煤层CO生成量在150 ℃之前缓慢增加,150 ℃之后快速升高;当温度达189 ℃时,CO生成量最多,为1 100×10-6,之后CO生成量开始下降。
(4) 己18煤层CO生成量和温度的拟合关系式:

(4)
式中y4为己18煤层CO体积分数,10-6。
己18煤层CO生成量在140 ℃之前缓慢增加,140 ℃之后快速升高;当温度达218.1 ℃时,CO生成量最多,为3 875×10-6,之后CO生成量开始下降。
为验证拟合关系式的正确性,选取己15煤层工作面进行应用。在己15煤层回风巷布置3个测点、进风巷布置6个测点,测点布置如图4所示。

图4 测点布置
Fig.4 Measuring point layout
在各测点处向煤层顶板打钻孔,安装套管,埋热电偶及测气束管,如图5所示。使用万用表测试热电偶两端电动势来计算钻孔内煤温度,抽气唧筒抽取钻孔束管内气体并注入气样袋,利用地面气相色谱仪分析气体成分和浓度。测量时间为115 d。

图5 钻孔布置
Fig.5 Drilling hole layout
1—9号测点最高温度统计结果见表2,可看出各测点最高温度不超过46.8 ℃。
表2 各测点最高温度
Table 2 The maximum temperature of each measuring point

测试过程中,布置在进风巷的4,5,8,9号测点检测到丙烷气体产生,该4个测点丙烷生成量如图6所示。

图6 各测点丙烷生成量
Fig.6 Propane production quantity at each measuring point
根据表2中数据,利用式(1)可计算4,5,8,9号测点温度最高时产生的丙烷体积分数分别为0.102 0×10-6,0.095 8×10-6,0.111 7×10-6,0.104 0×10-6,这与图6的监测结果基本一致。
(1) 根据程序升温氧化实验结果,己15煤层选用丙烷作为主要标志气体,乙烷、乙烯作为辅助标志气体;己16煤层选用乙烷作为主要标志气体,CO作为辅助标志气体;己17煤层选用CO作为主要标志气体,乙烯作为辅助标志气体;己18煤层选用CO作为主要标志气体,正丁烷、乙烯、乙烷作为辅助标志气体。
(2) 利用Matlab软件对4个煤层的标志气体生成量进行曲线拟合,得到了标志气体生成量与温度之间的拟合关系式。
(3) 利用现场布置的钻孔测量不同时期煤层温度及标志气体生成量,将温度测量数据代入拟合关系式,得到的标志气体生成量计算数据与实际测量数据基本一致,验证了拟合关系式的有效性。
参考文献:
[1] 方刚,郭佐宁,迪明,等.基于粗糙集和支持向量机的采空区煤自燃火灾预报[J].西安科技大学学报,2012,32(6):712-717.
FANG Gang,GUO Zuoning,DI Ming,et al.Forecast of spontaneous combustion fire in goaf based on rough set and support vector machine[J].Journal of Xi'an University of Science and Technology,2012,32(6):712-717.
[2] 杨朔,戴广龙,唐明云.基于程序升温的煤自燃标志气实验研究[J].煤矿安全,2018,49(7):24-27.
YANG Shuo,DAI Guanglong,TANG Mingyun.Experiment study on mark gas of coal spontaneous combustion based on programmed temperature program[J].Safety in Coal Mines,2018,49(7):24-27.
[3] 李红选,张进军,王福军,等.基于大佛寺矿的煤自燃多参数指标气体实验研究[J].煤炭技术,2016,35(5):196-197.
LI Hongxuan,ZHANG Jinjun,WANG Fujun,et al.Experimental study on multiple-parameter index gases for coal spontaneous on basis of Dafosi Coal Mine[J].Coal Technology,2016,35(5):196-197.
[4] 李林,陈军朝,姜德义,等.煤自燃全过程高温区域及指标气体时空变化实验研究[J].煤炭学报,2016,41(2):444-450.
LI Lin,CHEN Junchao,JIANG Deyi,et al.Experimental study on temporal variation of high temperature region and index gas of coal spontaneous combustion[J].Journal of China Coal Society,2016,41(2):444-450.
[5] 彭伟,何启林,葛新玉.煤炭自燃指标性气体确定的实验研究[J].中国安全生产科学技术,2010,6(6):140-144.
PENG Wei,HE Qilin,GE Xinyu.Experimental studies on the index gases of spontaneous of coal[J].Journal of Safety Science and Technology,2010,6(6):140-144.
[6] 许延辉,许满贵,徐精彩.煤自燃火灾指标气体预测预报的几个关键问题探讨[J].矿业安全与环保,2005,32(1):16-18.
XU Yanhui,XU Mangui,XU Jingcai.Discussion on several problems in indication gas prediction of coal spontaneous combustion[J].Mining Safety & Environmental Protection,2005,32(1):16-18.
[7] 朱令起,周心权,谢建国,等.自然发火标志气体实验分析及优化选择[J].采矿与安全工程学报,2008,25(4):440-443.
ZHU Lingqi,ZHOU Xinquan,XIE Jianguo,et al.Analysis of indicator gas of spontaneous combustion and its optimal selection[J].Journal of Mining & Safety Engineering,2008,25(4):440-443.
[8] 王亚超.神东北部矿区水浸煤自燃标志性气体产生规律[J].煤矿安全,2018,49(9):52-58.
WANG Yachao.Production laws of mark gases for spontaneous combustion of water-soaked coal in northern Shendong mining areas[J].Safety in Coal Mines,2018,49(9):52-58.
[9] 付京斌.煤层自燃标志气体及预报指标体系研究[J].煤炭与化工,2016,39(8):1-4.
FU Jingbin.Study on spontaneous combustion of coal seam gas and forecast index system[J].Coal and Chemical Industry,2016,39(8):1-4.
[10] 秦红星,戴广龙,张树川,等.基于煤低温氧化试验下的标志气体优选及应用[J].煤炭科学技术,2015,43(6):65-70.
QIN Hongxing,DAI Guanglong,ZHANG Shuchuan,et al.Optimal selection and application of mark gas based on coal low temperature oxidation test[J].Coal Science and Technology,2015,43(6):65-70.
[11] 廖礼.渝阳矿煤层自燃标志气体及临界值的研究[J].中国煤炭,2012,38(10):97-100.
LIAO Li.Research on sign gas and critical value of coal spontaneous combustion in Yuyang Mine[J].China Coal,2012,38(10):97-100.
[12] 朱拴成.东庞矿北井自然发火标志气体的优化选择[J].中国煤炭,2012,38(11):94-97.
ZHU Shuancheng.Optimization of index gases for coal spontaneous combustion in North well of Dongpang Mine[J].China Coal,2012,38(11):94-97.
[13] 孙留涛,段宇建,黄均泽.青东煤矿10煤层标志性气体优选及自燃“三带”划分[J].工矿自动化,2018,44(11):56-61.
SUN Liutao,DUAN Yujian,HUANG Junze.Optimization of index gases and division method of spontaneous combustion "three zones" in 10 coal seam of Qingdong Coal Mine[J].Industry and Mine Automation,2018,44(11):56-61.
[14] 刘爱华,蔡康旭.青山矿煤自燃预报标志气体研究[J].煤炭科学技术,2006,34(7):11-13.
LIU Aihua,CAI Kangxu.Research on identification gas for coal spontaneous combustion in Qingshan Mine[J].Coal Science and Technology,2006,34(7):11-13.
[15] 任江朋.豹子沟矿11号煤层自燃标志性气体实验研究[J].煤矿安全,2018,49(7):16-18.
REN Jiangpeng.Experimental study on mark gas of spontaneous combustion in No.11 coal seam of Baozigou Mine[J].Safety in Coal Mines,2018,49(7):16-18.
ZHU Yu1,2, QIN Ruxiang1,2, WU Canchun1,2
(1.School of Energy and Safety, Anhui University of Science and Technology, Huainan 232001, China; 2.Key Laboratory of Mine Safety and High Efficient Mining Jointly Built by Province and Ministry of Education, Anhui University of Science and Technology, Huainan 232001, China)
Abstract:In view of problem of spontaneous combustion of VI-15, VI-16, VI-17 and VI-18 coal seams in Pingdingshan No.10 Coal Mine, temperature programmed oxidation experiment was used to analyze change of gas production quantity in each coal seam, and coal seam index gas were determined. Propane can be used as index gas of VI-15 coal seam, ethane can be used as index gas of VI-16 coal seam, and CO can be used as index gas of VI-17 and VI-18 coal seam. The experimental data were imported into Matlab software for curve fitting, so as to obtain fitting relationship equation between production quantity of index gas and temperature of coal seam. Temperature and production quantity of index gas of coal seam in different periods were measured through drilling holes arranged on site. The temperature measurement data were substituted into the fitting relationship equation, so as to obtain calculated data of production quantity of index gas. The calculated data is basically consistent with the actual measurement data, which verifies the validity of the fitting relationship equation.
Key words:coal mining; spontaneous combustion of coal seam; index gas; production quantity of index gas; temperature of coal seam; temperature programmed oxidation; curve fitting
中图分类号:TD752
文献标志码:A
文章编号:1671-251X(2019)05-0016-06 DOI:10.13272/j.issn.1671-251x.2018110053
收稿日期:2018-11-23;修回日期:2019-04-26;
责任编辑:盛男。
基金项目:国家重点研发计划资助项目(2018YFC0807900);国家自然科学基金资助项目(51874007)。
作者简介:朱玉(1996-),男,安徽霍邱人,硕士研究生,主要研究方向为火灾防治理论与技术,E-mail:1294120789@qq.com。
引用格式:朱玉,秦汝祥,邬灿春.平顶山十矿煤层标志气体生成量分布规律研究[J].工矿自动化,2019,45(5):16-21.
ZHU Yu,QIN Ruxiang,WU Canchun.Research on distribution law of production quantity of coal seam index gas in Pingdingshan No.10 Coal Mine[J].Industry and Mine Automation,2019,45(5):16-21.