张倩,桂振钊
(中国矿业大学 信息与控制工程学院,江苏 徐州 221116)
摘要:针对矿用电机车永磁同步电动机调速采用无传感器控制时存在转子位置角估计精度低、计算量大、稳定性和抗扰动性差等问题,提出了一种改进模型参考自适应法。该方法根据直轴电流为零简化自适应律,降低计算复杂程度;采用滑模控制器替代PI调节器来控制转速环,减少扰动影响。仿真和试验结果表明,该方法能准确估计转子位置角,减小转速波动,具有很好的稳定性和抗扰动能力。
关键词:矿用电机车; 永磁同步电动机; 调速; 模型参考自适应法; 无传感器控制; 自适应律; 滑模控制器
永磁同步电动机体积小、效率高、节能,在矿用电机车上应用广泛[1-2]。传统的矿用电机车调速使用机械式传感器检测永磁同步电动机转速,但煤矿井下恶劣环境导致机械式传感器容易损坏、安装不便、维修困难[3-4]。应用在矿用电机车上的永磁同步电动机运行平稳、转速波动不频繁,为无传感器控制在矿用电机车调速上的应用提供了极大便利[5-7]。无传感器控制利用数学估算代替传感器检测得到电动机转子位置角[8-9]。文献[10-11]利用滑模观测器对电动机进行无传感器控制,易于实现转子位置角估计,但估计精度不高。文献[12]提出了一种改进型扩展卡尔曼滤波法估计电动机转子位置角,提高了转子位置角估计精度,但计算量较大。文献[13]将模型参考自适应法应用于永磁同步电动机无传感器矢量控制,转子位置角估计精度高、计算方便,但稳定性、抗扰动性差。本文采用改进模型参考自适应法对矿用电机车永磁同步电动机调速:采用改进自适应律减少误差计算,经过积分变换得到转子位置信息;设计滑模控制器取代PI调节器进行矢量控制,提高矿用电机车调速稳定性和抗扰动能力。
模型参考自适应法将永磁同步电动机本体作为参考模型,设置参数可调的可调模型,使可调模型和参考模型具有相同的电压、电流、转速等物理意义的输出量,通过自适应律调节2个模型输出量之间的差值为零,以达到可调模型跟踪参考模型的目的[14]。
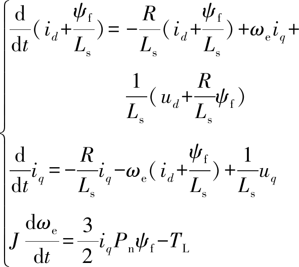
永磁同步电动机在同步旋转坐标系下的数学模型为

(1)
式中:id,iq,ud,uq分别为定子电流、电压在直轴和交轴上的分量;t为时间;ψf为永磁体磁链;Ls为定子电感;R为定子电阻;ωe为电动机角速度;J为电动机转动惯量;Pn为电动机极对数;TL为电动机负载转矩。
定义
分别为
的估计值,则可调模型中的电动机数学模型可描述为

(2)
定义误差
由式(1)和式(2)可得电动机电流误差方程:

(3)
利用波波夫超稳定性理论可得自适应律表达式:
![]()
![]()
(4)
式中ki,kp分别为PI调节器的积分、比例系数。
对
求积分可得电动机估计转子位置角![]()
永磁同步电动机无传感器矢量控制时直轴电流为零[15],因此可将式(1)、式(2)中id和
近似为零,对式(4)进行简化得到改进自适应律表达式:
(5)
式中s为复频率。
改进自适应律可进一步降低模型参考自适应法复杂程度,提高稳定性。
在模型参考自适应法中,转速误差经PI调节器后获得交轴参考电流
但PI调节器对扰动比较敏感,因此设计滑模控制器替代PI调节器,减少扰动影响。
定义滑模面为
S=ax+x′
(6)
式中:a为转速误差增益;x,x′分别为电动机转速误差及其导数。
(7)
式中:n*为电动机参考转速;
为电动机估计转速。
为提高滑模运动品质,采用指数趋近律:
S′=-εsgn(S)-bS
(8)
式中:S′为S的导数;ε为接近零的正数;b为大于零的常数。
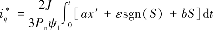
结合式(6)—式(8)可推导出交轴参考电流:
(9)
式(9)中包含积分项,可削弱抖振现象,减小稳态误差。
通过改进自适应律得到估计转子位置角
将估计转子位置角转换成电动机估计转速
并与参考转速n*对比得到转速误差,再利用滑模控制器进行转速环控制,实现基于改进模型参考自适应法的矿用电机车调速,如图1所示。
仿真参数:电动机极对数Pn=4,定子电阻R=2.875 Ω,永磁体磁链ψf=0.175 Wb,转动惯量J=0.048 kg·m2,定子电感Ls=8.5 mH。分别采用模型参考自适应法和改进模型参考自适应法对矿用电机车永磁同步电动机调速,永磁同步电动机以1 000 r/min转速运行时仿真波形分别如图2、图3所示。

图1 基于改进模型参考自适应法的矿用电机车调速原理
Fig.1 Speed regulation principle of mine-used electric locomotive based on improved model reference adaptive system

(a) 转速

(b) 转子位置角误差
图2 基于模型参考自适应法的矿用电机车调速仿真波形
Fig.2 Simulation waveforms of speed regulation of mine-used electric locomotive based on model reference adaptive system

(a) 转速

(b) 转子位置角误差
图3 基于改进模型参考自适应法的永磁同步电动机调速仿真波形
Fig.3 Simulation waveforms of speed regulation of mine-used electric locomotive based on improved model reference adaptive system
从图2和图3可看出,基于模型参考自适应法调速时电动机转速最大超调量为350 r/min,转速经过3次波动后在0.06 s时达到稳定,转子位置角误差最大值为1.15°;基于改进模型参考自适应法调速时电动机转速最大超调量为90 r/min,转速只经过1次波动后在0.03 s时达到稳定,转子位置角误差最大值为0.7°。表明改进模型参考自适应法能降低转速波动次数,提高响应速度,减小转子位置角估计误差。
在0.2 s时突加6 N·m负载转矩,永磁同步电动机转速仿真波形如图4所示。

(a) 模型参考自适应法

(b) 改进模型参考自适应法
图4 突加负载转矩后转速仿真波形
Fig.4 Simulation waveforms of speed after sudden load torque
从图4可看出,在突加负载转矩后,基于模型参考自适应法调速时,电动机转速最大超调量为100 r/min,转速经过3次波动并在0.25 s时达到稳定;基于改进模型参考自适应法调速时,电动机转速最大超调量为50 r/min,转速只经过1次波动并在0.23 s时达到稳定。表明改进模型参考自适应法能提高电动机运行时的抗扰动能力。
将改进模型参考自适应法应用于实际的矿用电机车调速中,采用TBQ-4.5YC矿用隔爆型永磁同步电动机作为矿用电机车的牵引电动机,利用TMS320LF2812 DSP控制芯片和智能功率逆变模块搭建硬件电路进行试验。永磁同步电动机以1 000 r/min转速运行时,转子位置角实测和估计结果如图5所示。
从图5可看出,估计转子位置角与实测转子位置角误差很小,在3°以内,表明基于改进模型参考自适应法调速时能准确估计转子位置角。
改进模型参考自适应法通过改进自适应律,降低计算复杂度,提高稳定性;利用滑模控制器替代PI调节器,增强抗扰动能力。仿真和试验结果表明,该方法能有效改善矿用电机车调速时的动态性能和静态性能。

(a) 实测转子位置角

(b) 估计转子位置角
图5 电动机转子位置角实测和估计结果
Fig.5 Measured and estimated results of rotor position angle of motor
参考文献:
[1] 刘娜,宋慧,朱青青.矿用电机车牵引控制策略研究[J].煤矿机械,2015,36(6):116-119.
LIU Na,SONG Hui,ZHU Qingqing.Research of mine electric locomotive traction control strategy[J].Coal Mine Machinery,2015,36(6):116-119.
[2] 郑昌陆.矿用电机车的永磁同步电机控制关键技术研究[D].上海:上海大学,2013.
[3] 张俊卿,梅奕,黄友锐,等.基于永磁同步电动机的矿用电机车调速系统设计[J].工矿自动化,2014,40(2):45-48.
ZHANG Junqing,MEI Yi,HUANG Yourui,et al.Design of speed regulation system of mine-used electric locomotive based on permanent magnet synchronous motor[J].Industry and Mine Automation,2014,40(2):45-48.
[4] 祝龙记,黄琦.矿用电机车永磁同步电动机无位置传感器低速稳定控制[J].工矿自动化,2018,44(4):80-85.
ZHU Longji,HUANG Qi.Stable sensorless control for permanent magnet synchronous motor of mine-used electric locomotive at low speed stage[J].Industry and Mine Automation,2018,44(4):80-85.
[5] 李玉东,葛敬涛,易庚.矿用电机车无速度传感器控制变频驱动装置系统[J].控制工程,2016,23(9):1412-1417.
LI Yudong,GE Jingtao,YI Geng.The variable frequency driving control system based on speed sensorless control for mining locomotives[J].Control Engineering of China,2016,23(9):1412-1417.
[6] 栗忠魁,阮毅,宗剑,等.直流架线式矿用电机车变频调速控制系统的设计[J].电机与控制应用,2011,38(5):27-30.
LI Zhongkui,RUAN Yi,ZONG Jian,et al.Design of variable frequency speed regulation control system for DC stringing electric mine locomotive[J].Electric Machines &Control Application,2011,38(5):27-30.
[7] 董晨露,陈涛.电机车IPMSM高频脉振电压注入法转子位置检测[J].电机与控制应用,2015,42(8):67-71.
DONG Chenlu,CHEN Tao.Motor vehicle IPMSM rotor position detection based on high frequency pulsating voltage injection[J].Electric Machines &Control Application,2015,42(8):67-71.
[8] 潘森林,高瑾.永磁同步电机无速度传感器控制技术综述[J].微电机,2018,51(3):62-69.
PAN Senlin,GAO Jin.Summarization of sensorless control technology for permanent magnet synchronous motor[J].Micromotors,2018,51(3):62-69.
[9] 施大发,王辉,张华.永磁同步电机无传感器控制研究[J].电力电子技术,2010,44(9):52-54.
SHI Dafa,WANG Hui,ZHANG Hua.Research on sensorless control method of permanent magnet synchronous motor[J].Power Electronics,2010,44(9):52-54.
[10] 王悍枭,刘凌,吴华伟.改进型滑模观测器的永磁同步电机无传感器控制策略[J].西安交通大学学报,2016,50(6):104-109.
WANG Hanxiao,LIU Ling,WU Huawei.A sensorless permanent magnet synchronous motor control strategy for improved sliding mode observers with stator parameters identification[J].Journal of Xi'an Jiaotong University,2016,50(6):104-109.
[11] 朱喜华,李颖晖,张敬.基于一种新型滑模观测器的永磁同步电机无传感器控制[J].电力系统保护与控制,2010,38(13):6-10.
ZHU Xihua,LI Yinghui,ZHANG Jing.Senorless control of PMSM based on a novel sliding mode observer[J].Power System Protection and Control,2010,38(13):6-10.
[12] 邹薇.基于扩展卡尔曼滤波PMSM无位置传感器矢量控制[D].长沙:湖南大学,2017.
[13] 王孟.基于MRAS的永磁同步电机无传感器矢量控制系统的研究[D].广州:华南理工大学,2018.
[14] 韦汉培,魏海峰,张懿.模型参考自适应下的永磁同步电机无传感器矢量控制[J].江苏科技大学学报(自然科学版),2018,32(2):224-231.
WEI Hanpei,WEI Haifeng,ZHANG Yi.Sensorless vector control of permanent magnet synchronous motor based on model reference adaptive system[J].Journal of Jiangsu University of Science and Technology(Natural Science Edition),2018,32(2):224-231.
[15] 陈名辉,阮毅,宗剑,等.无速度传感器在矿用电机车矢量控制系统中的应用[J].电机与控制应用,2012,39(2):17-20.
CHEN Minghui,RUAN Yi,ZONG Jian,et al.Vector control system for electric mine locomotive applied by speed sensorless[J].Electric Machines &Control Application,2012,39(2):17-20.
[16] 刘小俊,张广明,梅磊,等.基于模型参考自适应的永磁同步电机速度观测器中PI参数调节方法[J].电机与控制应用,2016,43(7):1-6.
LIU Xiaojun,ZHANG Guangming,MEI Lei,et al.Method of adjusting PI parameters for permanent magnet synchronous motor speed observer based on model reference adaptive[J].Electric Machines &Control Application,2016,43(7):1-6.
ZHANG Qian, GUI Zhenzhao
(School of Information and Control Engineering,China University of Mining and Technology,Xuzhou 221116,China)
Abstract:In view of problems of low accuracy of rotor position angle estimation,large computation,poor stability and anti-disturbance performance when sensorless control was used in speed regulation of permanent magnet synchronous motor of mine-used electric locomotive,an improved model reference adaptive system was proposed. Adaptive law is simplified according to zero direct axis current,so as to reduce complexity of calculation. Sliding mode controller is used instead of PI regulator to control speed loop,so as to reduce disturbance influence. The simulation and experimental results show that the method can accurately estimate rotor position angle,reduce speed fluctuation,and has good stability and anti-disturbance ability.
Key words:mine-used electric locomotive;permanent magnet synchronous motor;speed regulation;model reference adaptive system;sensorless control;adaptive law;sliding mode controller
文章编号:1671-251X(2019)04-0063-05
DOI:10.13272/j.issn.1671-251x.17393
收稿日期:2019-01-09;
修回日期:2019-03-22;
责任编辑:盛男。
基金项目:国家自然科学基金资助项目(61473299,61772532);中央高校基本科研业务费专项资金资助项目(2015QNB21)。
作者简介:张倩(1981-),女,安徽淮南人,讲师,博士,研究方向为永磁同步电动机控制、自动控制、迁移式学习,E-mail:zhangqian374@126.com。
作者简介:张倩,桂振钊.基于改进模型参考自适应法的矿用电机车调速[J].工矿自动化,2019,45(4):63-66.
ZHANG Qian,GUI Zhenzhao.Speed regulation of mine-used electric locomotive based on improved model reference adaptive system[J].Industry and Mine Automation,2019,45(4):63-66.
中图分类号:TD614
文献标志码:A