经验交流
崔志芳1, 牛剑峰2
(1.山西新元煤炭有限责任公司, 山西 寿阳045000;2.北京天地玛珂电液控制系统有限公司, 北京100013)
摘要:针对综采放顶煤工作面人工放煤控制方式存在放煤效率低、质量差等问题,参考采煤机记忆割煤控制思想,提出了自动化记忆放煤控制方法。自动化记忆放煤控制通过示范学习获取记忆放煤控制数据,由液压支架电液控制系统根据记忆放煤控制数据控制液压支架放煤机构位姿,通过调整放煤口开度实现放煤量控制;同时通过液压支架放煤机构位姿与放煤量关系模型计算复核放煤量,进而修正记忆放煤控制数据,防止出现后部刮板输送机过载等情况。该方法适用于煤层较稳定、煤层厚度变化不大的放顶煤工作面。
关键词:煤炭开采; 综采放顶煤工作面; 液压支架; 液压支架电液控制系统; 自动化放煤; 记忆放煤; 放煤量控制
中图分类号:TD355
文献标志码:A
文章编号:1671-251X(2019)03-0099-05
DOI:10.13272/j.issn.1671-251x.2018060030
收稿日期:2018-06-14;
修回日期:2019-01-30;
责任编辑:李明。
基金项目:国家重点研发计划资助项目(2018YFC0604500);能源自主创新资助项目(发改投资〔2015〕1780号)。
作者简介:崔志芳(1984-),男,山西榆次人,工程师,现主要从事综采自动化系统、矿井综合自动化系统应用与管理工作, E-mail:395058223@qq.com。
引用格式:崔志芳,牛剑峰.自动化记忆放煤控制研究[J].工矿自动化,2019,45(3):99-102.
CUI Zhifang, NIU Jianfeng.Research on automatic memory coal caving control[J].Industry and Mine Automation,2019,45(3):99-102.
CUI Zhifang1, NIU Jianfeng2
(1.Shanxi Xinyuan Coal Co., Ltd., Shouyang 045000, China; 2.Beijing Tiandi-Marco Electronic-Hydraulic Control System Company Ltd., Beijing 100013, China)
Abstract:For low coal caving efficiency, poor coal caving quality and other problems existing in manual coal caving control mode of fully-mechanized top coal caving working face, an automatic memory coal caving control method was proposed by referring to memory coal cutting control idea of shearer. Automatic memory coal caving control obtains memory coal caving control data through exemplary learning. Electro-hydraulic control system of hydraulic support controls position and attitude of coal caving mechanisms of hydraulic support according to the memory coal caving control data, so as to realize coal caving quantity control through adjusting coal caving opening degree. Meanwhile, the coal caving quantity is calculated by a relationship model between position and attitude of the coal caving mechanisms and coal caving quantity, so as to correct the memory coal caving control data for avoiding overload of rear scraper conveyer. The method is applicable to top coal caving working faces which have stable coal seam with little thickness change.
Key words:coal mining; fully-mechanized top coal caving working face; hydraulic support; electro-hydraulic control system of hydraulic support; automatic coal caving; memory coal caving; coal caving quantity control
中国煤炭资源丰富,厚煤层储量占44%,厚煤层产量占煤炭总产量的45%以上[1]。厚煤层主要有分层、放顶煤、大采高3种开采方法,其中放顶煤开采方法是放顶煤工作面中前部采煤和后部放煤2个系统同时作业,产量为普通工作面的2~3倍,减少了巷道掘进,能有效缓解采掘接续紧张的问题[2]。同时顶煤依赖煤层地压、自身重力等因素放落,有效节省了开采成本[3-4]。
由于煤矸识别和放煤过程可视化等放煤自动化关键技术还未突破,目前综采放顶煤工作面放煤控制主要采用人工操作方式[5-6]。但放煤过程中煤尘较大,操作人员无法看到整个放煤过程,因此存在放煤效率低、质量差等问题,严重制约了放顶煤工作面的安全高效生产。本文参考采煤机记忆割煤控制思想,提出了自动化记忆放煤控制方法,可为实现综采放顶煤工作面无人化提供参考。
放顶煤工作面由前部采煤系统和后部放煤系统组成。前部采煤系统由采煤机负责破煤、落煤和装煤,开拓新的采煤作业空间;由液压支架负责迁移采煤设备和支撑采煤作业空间,通过液压支架推溜动作把机道上的煤炭装载到刮板输送机上;由前部刮板输送机将工作面的煤炭运输出去[7-8],刮板输送机上的煤量通过调节采煤机割煤速度来控制。后部放煤系统是在工作面后部布设1台后部刮板输送机,在液压支架完成移架后,顶煤垮落在后部刮板输送机上,垮落煤量取决于液压支架后部的尾梁、插板动作幅度。
自动化记忆放煤控制参考采煤机记忆割煤控制进行设计。采煤机记忆割煤控制是在假定煤层变化不大、顶底板边际较稳定的情况下,由人工示范进行割煤控制,并记录割煤过程中采煤机前后滚筒高度,在割下一刀煤时直接调用记录数据来控制采煤机前后滚筒高度,从而实现采煤机自动控制[9-10]。在煤层较稳定时,操作人员每次进行放煤控制时,放煤控制流程和控制参数及其变化规律大致相同,放煤量取决于液压支架放煤机构(尾梁、插板)与采空区形成的放煤口开度。因此,可将人工放煤示范[11]操作过程、放煤口个数、液压支架放煤机构的位姿状态、放煤时间等记录下来,根据记录数据控制下一个放煤口开度,从而实现自动化记忆放煤控制。
自动化记忆放煤控制主要由液压支架电液控制系统实现[12]。该系统由支架控制器、电液换向阀组、传感器、信号转换器、隔爆计算机等组成。支架控制器按照既定程序发出控制指令,控制电液换向阀组控制指定油缸动作,并通过安装在液压支架上的传感器检测动作执行情况,通过信号转换器将工作面液压支架动作信息发送到工作面巷道监控中心隔爆计算机,隔爆计算机发送指令控制液压支架动作。
通过液压支架电液控制系统可将人工放煤示范的支架动作及传感器数据发送到隔爆计算机,同时液压支架执行防爆计算机发出的记忆放煤控制命令,实现工作面液压支架的自动化放煤控制。
工作面放煤是通过液压支架放煤机构动作(尾梁摆动和插板伸收)完成的[13]。通过控制液压支架放煤机构位姿可有效控制垮落在后部刮板输送机上的煤量[14]。研究液压支架放煤机构位姿对评价和优化自动化记忆放煤控制有指导作用。
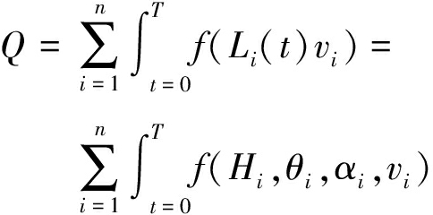
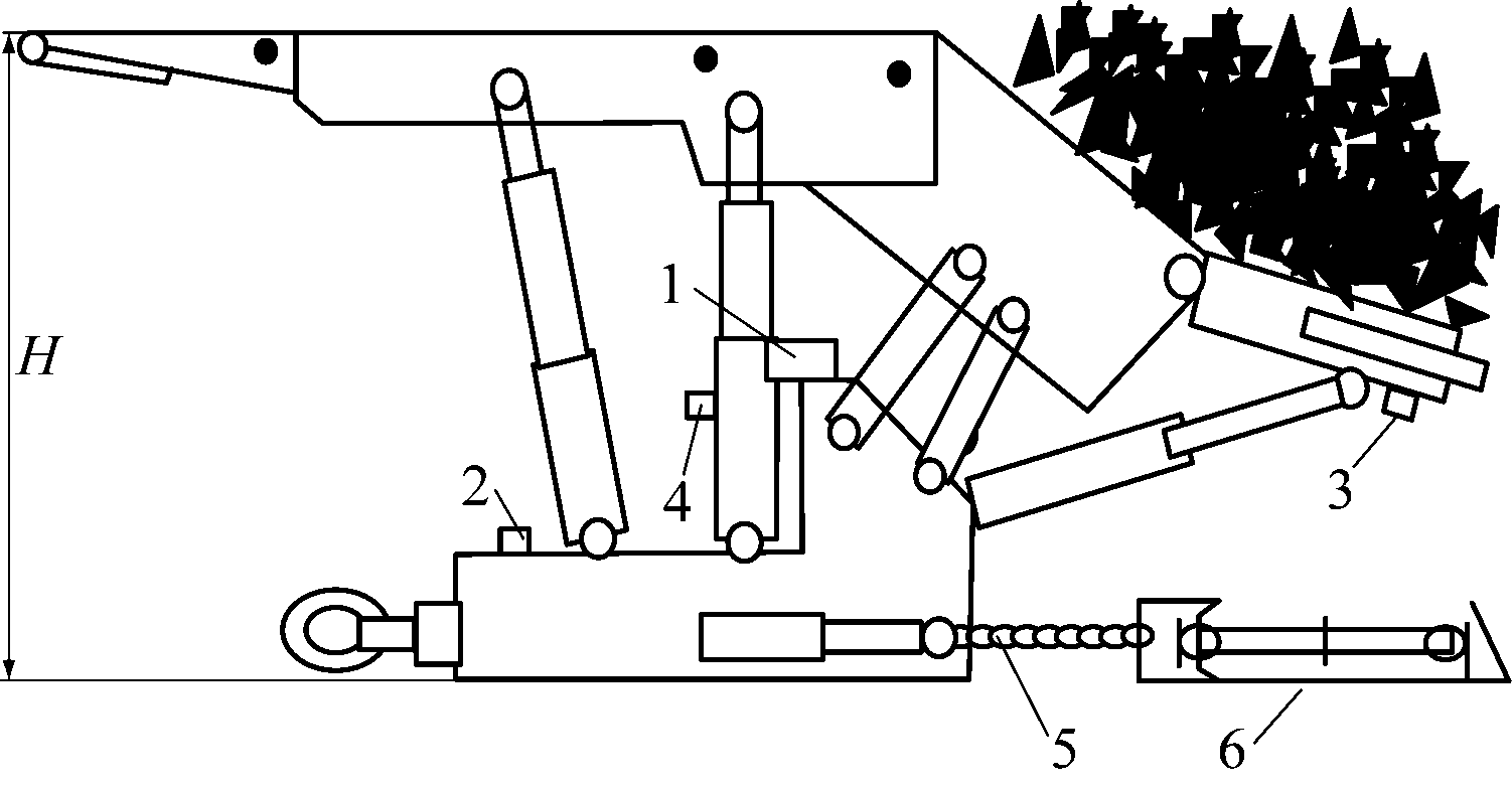
图1为简化的放煤控制模型。假定在放煤过程中液压支架插板一直处于收回状态,不考虑移架落煤、拉后部刮板输送机装煤等情况对后部刮板输送机上落煤量的影响。安装在液压支架尾梁上的倾角传感器检测尾梁摆角,安装在液压支架底座上的倾角传感器检测工作面仰俯角,安装在液压支架上的高度传感器检测支架支撑高度。当尾梁插板伸出时停止放煤,当尾梁插板收回时开始放煤。液压支架支撑高度降低时,液压支架掩护梁后移,在保持尾梁摆角不变的情况下,液压支架放煤口开度减小。工作面仰俯角也会影响液压支架放煤口开度,顶煤垮落速度与放煤口开度相关。工作面总放煤量为

(1)
式中:n为工作面打开的液压支架放煤口数量,一般为2或3个;T为当前时刻;f(·)为液压支架放煤口开度与放煤速度之间形成的落煤量函数关系式;Li(t)为第i(i=1,2,…,n)个液压支架在t时刻的放煤口开度;vi为第i个液压支架放煤速度;Hi为第i个液压支架支撑高度;θi为第i个液压支架位置的工作面仰俯角;αi为第i个液压支架尾梁摆角。

1-支架控制器; 2,3-倾角传感器; 4-高度传感器; 5-拉溜链子;6-后部刮板输送机;H-液压支架支撑高度
图1 简化的放煤控制模型
Fig.1 Simplified coal caving control model
式(1)即液压支架放煤机构位姿与放煤量关系模型。对于不同采高下液压支架尾梁所处的位姿状态(即放煤口开度),假定煤流速度稳定,对其进行时间积分即可得到相应的放煤量,从而通过精准控制液压支架放煤机构位姿实现放煤量控制。
工作面放煤过程是液压支架尾梁处于不同摆角,使放煤口处于不同开度时完成的。人工放煤操作方式一般分为3种:① 正常放煤,将液压支架尾梁摆到一定角度放煤;② 反复摆动液压支架尾梁,使支架上方顶煤垮落;③ 不断升柱、降柱,反复挤压顶煤,使顶煤破碎,易于垮落。其中①,②为主要放煤方式。通过液压支架动作,可得知整个放煤过程中煤层结构、开采方法与放煤量控制过程。
自动化记忆放煤控制流程如图2所示。液压支架电液控制系统将支架控制命令发送到防爆计算机上,通过命令译码,得知液压支架动作类型,并存储支架动作信息。在支架动作过程中,支架控制器不断读取液压支架高度传感器、底座和尾梁上的倾角传感器数据,并将数据发送到防爆计算机进行存储,对放煤口打开过程进行计时,最终得到液压支架放煤机构处于各种位姿状态的放煤时间,通过式(1)计算放煤量。将放煤量计算结果与刮板输送机运输能力对比,通过修正放煤机构位姿与放煤量关系模型参数,不断优化记忆放煤数据,最终使记忆放煤过程趋于稳定,形成由控制流程(动作顺序)、放煤机构位姿状态(高度、倾角)及其控制时序(对应时间)构成的记忆放煤控制顺序表。

图2 自动化记忆放煤控制流程
Fig.2 Automatic memory coal caving control flow
自动化记忆放煤控制通过记忆放煤机构位姿(放煤口开度)来实现。在放顶煤工作面生产过程中,可能会有多个放煤口同时放煤。控制后部刮板输送机上的总放煤量是实现自动化记忆放煤控制的目标,其由式(1)计算得出。
实现自动化记忆放煤控制需要记录以下信息:① 记忆放煤时间,即从首架开始放煤到当前记录的时间;② 液压支架执行的动作;③ 液压支架动作时间,即液压支架的放煤口开关动作持续时间;④ 尾梁摆角,其直接控制放煤口开度;⑤ 工作面仰俯角,其会影响尾梁摆角形成的放煤口开度;⑥ 液压支架支撑高度,其会影响液压支架掩护梁的位置,使液压支架尾梁起点位置与后部刮板输送机相对位置发生偏移,从而影响尾梁倾角形成的放煤口开度;⑦ 放煤速度,其与放煤口开度相关。因此,记忆放煤控制参数包括放煤开始时间、液压支架编号、液压支架动作步骤、液压支架动作(尾梁伸缩、支架升降)、传感器数据(尾梁摆角、工作面仰俯角、液压支架支撑高度)、液压支架动作持续时间等。
液压支架尾梁摆角根据倾角传感器数据进行控制,放煤机构位姿能否精准控制取决于倾角传感器的检测精度。倾角传感器在不同工作区段有不同精度级别,一般0~30°范围内检测精度最高,因此设置倾角传感器运行工作区段在0~43°。
在防爆计算机存储记忆放煤控制数据,其由多条顺序表组成。顺序表按照时间顺序记录工作面液压支架的放煤动作、传感器数据和时间信息,主要为记忆放煤控制参数。
放煤示范学习从工作面一端开始,由操作人员采用液压支架电液控制系统按照放煤工艺进行工作面放煤控制,到工作面另一端结束,此为一个完整的生产循环。在开始放煤时,启动示范记忆放煤模式,操作人员通过液压支架电液控制系统进行液压支架放煤控制,系统将操作人员的按键操作、液压支架动作、传感器数据等发送到防爆计算机。当进行动作切换或传感器数值变化超过预设值时,系统自动报送并存储1条顺序表记录。同时,系统每隔5 s自动发送1条传感器数据并存储1条顺序表记录。防爆计算机保存从放煤开始到结束的液压支架动作、传感器数据、液压支架动作持续时间等参数,生成按时间顺序排列的工作面液压支架记忆放煤控制顺序表。进行自动化记忆放煤控制时启用该表。
对于通过学习获取的记忆放煤控制数据,需要通过煤量计算程序进行放煤量复核处理,以防止记忆放煤控制数据受到干扰而出现错误,导致自动化记忆放煤控制实施过程中出现后部刮板输送机过载而压死的情况。具体实现方法:将记忆放煤控制顺序表中的数据代入式(1)计算人工放煤量,根据后部刮板输送机上的煤流负荷限定值,检查每一时间段内是否有超煤量负荷的情况,如果有则修正放煤机构位姿,使计算煤量处于限定范围内[15]。记忆放煤控制数据经过复核后即可投入使用。
在进行自动化记忆放煤时,启动记忆放煤控制模式。防爆计算机调出记忆放煤控制顺序表,按照顺序表中放煤时间顺序向工作面液压支架发送放煤控制指令。液压支架接收到该指令后,按照指定动作控制液压支架放煤机构位姿[16]。同时,防爆计算机还需要根据液压支架移架动作完成情况进行联锁控制,即在液压支架完成移架后才允许进行放煤控制,液压支架未完成移架时,需将防爆计算机上正在执行的记忆放煤控制程序挂起,待液压支架完成移架后再重新自动启动,从而实现工作面自动化采煤、放煤协同控制。
提出的自动化记忆放煤控制方法适用于煤层较稳定、煤层厚度变化不大的放顶煤工作面,易于实现,根据人工放煤操作方法和数据即可进行自动化放煤控制,可有效保证放煤质量,实现放煤过程的无人化操作;通过不断优化液压支架放煤机构位姿与放煤量关系模型,根据放煤量计算结果修正记忆放煤控制数据,可使后部刮板输送机上煤流负荷更加均衡。该方法不适用于煤层变化较大的放顶煤工作面。由于放煤过程与放煤工艺密切相关,还需要深入研究放煤机构位姿、放煤工艺与放煤量之间的关系[17],才能进一步完善自动化记忆放煤控制。
参考文献
[1] 王国法,庞义辉.特厚煤层大采高综采综放适应性评价和技术原理[J].煤炭学报,2018,43(1):33-42.
WANG Guofa,PANG Yihui.Full-mechanized coal mining and caving mining method evaluation and key technology for thick coal seam[J].Journal of China Coal Society,2018,43(1):33-42.
[2] 徐文虎.放顶煤采煤工艺研究[J].机械管理开发,2017,32(9):163-165.
XU Wenhu.Process of coal caving mining[J].Mechanical Management and Development,2017,32(9):163-165.
[3] 韩江涛.浅析综采放顶煤工艺及发展趋势[J].能源与节能,2016(10):23-24.
HAN Jiangtao.Analysis of the technology and development trend of fully-mechanized top coal caving[J].Energy and Energy Conservation,2016(10):23-24.
[4] 孟宪锐,王鸿鹏,刘朝晖,等.我国厚煤层开采方法的选择原则与发展现状[J].煤炭科学技术,2009,37(1):39-44.
MENG Xianrui,WANG Hongpeng,LIU Chaohui,et al.Selection principle and development status of thick seam mining methods in china[J].Coal Science and Technology,2009,37(1):39-44.
[5] 范志忠.自动化大采高综放工作面关键技术探讨[J].工矿自动化,2014,40(11):34-37.
FAN Zhizhong.Study on key technologies of automatic fully-mechanized top-coal caving face with large mining height[J].Industry and Mine Automation,2014,40(11):34-37.
[6] 张良,牛剑峰,代刚,等.综放工作面煤矸自动识别系统设计及应用[J].工矿自动化,2014,40(9):121-124.
ZHANG Liang,NIU Jianfeng,DAI Gang,et al.Design of automatic identification system of coal and gangue for fully-mechanized coal caving working face and its application[J].Industry and Mine Automation,2014,40(9):121-124.
[7] 牛剑峰.大型煤炭综采成套装备智能系统研究[J].煤矿机械,2015,36(3):64-66.
NIU Jianfeng.Research on intelligent system of complete equipment of large coal mining[J].Coal Mine Machinery,2015,36(3):64-66.
[8] 李建民,章之燕.开滦矿区复杂煤层综合机械化放顶煤开采技术[J].煤炭学报,2010,35(11):1794-1799.
LI Jianmin,ZHANG Zhiyan.The fully mechanized top coal caving mining technology in complicated seam of Kailuan mining area[J].Journal of China Coal Society,2010,35(11):1794-1799.
[9] 刘鹏,孟磊,王勃,等.基于位姿测量与煤层DEM的采煤机滚筒自动调高方法[J].煤炭学报,2015,40(2):470-475.
LIU Peng,MENG Lei,WANG Bo,et al.An automatic height adjustment method for shearer drums based on pose measurement and coal seam DEM[J].Journal of China Coal Society,2015,40(2):470-475.
[10] 唐延杰.论综采工作面如何自动化割煤[J].华东科技, 2013(9):375.
[11] 牛剑峰.综采放顶煤工作面自动放煤控制系统研究[J].工矿自动化,2018,44(6):27-30.
NIU Jianfeng.Research on automatic drawing control system on fully-mechanized coal face with sublevel caving[J].Industry and Mine Automation,2018,44(6):27-30.
[12] 崔志芳,牛剑峰.自动化放煤控制系统研究[J].工矿自动化,2018,44(12):39-42.
CUI Zhifang,NIU Jianfeng.Research on automatic coal caving control system[J].Industry and Mine Automation,2018,44(12):39-42.
[13] 牛剑峰.一种放顶煤工作面自动放煤控制系统及其放煤方法:201110388729.7[P].2011-11-30.
[14] 刘清,孟峰,牛剑峰.放煤工作面支架姿态记忆控制方法研究[J].煤矿机械,2015,36(5):89-92.
LIU Qing,MENG Feng,NIU Jianfeng.Research on memory control method for support postures of top coal caving mining face[J].Coal Mine Machinery,2015,36(5):89-92.
[15] 魏文艳.综采工作面放顶煤自动控制系统[J].工矿自动化,2015,41(7):10-13.
WEI Wenyan.Automatic control system of top coal caving on fully-mechanized coal mining face[J].Industry and Mine Automation,2015,41(7):10-13.
[16] 牛剑峰,朱小林,魏文艳.一种用于煤矿井下综放工作面的带记忆功能自动化放煤控制装置及其放煤方法:201210245357.7[P].2012-07-13.
[17] 董强.综采放顶煤生产工艺流程的研究[J].科技创新与应用,2015(26):128-129.