刘逢雪1,2, 崔洁3, 孙红1, 魏明生1
(1.江苏师范大学 物理与电子工程学院, 江苏 徐州221116;2.东南大学 信息科学与工程学院, 江苏 南京210096;3.江苏建筑职业技术学院 交通工程学院, 江苏 徐州221116)
摘要:对矿用可穿戴半模衬底集成空腔天线在柱面弯曲情况下的频率特性、阻抗匹配及辐射特性进行了仿真分析,结果表明:天线柱面弯曲导致谐振频率升高,但-10 dB相对带宽基本不变;当辐射开口发生弯曲时,天线阻抗匹配随着弯曲程度增大而逐渐变差;天线柱面弯曲造成正向辐射增益降低、背向辐射增益升高。因此,针对天线在柱面弯曲情况下的应用,应适当增大天线空腔尺寸和导电底面的长度或宽度,并在选择天线放置方向时应保持辐射开口不弯曲。
关键词:矿用可穿戴天线; 半模衬底集成空腔天线; 柱面弯曲; 频率特性; 阻抗匹配; 辐射特性
中图分类号:TD655.3
文献标志码:A
文章编号:1671-251X(2019)03-0095-04
DOI:10.13272/j.issn.1671-251x.17378
收稿日期:2018-11-15;
修回日期:2019-02-15;
责任编辑:盛男。
基金项目:江苏省高等学校自然科学研究面上项目(18KJB510014);徐州市科技项目(KC16SG268)。
作者简介:刘逢雪(1986-),男,江苏徐州人,讲师,博士,主要研究方向为可穿戴天线和受限空间无线信道建模,E-mail:liufengxue@jsnu.edu.cn。
引用格式:刘逢雪,崔洁,孙红,等.柱面弯曲对矿用可穿戴半模衬底集成空腔天线性能的影响[J].工矿自动化,2019,45(3):95-98.
LIU Fengxue,CUI Jie,SUN Hong,et al.Influence of cylindrical bending on performance of mine-used wearable half-mode substrate-integrated cavity antenna[J].Industry and Mine Automation,2019,45(3):95-98.
LIU Fengxue1,2, CUI Jie3, SUN Hong1, WEI Mingsheng1
(1.School of Physics and Electronic Engineering, Jiangsu Normal University, Xuzhou 221116, China; 2.School of Information Science and Engineering, Southeast University, Nanjing 210096, China; 3.School of Transportation Engineering, Jiangsu Vocational Institute of Architectural Technology, Xuzhou 221116, China)
Abstract:Frequency characteristics, impedance matching and radiation characteristics of mine-used wearable half-mode substrate-integrated cavity antenna under cylindrical bending condition were simulated. The simulation results show that cylindrical bending of the antenna leads to an increase of resonance frequency, but the relative bandwidth of -10 dB is basically unchanged. When radiation aperture is bent, impedance matching of the antenna becomes worse as curvature increases. Cylindrical bending of the antenna results in decrease of forward radiation gain and increase of backward radiation gain. Therefore, in view of application of the antenna under cylindrical bending, cavity size and length or width of conductive bottom should be appropriately increased, and radiation aperture should be kept unbent when selecting placement direction of the antenna.
Key words:mine-used wearable antenna; half-mode substrate-integrated cavity antenna; cylindrical bending; frequency characteristic; impedance matching; radiation characteristic
利用体域网对井下工作人员所处位置、身体各项指标(如心跳、血压等)及周边环境参数(如瓦斯浓度等)进行实时监控,能有效提高井下作业的安全系数,防止瓦斯爆炸等生产事故发生,有利于在坍塌的巷道中搜救受困人员[1-2]。矿用可穿戴天线能实现短距离无线信号传输,配合巷道内铺设的漏泄馈线通信系统可为实时监控数据提供稳定传输通道[3-5]。
矿用可穿戴天线通常被设计为可集成或附着在衣服上的柔性天线[6-8],在实际井下应用中,为避免天线被肢体遮挡,经常被放置在人体胸口、背部、肩部、四肢外侧等位置,容易发生近似于柱面弯曲的情况。本文以矿用可穿戴半模衬底集成空腔天线[9-12]为研究对象,仿真分析了柱面弯曲对天线频率特性、阻抗匹配及辐射特性的影响,可为柱面弯曲情况下天线佩戴方向的选择及天线尺寸修正提供依据。
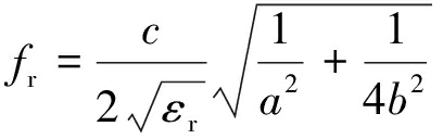
矿用可穿戴半模衬底集成空腔天线结构如图1所示。a,b,h分别为空腔长度、宽度、高度;yf为馈电探针到辐射开口的距离。为方便分析,假设a=2b,并将辐射开口设置在导电底面中心上方。根据经典空腔模型理论,该天线结构中的辐射开口可等效为平行于导电底面的磁偶极子,可推导出天线谐振频率为[13]
(1)
式中:c为真空光速;εr为衬底材料相对介电常数。

图1 矿用可穿戴半模衬底集成空腔天线结构
Fig.1 Structure of mine-used wearable half-mode substrate-integrated cavity antenna
出于耐用性和井下安全作业考虑,采用2 mm厚皮革(在2.45 GHz下的相对介电常数εr=1.3,损耗角正切约为0.02)作为衬底材料;选择耐弯折且便于与衣服布料进行集成的导电布(在2.45 GHz时的方块电阻为0.04 Ω)作为导电顶面和导电底面的材料;利用电脑绣花机将导电缝纫线(方块电阻为1 Ω)制成连接导电顶面和导电底面的侧壁。
通过HFSS进行建模仿真和参数优化,当a=74.6 mm,b=37.3 mm,yf=26.5 mm,仿真得到处于平面未弯曲状态下的天线回波损耗曲线和辐射方向图,如图2所示。可看出谐振频率为2.45 GHz,-10 dB相对带宽为3.2%(2.41~2.49 GHz),完全覆盖了2.45 GHz ISM频带;在谐振频率处回波损耗低于-40 dB,天线阻抗匹配良好;平行极化分量的正向辐射增益为4.2 dBi且主瓣宽度很大,背向辐射增益为-9.4 dBi,符合可穿戴天线发射角度覆盖广、天线与人体之间电磁隔离的设计要求;交叉极化分量的辐射增益小于-20 dBi。

(a) 回波损耗曲线

(b) 辐射方向图
图2 矿用可穿戴半模衬底集成空腔天线回波损耗曲线和辐射方向图
Fig.2 Return loss curve and radiation pattern of mine-used wearable half-mode substrate-integrated cavity antenna
本文所讨论的柱面弯曲是指天线底面紧贴着半径为rb的圆柱体发生弯曲,且仅讨论绕x轴或y轴弯曲的情况,如图3所示。为方便描述,用曲率κ(κ=1/rb)描述天线弯曲程度。考虑到可穿戴天线在人体表面附着部位一般为胸口、背部、肩部和四肢外侧等,本文仅对0<κ≤20/m(即rb≥50 mm)范围内的弯曲情况进行建模仿真。此外,由于导电布基本不可拉伸,在发生柱面弯曲时,假设天线导电顶面的长度和宽度不发生变化,而导电底面的长度或宽度相应减小。

(a) 绕x轴弯曲

(b) 绕y轴弯曲
图3 矿用可穿戴半模衬底集成空腔天线发生柱面弯曲
Fig.3 Mine-used wearable half-mode substrate-integrated cavity antenna under cylindrical bending
柱面弯曲(κ=20/m)情况下天线回波损耗曲线如图4所示。从图4可看出,天线在不同柱面弯曲情况下的-10 dB相对带宽(绕x轴、y轴弯曲时分别为3.2%,3.4%)变化都不大,但谐振频率(绕x轴、y轴弯曲时分别为2.48,2.50 GHz)均有一定程度的升高,这是由于空腔的等效长度或宽度变小;天线绕x轴、y轴弯曲时通频带分别为2.44~2.52,2.46~2.54 GHz,均无法完全覆盖2.45 GHz ISM频带。

图4 柱面弯曲时天线回波损耗曲线
Fig.4 Return loss curve of antenna under cylindrical bending
为避免谐振频率偏移导致通频带的频率覆盖范围发生变化,天线实际佩戴时应尽量放置在胸口或背部等部位,避免发生较严重的柱面弯曲;天线如果需要放置在四肢外侧或肩部等固有曲率较大的位置,在天线设计阶段应考虑适当增大天线空腔尺寸进行频率补偿。
柱面弯曲情况下天线驻波比最小值随曲率κ变化曲线如图5所示。从图5可看出,当天线绕x轴弯曲时,随着κ的增加,驻波比最小值一直保持在0.75以下,且没有明显上升趋势,表明天线阻抗匹配保持良好(一般移动通信天线要求驻波比最小值应不高于1.5,但实际应用时驻波比最小值应小于1.2[14-15]);当天线绕y轴弯曲时,随着κ的增加,驻波比最小值呈近似线性上升,在κ=20/m时接近1.7,表明天线阻抗匹配随着天线绕y轴弯曲程度的增加逐渐变差。

图5 柱面弯曲时天线驻波比最小值随曲率变化曲线
Fig.5 Changing curve of the minimum voltage standing wave ratio with curvature of antenna under cylindrical bending
当天线需要放置在四肢外侧或肩部等易发生柱面弯曲的位置时,为防止天线阻抗匹配变差,应尽量使天线辐射开口平行于四肢或肩部,避免辐射开口发生弯曲。
柱面弯曲(κ=20/m)情况下天线辐射方向图如图6所示(按天线柱面弯曲后的实际谐振频率进行仿真)。
对比图6(a)和图2(b)可看出,天线绕x轴弯曲时,平行极化分量的正向辐射增益约为2.7 dBi,相比天线未弯曲时下降1.5 dBi;背向辐射增益约为-7.1 dBi,相比天线未弯曲时升高2.3 dBi;xz平面内辐射方向与天线未弯曲时基本相同,而yz平面内辐射方向的主瓣宽度相比天线未弯曲时变大;交叉极化分量的辐射增益小于-20 dBi,相比天线未弯曲时基本一致。
对比图6(b)和图2(b)可看出,天线绕y轴弯曲时,平行极化分量的正向辐射增益约为3.3 dBi,相比天线未弯曲时下降0.9 dBi;背向辐射增益约为-5.5 dBi,相比天线未弯曲时升高3.9 dBi;yz平面内辐射方向与天线未弯曲时基本相同,而xz平面内辐射方向的主瓣宽度相比天线未弯曲时变大;交叉极化分量的辐射增益小于-20 dBi,相比天线未弯曲时基本一致。
为避免天线正向辐射增益降低、背向辐射增益升高,当天线绕x轴或y轴弯曲时,应分别适当增加导电底面的宽度或长度。

(a) 绕x轴弯曲、谐振频率为2.48 GHz

(b) 绕y轴弯曲、谐振频率为2.50 GHz
图6 柱面弯曲时天线辐射方向图
Fig.6 Radiation pattern of antenna under cylindrical bending
(1) 矿用可穿戴半模衬底集成空腔天线发生柱面弯曲时,其频率特性、阻抗匹配及辐射特性会受到明显影响:① 天线发生柱面弯曲时,空腔等效长度或宽度减小,导致谐振频率升高,但-10 dB相对带宽变化不大。② 天线绕x轴弯曲时,天线阻抗匹配保持良好;天线绕y轴弯曲时,天线阻抗匹配随着曲率的增加逐渐变差。③ 天线发生柱面弯曲时,平行极化分量的正向辐射增益降低、背向辐射增益升高,绕x轴弯曲时yz平面内主瓣宽度变大,绕y轴弯曲时xz平面内主瓣宽度变大,但均不会造成交叉极化分量的辐射增益变化。
(2) 天线实际佩戴时应尽量放置在胸口或背部等固有曲率较小的部位;天线若需要放置在四肢外侧或肩部等固有曲率较大的部位,应适当增大天线空腔尺寸进行频率补偿,尽量使天线辐射开口平行于四肢或肩部以避免天线阻抗匹配变差,并适当增加导电底面的长度或宽度来抵消柱面弯曲造成的正向辐射增益降低、背向辐射增益升高。
参考文献
[1] 孙继平.煤矿事故特点与煤矿通信、人员定位及监视新技术[J].工矿自动化,2015,41(2):1-5.
SUN Jiping.Characteristics of coal mine accidents and new technologies of coal mine communication,personnel positioning and monitoring[J].Industry and Mine Automation,2015,41(2):1-5.
[2] 冯禹,刘军.采矿工人生理状况监测系统设计[J].电子科技,2012,25(8):96-99.
FENG Yu,LIU Jun.Design of mining workers' physiological status monitoring system[J].Electronic Science and Technology,2012,25(8):96-99.
[3] 刘逢雪,徐钊,华钢.矿用多频切换半模衬底集成空腔天线设计[J].工矿自动化,2016,42(2):19-22.
LIU Fengxue,XU Zhao,HUA Gang.Design of mine-used frequency-switchable half-mode substrate-integrated cavity antenna[J].Industry and Mine Automation,2016,42(2):19-22.
[4] 崔洁,刘逢雪,臧其亮,等.矿用可穿戴翻折结构半模衬底集成空腔天线设计[J].工矿自动化,2016,42(6):8-12.
CUI Jie,LIU Fengxue,ZANG Qiliang,et al.Design of mine-used wearable folded half-mode substrate-integrated cavity antenna[J].Industry and Mine Automation,2016,42(6):8-12.
[5] 刘宁.人体中心网络可穿戴天线及传播特性研究[D].北京:北京邮电大学,2012.
[6] 刘逢雪.织物可穿戴天线及其应用研究[D].徐州:中国矿业大学,2016.
[7] 许德成.面向穿戴式无线通信系统的柔性天线设计及实现方法研究[D].长春:吉林大学,2017.
[8] HALL P S,HAO Y,EBRARY I.Antennas and propagation for body-centric wireless communications[M].2nd ed.Norwood:Artech House,2012.
[9] LIU Fengxue,KAUFMANN T,XU Zhao,et al.Wearable applications of quarter-wave patch and half-mode cavity antennas[J].IEEE Antennas and Wireless Propagation Letters,2015,14:1478-1481.
[10] KAUFMANN T,FUMEAUX C.Wearable textile half-mode substrate-integrated cavity antenna using embroidered vias[J].IEEE Antennas and Wireless Propagation Letters,2013,12:805-808.
[11] LIU Fengxue,XU Zhao,RANASINGHE D C,et al.Textile folded half-mode substrate-integrated cavity antenna[J].IEEE Antennas and Wireless Propagation Letters,2016,15:1693-1697.
[12] AGNEESSENS S,ROGIER H.Compact half diamond dual-band textile HMSIW on-body antenna[J].IEEE Transactions on Antennas and Propagation,2014,62(5):2374-2381.
[13] BALANIS C A.Antenna theory:analysis and design[M].3rd ed.New York:John Wiley & Sons,2005.
[14] 林昌禄.天线工程手册[M].北京:电子工业出版社,2002.
[15] MILLIGAN T A.现代天线设计[M].郭玉春,方加云,张光生,等,译.2版.北京:电子工业出版社,2012.