曹培, 熊晓燕, 武兵, 牛蔺楷
(太原理工大学 机械与运载工程学院, 山西 太原030024)
摘要:普通弛张筛中双筛框的振动相位会根据筛板上来料量的变化而变化,很难实现固定筛框和浮动筛框理想的180°相位差,导致筛分效率不能保证。针对上述问题,建立了双电动机驱动弛张筛力学模型及振动方程,得到弛张筛固定筛框和浮动筛框之间的振幅和相位关系,并分析得出:双激振电动机转速同步且偏心块的相位差为170°时,双筛框的振动相位差能达到180°。提出了一种基于双电动机驱动的弛张筛伺服控制系统,采用了基于交叉耦合的转速同步控制方法和改进的基于点动Bang-Bang的相位补偿控制算法。仿真结果表明:该系统在启动阶段跟随速度快,调整时间短,超调量小,转速同步情况比较理想;转速及相位补偿速度快,转速波动幅度为70 r/min左右,偏心块相位差波动幅度控制在5°以内,具有较强的抗干扰性。
关键词:煤炭分选; 双电动机驱动弛张筛; 伺服控制系统; 固定筛框; 浮动筛框; 转速同步; 相位补偿
中图分类号:TD452
文献标志码:A
文章编号:1671-251X(2019)03-0075-07
DOI:10.13272/j.issn.1671-251x.2018100026
收稿日期:2018-10-15;
修回日期:2019-01-25;
责任编辑:胡娴。
基金项目:国家自然科学基金面上项目(51775364)。
作者简介:曹培(1993-),男,河北石家庄人,硕士研究生,研究方向为机械系统动态设计,E-mail:1178301897@qq.com。
引用格式:曹培,熊晓燕,武兵,等.双电动机驱动弛张筛及其伺服控制系统[J].工矿自动化,2019,45(3):75-81.
CAO Pei,XIONG Xiaoyan,WU Bing,et al.Double motor driven flip-flow screen and its servo control system[J].Industry and Mine Automation,2019,45(3):75-81.
CAO Pei, XIONG Xiaoyan, WU Bing, NIU Linkai
(College of Mechanical and Transportation Engineering, Taiyuan University of Technology, Taiyuan 030024, China)
Abstract:Vibration phase of two screen frames in ordinary flip-flow screen varies in accordance with the change of incoming materials, and phase difference between fixed screen frame and floating screen frame is difficult to maintain at ideal 180 degrees, which leads to low screening efficiency. In view of the above problems, mechanical model and vibration equation of double motor driven flip-flow screen were established, relationship of amplitude and phase between fixed and floating screen frames were obtained, and it was concluded that when speed of double excitation motor was synchronized and phase difference of eccentric block is 170°, vibration phase difference of double screen frames can achieve 180°. Servo control system of double motor driven flip-flow screen was proposed, and cross-coupling-based speed synchronization control method and improved Bang-Bang-based phase compensation control algorithm were used. The simulation results show that the system follows quickly in startup phase with short adjustment time and small overshoot, ideal speed synchronization ; rotation speed and phase compensation speed are fast, absolute value of speed fluctuation amplitude is about 70 r/min, and eccentric block phase difference fluctuation amplitude is controlled within 5°, which verifies the system has strong anti-interference performance.
Key words:coal separation; double motor driven flip-flow screen; servo control system; fixed screen frame ; floating screen frame ;speed synchronization; phase compensation
由于煤层渗水、井下防尘喷水和管理不善等原因,煤矿开采出的原煤水分含量往往在7%以上,导致潮湿细粒煤炭在分选过程中发生粘附成团、堵塞筛分设备筛孔的现象。尤其当原煤外在水分含量达到7%~14%时,用普通振动筛进行3 mm或6 mm粒度分级效率十分低下[1-2]。弛张筛[3]作为潮湿细粒物料的干法深度筛分设备[4-5],在煤炭筛分领域有着重要作用。弛张筛的振动位移作为振动系统简谐激励下的动态响应,是求解振动速度和振动加速度的基础。相关学者对弛张筛的振动特性进行了研究。王新文等[6]介绍了一种进口弛张筛,通过对其振动微分方程的求解获得了系统水平和竖直方向的幅频特性曲线;陈志强等[7]通过分析双质体振动弛张筛的振动特性获得了比较理想的弛张筛工作区域;顾成祥等[8]提出了弛张筛综合评价指标,分别对弛张筛的工艺、结构、运动学和动力学参数进行优化。
单电动机驱动的弛张筛中偏心式惯性激振器安装在固定筛框上,筛面两端固定在固定筛框和浮动筛框横梁上[9-10]。激振作用使双筛框带动筛面做弛张运动,从而实现物料筛分。但是固定筛框和浮动筛框的振幅和相位会根据来料量的变化而变化,很难实现固定筛框和浮动筛框振幅和相位的分别控制,影响了筛分效率[11]。针对以上不足,提出了一种新的双激振电动机驱动的弛张筛,该弛张筛中,固定筛框和浮动筛框上分别固定偏心式惯性激振器。双电动机控制、双筛框协同运动使筛分效率更高,生产能力更强。本文分析了双电动机驱动弛张筛的振动方程,得到双激振电动机偏心块的相位差为170°时双筛框的振动相位差可以达到180°;并提出了基于交叉耦合的转速同步控制和改进的基于点动Bang-Bang的相位补偿控制算法,通过仿真结果证明了所提算法的可靠性和有效性。
双电动机驱动弛张筛主要由固定筛框、浮动筛框、隔振橡胶弹簧、剪切橡胶弹簧、固定筛框激振电动机、浮动筛框激振电动机和聚氨酯筛面组成,如图1所示。浮动筛框通过剪切橡胶弹簧与固定筛框相连,固定筛框通过隔振橡胶弹簧与底座相连。其中,固定筛框和浮动筛框均有相间分布的横梁,聚氨酯筛面一端固定在固定筛框横梁上,另一端固定在浮动筛框横梁上,偏心块固定在激振电动机的转轴上。

1-隔振橡胶弹簧; 2-剪切橡胶弹簧; 3-固定筛框激振电动机; 4-浮动筛框激振电动机; 5-浮动筛框; 6-固定筛框横梁; 7-聚氨酯筛面; 8-浮动筛框横梁; 9-固定筛框
图1 双电动机驱动弛张筛结构
Fig.1 Structure of double motor driven flip-flow screen
启动后,固定筛框激振电动机和浮动筛框激振电动机按相同的方向等速旋转。固定筛框横梁和浮动筛框横梁在激振电动机的带动下进行相对运动,从而带动安装在横梁上的聚氨酯筛面进行连续不断的弛张运动。
双电动机驱动弛张筛力学模型如图2所示。建立xoz方向的坐标系,x方向为沿筛面宽度的方向,z方向为垂直于筛面宽度的方向。固定筛框和浮动筛框均在x和z方向产生相对运动。图2中,m1,m2为固定筛框和浮动筛框的质量(包括激振电动机),kg;kx,kz为剪切橡胶弹簧沿振动方向的等效刚度,N/m;cx,cz为剪切橡胶弹簧沿振动方向的阻尼系数,(N·s)/m;ω为电动机转动角速度,rad/s;k1,k2为隔振橡胶弹簧沿x和z方向的等效刚度,N/m,k1=k2=(m1+m2)(ω/zg)2(sinα+cosα);zg为隔振系统频率比;α为弛张筛安装倾角,(°);P为激振力幅值,N,P=Σm0ω2r;r为偏心块的回转半径,m;Σm0为偏心块质量,kg;x1,x2为固定筛框和浮动筛框沿x方向的位移,m;z1,z2为固定筛框和浮动筛框沿z方向的位移,m。

图2 双电动机驱动弛张筛力学模型
Fig.2 Mechanical model of double motor driven flip-flow screen
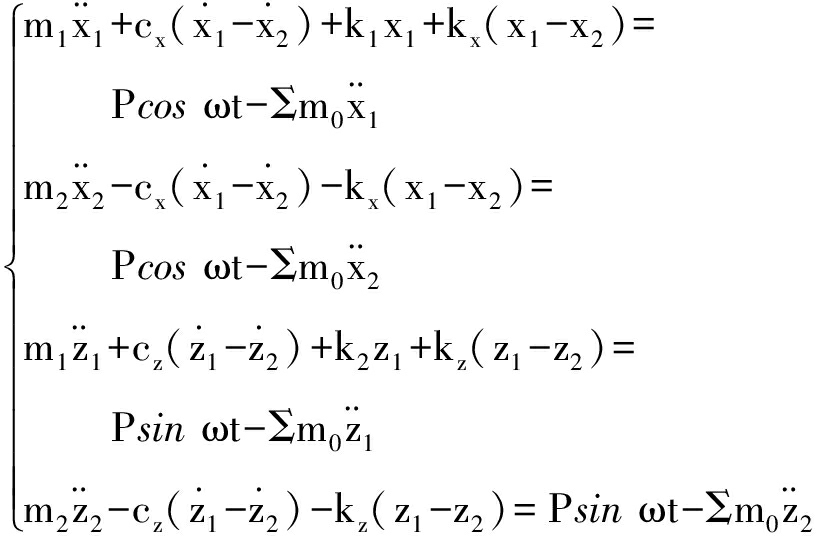
根据图2可得出固定筛框和浮动筛框的振动方程:

(1)
式中:x,z为相对位移;
为相对速度;
为相对加速度。
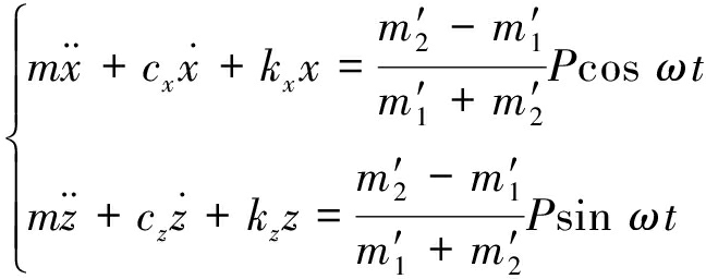
为求出式(1)的解,将其转换为用相对位移、相对速度和相对加速度表示的振动方程:

(2)
式中:m为诱导质量,
为固定筛框等效质量,
为浮动筛框等效质量,![]()
由于存在阻尼,弛张筛稳态工作后瞬态振动会逐渐消失,所以不考虑式(2)的通解,其特解为

(3)
式中:A,B为相对位移振幅;αx,αz为相对相位角。
将式(3)代入式(2)中得到相对位移振幅A,B和相对相位角αx和αz:

(4)
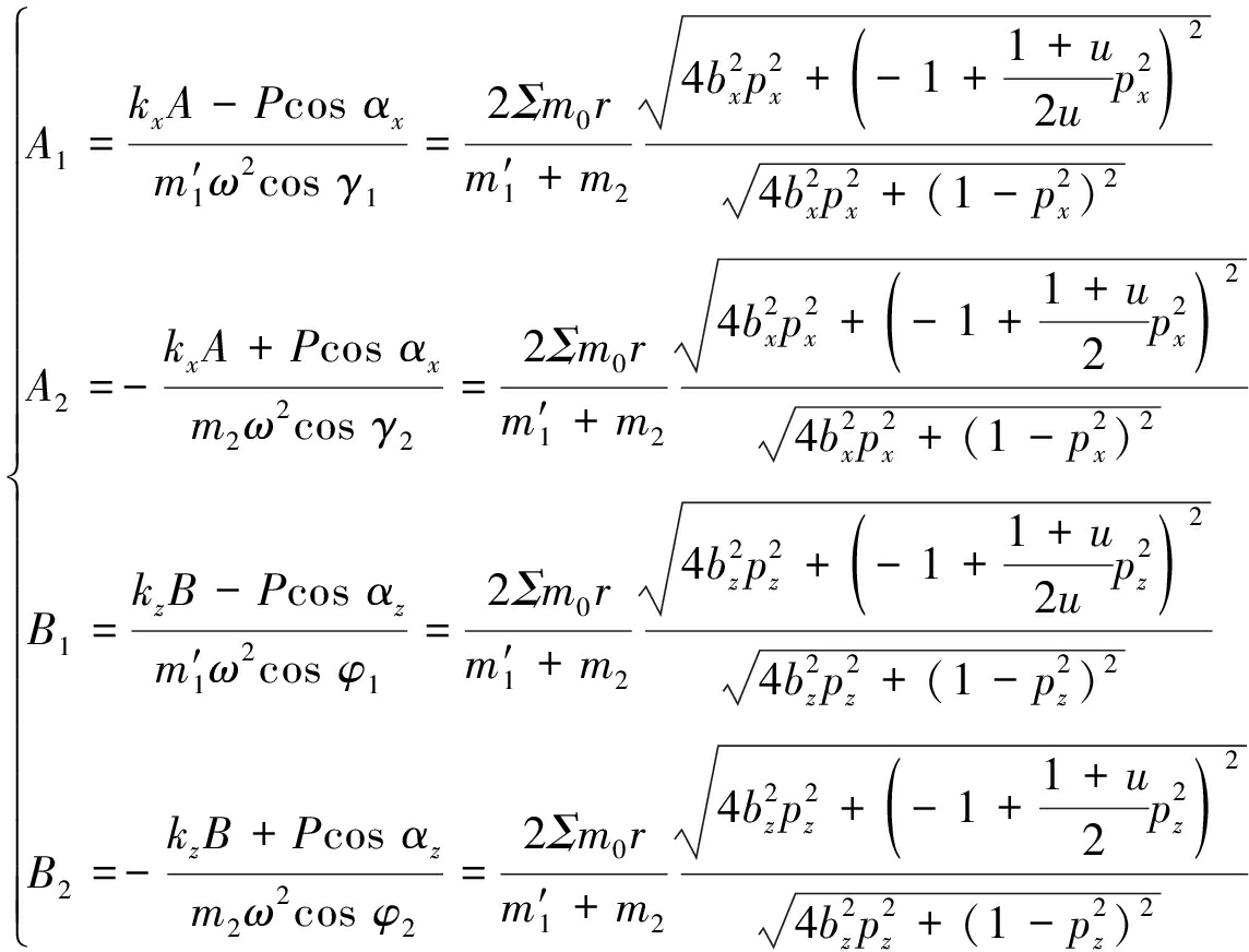
固定筛框绝对位移x1,z1和浮动筛框绝对位移x2,z2可表示为

(5)
式中:A1,A2为固定筛框和浮动筛框沿x方向的绝对位移振幅;B1,B2为固定筛框和浮动筛框沿z方向的绝对位移振幅;α1,α2为固定筛框和浮动筛框沿x方向的激振力超前绝对位移的相位差角;β1,β2为固定筛框和浮动筛框沿z方向的激振力超前绝对位移的相位差角。
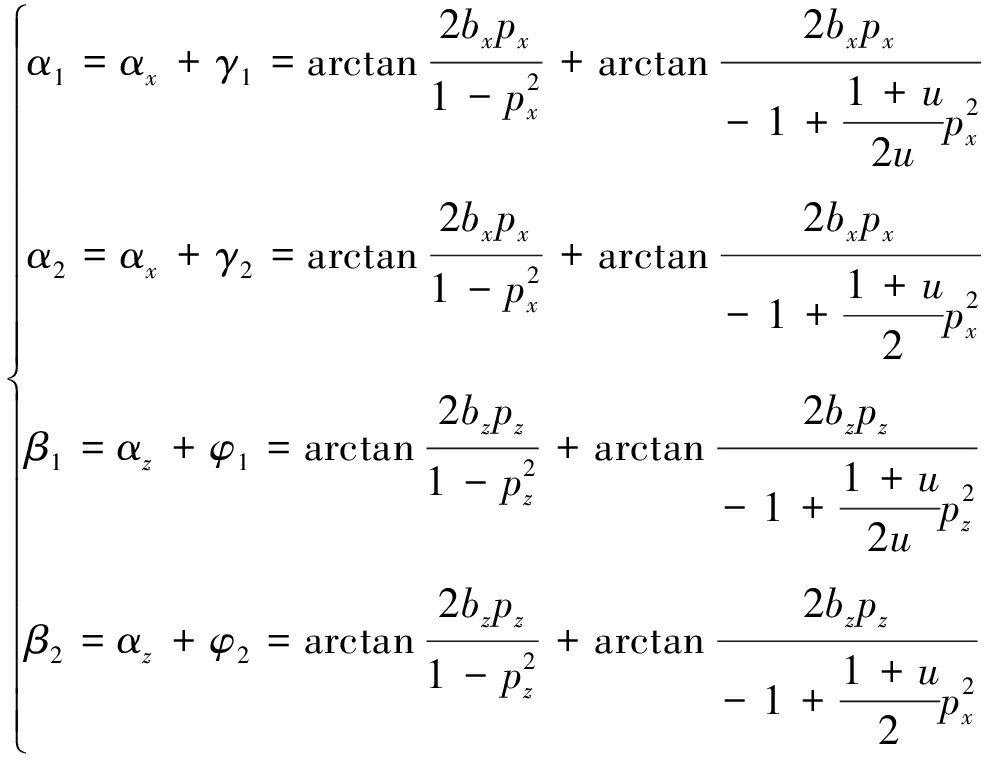
根据式(2)、式(3)、式(5),得到绝对位移振幅和绝对相位角:

(6)

(7)
式中:bx为x方向的阻尼比,bx=cx(2mωx)-1;bz为z方向的阻尼比,bz=cz(2mωz)-1;px为x方向的频率比,px=ω/ωx;pz为z方向的频率比,pz=ω/ωz;ωx为x方向系统固有圆频率,
为z方向系统固有圆频率,
为固定筛框和浮动筛框等效质量之比,
和γ2分别为固定筛框和浮动筛框沿x方向的相对相位差角;φ1和φ2分别为固定筛框和浮动筛框沿z方向的相对相位差角。
在弛张筛工作过程中,筛面受到横梁沿x方向和z方向的拉伸作用,其中x方向和z方向振动形式相同且x方向是主要激振方向,因此只分析x方向振动。
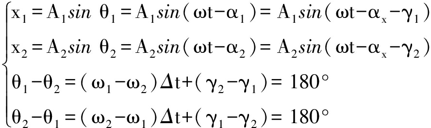
筛面传递给颗粒的惯性力取决于筛面产生的加速度,筛面的加速度取决于筛板张紧量[12]和双筛框的相对加速度;当运动方向相反的2个筛框同时到达x方向的正负最大点或初始位置时,可使筛面完全伸展或蜷缩,从而使得筛面对物料颗粒的抛射加速度达到最大。要想达到上述效果,固定筛框和浮动筛框的相位差应保持为180°。固定筛框和浮动筛框的位移和相位差为

(8)
式中:θ1和θ2分别为固定筛框和浮动筛框的振动相位;ω1,ω2分别为电动机1和电动机2的转速;Δt为双激振电动机速度不相等状态维持的时间。
θ1-θ2=180°和θ2-θ1=180°都可以达到双筛框相位差的理想效果。因为αx,γ1,γ2只与系统结构参数有关,所以要想使双筛框的相位差达到180°,可以通过控制激振电动机1和激振电动机2的速度ω1、ω2和Δt来实现理想的激振电动机偏心块相位差。
要使双激振电动机偏心块的相位差保持在理想范围,必须协调好速度和相位的关系,使速度和相位均达到同步的效果。因为相位是速度的积分,所以在速度相差很大的情况下调节相位是没有意义的,在保证速度同步的同时控制相位才能达到理想效果。多电动机同步驱动控制中,常用的同步控制技术有主从控制、并行控制、电子虚拟主轴控制和交叉耦合控制[13]。主从控制中,从电动机的扰动不会传送到主电动机,而且存在延迟现象;并行控制中,一台电动机扰动不会影响到下一台电动机,从而使得电动机不同步;电子虚拟主轴控制能较好地抑制各电动机的负载扰动,但主参考轴和每个轴之间可能会存在一个恒稳态位置差。
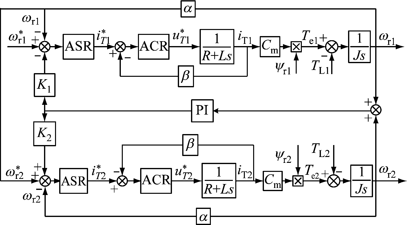
双电动机驱动弛张筛伺服控制系统对电动机速度和相位控制要求比较高,运动过程中任何一台电动机的迟滞现象都会对速度和相位产生影响。为了保持较好的同步性,转速部分采用基于交叉耦合的转速同步控制方法,伺服控制系统和转速同步控制结构如图3和图4所示。

图3 双电动机驱动弛张筛伺服控制系统
Fig.3 Servo control system of double motor driven flip-flow screen

图4 基于交叉耦合的转速同步控制结构
Fig.4 Speed synchronization control structure based on cross coupling
转子磁场定向[14]的方法是让M-T旋转坐标系与旋转磁场都以同步转速旋转,并规定M轴沿转子磁链方向,而T轴垂直于转子磁链方向。图3中,
为电动机1的参考输入转速,ωr1,ωr2是电动机1、电动机2的实际反馈转速;参考和实际的转速差值经速度调节器ASR调节后可以得到T轴的参考输入电流
是T轴的反馈电流;
是磁链的参考输入,反馈磁链ψr1是由电动机输入电流ia,ib,ic经过坐标变换和磁链计算得到;磁链差值经过磁链调节器AψR调节后得到M轴电流
是M轴反馈电流;电流差值经电流调节器ACR调节后可以得到电动机T轴和M轴的输入电压
经过两相三相坐标变换得到双电动机的三相驱动电压
分别为2个电动机转子的电角度,U为逆变器供电电压。左下角灰色部分是同步控制中的核心,双激振电动机速度相减,经过PI调节器之后再乘以耦合同步系数K1和K2,分别补偿到电动机1和电动机2的转速上。对电动机1的转速施加负补偿,对电动机2的转速施加正补偿。转矩同步控制通过控制T轴上的电流iT来实现[15],而转速同步通过对双电动机的转速做交叉耦合实现。
图4中,α,β分别为转速反馈系数和T轴上的电流反馈系数;R,J,L分别为等效到电动机T轴上的电阻、电感和转矩。Te1,Te2为双电动机电磁转矩,TL为负载转矩。双电动机驱动弛张筛伺服控制系统包括转速控制子系统和磁链控制子系统,因为转速控制算法在转速子系统上进行,所以将转速子系统和磁链子系统解耦。将电动机1的实际转速作为电动机2的输入转速,使得电动机2的转速时刻跟踪电动机1的转速。
双激振电动机的偏心块从启动到平稳运行时的速度跟随情况如图5所示,可以看出,基于交叉耦合的转速同步控制在启动阶段跟随速度快,调整时间短,超调量小,同步情况比较理想。

图5 转速跟随特性曲线
Fig.5 Speed following characteristic curves
由式(8)可知相位差的控制目标为
θ1-θ2=(ω1-ω2)Δt+(γ2-γ1)=180°
(9)
θ2-θ1=(ω2-ω1)Δt+(γ1-γ2)=180°
(10)
根据弛张筛的工作原理设计了双电动机弛张筛样机模型,参数选取见表1。
根据式(7)和选取的动力学参数可得
表1 动力学参数选取
Table 1 Parameters selection of dynamics

γ1-γ2=

(11)
γ2-γ1=

(12)
根据式(9)—式(12)可得

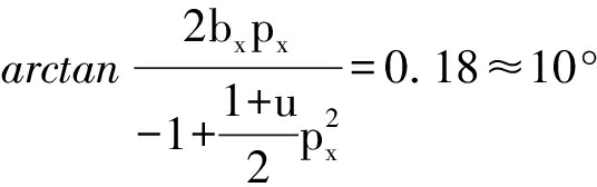
由式(13)、式(14)可得,当偏心块1的相位角超前于偏心块2的相位角190°,或者偏心块2的相位角超前于偏心块1的相位角170°时,可使得双筛框的相对加速度达到最大。因为偏心块旋转一周是360°,所以当偏心块2的相位超前偏心块1的相位170°时,可等效成偏心块1的相位超前于偏心块2相位190°。下面分析如何使偏心块2的相位超前于偏心块1的相位,并使相位差稳定地控制在170°范围内。
假设双激振器的偏心块在一个周期内的4种运动状态如图6所示,每种状态的上图为激振器2的偏心块,下图为激振器1的偏心块。
状态1:理想情况下电动机等速启动时2个偏心块的位置,可以看到初始状态偏心块的相位差为0°。
状态2:假设由于转速波动使激振电动机2的转速超越激振电动机1的转速,偏心块2的相位超越偏心块1的相位为θ,θ<170°,要达到理想的170°相位差,应开始点动控制,给电动机2的转速施加正补偿。

图6 偏心转子4种运动状态
Fig.6 Four states of eccentric blocks
状态3:对电动机2的转速进行补偿之后,偏心块2和偏心块1的相位差由θ增加到了180°-θ,假设θ=10°,并且在误差允许的范围之内,点动控制的时间结束,停止对电动机2的转速补偿。
状态4:如果对电动机2的转速补偿时间过度,就会出现状态4的情况,此时偏心块2超越偏心块1的相位为170°+θ,点动控制时间开始,对电动机2的转速施加负补偿,使电动机2的转速减慢,等到相位差在误差允许的范围内之后,点动控制时间结束,停止对电动机2的转速补偿。
激振电动机2上的转速补偿采用的是改进的基于点动的Bang-Bang控制策略,当双激振器偏心块相位差不满足要求时,直接将一定的转速补偿量施加到第2台激振电动机上,电动机2上的转速补偿量为
Δn(t)=KtNmax
(15)
(16)

(17)
式中:Δn(t)为激振电动机2上的转速补偿量;Δθ为双偏心块在一个周期内的相位差,Δθ=θ2-θ1-170°;Kt为点动控制系数,点动控制时间由Δθ决定;es为一个周期内设定的相位差阈值,当满足条件-es≤Δθ≤es时,点动控制时间结束;Nmax为转速常数;nmax为设定的转速补偿量。
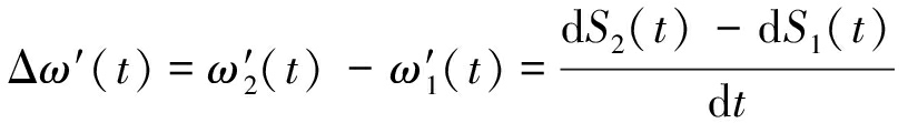
由于激振电动机转速波动,Δθ不总在一个周期之内,所以,通过式(18)将Δθ控制在一个周期之内。

(18)
(19)
(20)
式中:h为偏心块2超越偏心块1的圈数;
分别为t时刻2个偏心块的角速度和重心线位置;ΔS0,ΔS(t)分别为偏心块初始相位差和0~t时间内相位差之和。
改进的点动Bang-Bang控制算法具有时间最优特性,经过计算得到双偏心转子之间的角位移差值,然后用Bang-Bang控制算法算出转速的补偿量,作用到电动机转速输入部分,观察Δθ是否满足要求。如果满足,停止补偿;如果不满足,则进入下一周期。转速补偿速度很快,相位在很短的时间内就可以达到控制要求。
由于双偏心块相位差不断变化,所以激振电动机2上的补偿转速也时正时负,并且补偿时间很短。电动机2的转速如图7所示,从图7可以看出,电动机转速波动幅度为70 r/min左右,转速调整速度很快,满足了控制快速性的要求。

图7 电动机2的转速
Fig.7 Speed of motor 2
双偏心块的相位差如图8所示,由于电网电压的不断扰动,使得偏心块的速度和相位差也不断波动,从图8可以看出,偏心块的相位差波动幅度控制在5°以内,验证了控制算法的有效性和较强的抗干扰性。
(1) 双电动机驱动的弛张筛作为一种新型的筛分设备,有比单电动机弛张筛更优良的特性。固定筛框和浮动筛框采用双电动机分别控制,协同运动,并且可灵活调整工作状态,使筛机启动速度快,传递效率更高,有利于筛板的弛张运动,便于实现通用化、系列化、标准化。

图8 双偏心块相位差
Fig.8 Phase difference of double eccentric blocks
(2) 电压波动和变频器输出信号的不稳定都会对电动机转速产生影响,利用基于交叉耦合的转速同步控制策略和改进的基于点动的Bang-Bang控制算法对电动机转速进行控制,双偏心块的速度同步时间更短,位置精度更高,稳定性和抗干扰性都比较好,避免了筛机运行过程中固定筛框和浮动筛框由于速度不同步而产生较大噪声的状况,延长了筛机的使用寿命,达到了很好的筛分效果。
参考文献
[1] DONG H L, LIU C S,ZHAO Y M,et al.Review of the development of dry coal preparation theory and equipment[J].Advanced Materials Research,2013,619:239-243.
[2] LIU K S. Some factors affecting sieving performance and efficiency[J].Powder Technology,2009,193(2):208-213.
[3] ZHENG Gangfeng, ZHU Jinbo,XIA Wandong,et al. Banana flip-flow screen benefits coal preparation[J].Filtration and Separation,2016,53(4):38-41.
[4] NIKHIL G. Evaluation of pneumatic inclined deck separator for high-ash Indian coals[J].International Journal of Coal Science & Technology,2016,3(2):198-205.
[5] ZHAO Yuemin, YANG Xuliang,LUO Zhenfu,et al.Progress in developments of dry coal beneficiation[J].International Journal of Coal Science & Technology,2014,1(1):103-112.
[6] 王新文,姚凯旋,张春节,等.进口振动弛张筛的工作机理分析[J].矿山机械,2014,42(5):87-90.
WANG Xinwen, YAO Kaixuan,ZHANG Chunjie,et al.Analysis on working mechanism of imported vibrating flip-flow screen[J].Mining & Processing Equipment,2014,42(5):87-90.
[7] 陈志强,石剑锋,刘欣,等.双质体振动弛张筛振动特性分析[J].煤炭工程,2014,46(11):113-114.
CHEN Zhiqiang, SHI Jianfeng,LIU Xin,et al.Analysis on vibration characteristics of double mass vibrating flip-flop screen[J].Coal Engineering,2014,46(11):113-114.
[8] 顾成祥,熊晓燕.圆迹弛张筛动力学参数对振幅的影响[J].煤炭技术,2014,33(12):238-241.
GU Chengxiang, XIONG Xiaoyan.Effect of dynamic parameters on vibration amplitude of flip-flop screen in circular trajectory[J].Coal Technology,2014,33(12):238-241.
[9] 王春华,朱殿烨.基于MATLAB 的圆振动筛的运动仿真[J].煤矿机械,2009,30(2):45-47.
WANG Chunhua, ZHU Dianye.Dynamic simulation of circular vibrating screen based on MATLAB[J].Coal Mine Machinery,2009,30(2):45-47.
[10] 王谦,赵俊利.基于 MATLAB 软件的振动筛振动研究[J].煤矿机械,2011,32(9):38-39.
WANG Qian, ZHAO Junli.Analysis and study on vibration shaker with MATLAB software[J].Coal Mine Machinery,2011,32(9):38-39.
[11] 翟宏新,杨丽,李君.工业型弛张筛系统参数的整体优化[J].煤炭学报,2004,29(1):105-108.
ZHAI Hongxin, YANG Li,LI Jun.Integral optimization on systematic parameters of flip-flow screens[J].Journal of China Coal Society,2004,29(1):105-108.
[12] 邹梦麒,刘初升,武继达,等.张紧量对单边驱动式弛张筛筛面动力学参数的影响[J].煤炭学报,2018,43(2):571-577.
ZOU Mengqi, LIU Chusheng,WU Jida,et al.Influence of tensional amount on dynamic parameters of unilateral[J].Journal of China Coal Society,2018,43(2):571-577.
[13] 刘坤,方一鸣,赵莹.同步控制及其在结晶器振动中的应用[J].控制工程,2007,14(3):328-331.
LIU Kun, FANG Yiming,ZHAO Ying.Synchronization control and its applications to continuous casting mold[J].Control Engineering of China,2007,14(3):328-331.
[14] 寇宝泉,程树康.交流伺服电机及其控制[M].北京:机械工业出版社,2008.
[15] 耿强,单长帅,刘涛,等.双电机刚性齿轮传动系统转矩均衡控制[J].电工技术学报,2017,32(15):17-26.
GENG Qiang, SHAN Changshuai,LIU Tao,et al.Torque balance control of dual-motor rigid gear drive system[J].Transactions of China Electrotechnical Society,2017,32(15):17-26.