李振璧1, 李仲强1, 刘延彬2, 辛元芳1
(1.安徽理工大学 电气与信息工程学院, 安徽 淮南232001;2.安徽理工大学 力学与光电物理学院, 安徽 淮南232001)
摘要:针对基于最小二乘法的参数辨识精度不高的问题,提出了一种基于鲸鱼优化算法的矿用机器人驱动系统参数辨识方法。通过建立矿用机器人驱动系统模型确定待辨识参数,将待辨识参数看作鲸鱼群个体位置,通过适应度函数来衡量每个鲸鱼群个体位置的优劣,利用鲸鱼觅食策略不断更新鲸鱼群个体位置,直至获得最佳鲸鱼群个体位置,即可获得最佳辨识参数。仿真和实验结果表明,与基于最小二乘法的参数辨识方法相比,该方法具有更高的辨识精度。
关键词:矿用机器人; 驱动系统; 参数辨识; 鲸鱼优化算法
中图分类号:TD67
文献标志码:A
文章编号:1671-251X(2019)03-0071-04
DOI:10.13272/j.issn.1671-251x.2018030058
收稿日期:2018-03-18;
修回日期:2019-02-20;
责任编辑:盛男。
基金项目:国家自然科学基金项目(51604011);安徽省自然科学基金项目(1708085QF135);安徽高校自然科学重点项目(KJ2017A077);安徽省高校优秀青年人才支持计划重点项目(gxyqZD2016082)。
作者简介:李振璧(1959-),男,山东微山人,教授,博士,主要研究方向为机器视觉、生产过程控制,E-mail:i-u@163.com。
通信作者:李仲强(1994-),男,安徽六安人,硕士研究生,主要研究方向为智能算法、机器人控制,E-mail:lizhongdjjy@163.com。
引用格式:李振璧,李仲强,刘延彬,等.矿用机器人驱动系统参数辨识[J].工矿自动化,2019,45(3):71-74.
LI Zhenbi,LI Zhongqiang,LIU Yanbin,et al.Parameter identification of mine-used robot driving system[J].Industry and Mine Automation,2019,45(3):71-74.
LI Zhenbi1, LI Zhongqiang1, LIU Yanbin2, XIN Yuanfang1
(1.School of Electrical and Information Engineering, Anhui University of Science and Technology, Huainan 232001, China; 2.School of Mechanics and Optoelectronics, Anhui University of Science and Technology, Huainan 232001, China)
Abstract:In view of problem of low precision of parameter identification based on least square method, a parameter identification method of mine-used robot driving system based on whale optimization algorithm was proposed. Driving system model of mine-used robot is established to determine parameters to be identified which are considered as individual position of whale colony. Fitness function is used to measure the individual position of whale colony. The optimal identification parameters can be obtained by continuously updating the individual position of whale colony with whale foraging strategy until the optimal individual position of whale colony is obtained. The simulation and experimental results show that the method has higher identification accuracy than the parameter identification method based on least square method.
Key words:mine-used robot; driving system; parameter identification; whale optimization algorithm
矿用机器人驱动系统是矿用机器人的核心组成部分,驱动系统参数的准确性决定了系统的稳定性和可靠性,直接影响机器人运动控制精度,因此需要对驱动系统参数进行辨识[1-5]。最小二乘法[6](Least Square Method,LSM)在参数辨识中应用较多,具有计算量小、易实现等优点,但辨识参数不够精准。鲸鱼优化算法[7](Whale Optimization Algorithm,WOA)是2016年由S. Mirjalili等通过研究座头鲸的狩猎行为后,提出的一种新型群体智能算法,具有算法简单、调节参数少、收敛速度快和跳出局部寻优能力强等特点[8-10]。本文将WOA应用于矿用机器人驱动系统参数辨识,具有较高的参数辨识精度。
矿用机器人驱动系统中电动机选用无刷直流电动机,采用霍尔传感器检测电动机转速。不计磁滞损耗及涡流损耗,忽略电动机磁路饱和,建立矿用机器人驱动系统模型[11-12]:

(1)
式中:ia为电动机电枢电流;t为采样时间;n为电动机转速;Ra为电枢电阻;La为电枢电感;Ce=KeΦ(Ke为电势常数,Φ为磁通量);CT=KTΦ(KT为转矩常数);JG为电动机转动惯量;TL为电动机负载转矩;Ua为电动机电压。
WOA主要模仿鲸鱼环绕式捕食、气泡网攻击和搜索捕食3种行为[13]。
鲸鱼能够辨别猎物位置并对猎物进行包围,每只鲸鱼所在位置代表1组解集。设定当前鲸鱼群最佳个体位置为猎物位置,鲸鱼群个体位置更新数学表达式为
(2)
式中:j为当前迭代次数;Xj,Xj+1分别为第j,j+1次迭代时鲸鱼群个体位置向量;A,C为系数向量;Xj*为第j次迭代时最佳鲸鱼群个体位置向量。
A=2ar-a
(3)
C=2r
(4)
式中:a为常数,
为最大迭代次数,a随着迭代次数的增加从2到0线性递减;r为随机向量。
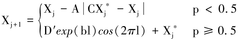
依据鲸鱼的气泡网攻击觅食行为——螺旋式游动靠近猎物同时收缩包围圈,假设在更新鲸鱼群个体位置过程中以50%的概率作为选择阈值,即选择“收缩包围圈”或“螺旋式位置更新”,则鲸鱼群个体位置更新数学表达式为
(5)
式中:
为用来定义螺旋轨迹的常数;l为[-1,1]之间的随机数;p为[0,1]之间的随机数。
在捕食过程中,鲸鱼群个体会基于彼此的位置随机搜索猎物。搜索捕食与环绕式捕食基于的方法相同,即通过改变A的大小来搜索猎物。当|A|≥1时,鲸鱼群个体位置更新数学表达式为
Xj+1=Xrand,j-A|CXrand,j-Xj|
(6)
式中Xrand,j为从当前鲸鱼群中随机选取的个体位置向量。
基于WOA的矿用机器人驱动系统参数辨识原理:根据矿用机器人驱动系统模型确定待辨识参数,鲸鱼群中每个个体位置均代表1组待辨识参数。通过适应度函数来衡量每个鲸鱼群个体位置的优劣,利用鲸鱼觅食策略不断更新鲸鱼群个体位置,直至获得最佳鲸鱼群个体位置,即可获得最佳辨识参数。
基于WOA的矿用机器人驱动系统参数辨识步骤如下。
(1) 根据式(1)确定矿用机器人驱动系统待辨识参数Ra,Ce,La,CT,JG,TL。
(2) 将待辨识参数Ra,Ce,La,CT,JG,TL看作鲸鱼群个体位置,随机初始化鲸鱼群个体位置,并设置种群数量N、最大迭代次数M等WOA参数。
(3) 定义适应度函数:
(7)
式中:I为适应度值;yi为实际系统第i(i=1,2,…,n,n为采样数)个输出值;
为模型第i个输出值。
(4) 利用式(7)计算鲸鱼群个体的适应度值,选取并保存当前适应度最佳的鲸鱼群个体位置。
(5) 更新当前鲸鱼群个体位置:当p<0.5时,若|A|<1,利用式(2)更新当前鲸鱼群个体位置,若|A|≥1,利用式(6)更新当前鲸鱼群个体位置;当p≥0.5时,利用式(5)更新当前鲸鱼群个体位置。
(6) 判断是否达到最大迭代次数M,若是则输出适应度最佳的鲸鱼群个体位置,即最佳辨识参数,否则返回步骤(4)。
利用Matlab 2016b软件对基于WOA的矿用机器人驱动系统参数辨识方法进行仿真验证。仿真参数设置:种群数量N=30,最大迭代次数M=100。分别采用LSM和WOA对待辨识参数Ra,Ce,La,CT,JG,TL进行辨识,结果见表1。
表1 矿用机器人驱动系统参数辨识结果
Table 1 Parameter identification results of mine-used robot driving system

将分别采用LSM和WOA得到的参数辨识结果代入矿用机器人驱动系统模型,并给定与实际矿用机器人驱动系统相同的输入信号,模型输出与系统实际输出对比如图1所示。可看出与采用LSM辨识相比,采用WOA辨识得到的模型输出与系统实际输出的吻合度更好,表明采用WOA对矿用机器人驱动系统参数进行辨识具有更高的准确度。

图1 矿用机器人驱动系统模型输出与实际输出对比
Fig.1 Comparison between model output and actual output of mine-used robot driving system
矿用机器人驱动系统实验平台主要由无刷直流电动机、驱动器、PID控制器组成。平台输入电压为-10~10 V;电动机输入电压为12 V,额定转速为1 420 r/min。分别采用LSM和WOA辨识后得到的矿用机器人驱动系统模型,对PID控制器的PID参数进行整定[14-15],结果见表2,其中Kp,Ki,Kd分别为比例系数、积分系数和微分系数。
将表2数据应用于矿用机器人驱动系统实验平台,得到系统阶跃响应曲线,如图2所示。
表2 PID参数
Table 2 PID parameters


(a) 基于LSM辨识模型整定的参数

(b) 基于WOA辨识模型整定的参数
图2 矿用机器人驱动系统阶跃响应曲线
Fig.2 Step response curve of mine-used robot driving system
从图2(a)可看出,上升时间约为0.4 s,超调量为56%,基于LSM辨识模型的PID控制器使系统一直处于调节状态,不能快速、稳定地跟踪目标值;从图2(b)可看出,上升时间约为0.26 s,超调量为3%,基于WOA辨识模型的PID控制器能使系统快速、稳定地跟踪目标值。
提出了一种基于WOA的矿用机器人驱动系统参数辨识方法。该方法根据矿用机器人驱动系统模型确定待辨识参数,鲸鱼群中每个个体位置均代表1组待辨识参数,通过适应度函数来衡量每个鲸鱼群个体位置的优劣,利用鲸鱼觅食策略不断更新鲸鱼群个体位置,直至获得最佳鲸鱼群个体位置,即可获得最佳辨识参数。仿真和实验结果表明,与基于LSM的参数辨识方法相比,该方法具有更精确的辨识效果。
参考文献
[1] 傅霞君,袁建军,王帅,等.基于粒子群算法的机器人动力学参数辨识[J].机电一体化,2017,23(2):3-8.
FU Xiajun,YUAN Jianjun,WANG Shuai,et al.Nonlinear dynamic identification of robotic manipulators based on particle swarm optimization method[J].Mechatronics,2017,23(2):3-8.
[2] 孙玉阳,周波,孟正大.基于遗传算法的工业机器人动力学参数辨识[J].工业控制计算机,2017,30(9):1-3.
SUN Yuyang,ZHOU Bo,MENG Zhengda.Dynamic parameter identification of industrial robot based on genetic algorithm[J].Industrial Control Computer,2017,30(9):1-3.
[3] 丰非,扈宏杰.基于混沌PSO的SCARA机器人参数辨识[J].自动化与仪表,2017,32(12):14-18.
FENG Fei,HU Hongjie.Parameter identification of SCARA robot based on PSO algorithm of chaos[J].Automation & Instrumentation,2017,32(12):14-18.
[4] BOGUE R.Search and rescue and disaster relief robots: has their time finally come?[J].Industrial Robot,2016,43(2):138-143.
[5] 由韶泽,朱华,赵勇,等.煤矿救灾机器人研究现状及发展方向[J].工矿自动化,2017,43(4):14-18.
YOU Shaoze,ZHU Hua,ZHAO Yong,et al.Research status of coal mine rescue robot and its development direction[J].Industry and Mine Automation,2017,43(4):14-18.
[6] 杨丙洲,彭达洲.基于最小二乘法的永磁同步电机无传感器控制[J].电机与控制应用,2012,39(12):30-33.
YANG Bingzhou,PENG Dazhou.Sensorless control of permanent magnet synchronous motor based on least square algorithm[J].Electric Machines & Control Application,2012,39(12):30-33.
[7] MIRJALILI S,LEWIS A.The whale optimization algorithm[J].Advances in Engineering Software,2016,95:51-67.
[8] 徐继亚,王艳,纪志成.基于鲸鱼算法优化WKELM的滚动轴承故障诊断[J].系统仿真学报,2017,29(9):2189-2197.
XU Jiya,WANG Yan,JI Zhicheng.Fault diagnosis method of rolling bearing based on WKELM optimized by whale optimization algorithm[J].Journal of System Simulation,2017,29(9):2189-2197.
[9] DAO T K,PAN T S,PAN J S.A multi-objective optimal mobile robot path planning based on whale optimization algorithm[C]//IEEE 13th International Conference on Signal Processing,Chengdu,2016:337-342.
[10] HUANG Xinge,WANG Rui,ZHAO Xudong,et al.Aero-engine performance optimization based on whale optimization algorithm[C]//The 36th Chinese Control Conference,Dalian,2017:11437-11441.
[11] BUTT S A,ROOZMEH M,LAVAGNO L.Designing parameterizable hardware IPs in a model-based design environment for high-level synthesis[J].ACM Transactions on Embedded Computing Systems,2016,15(2):32.
[12] 吕小意,黄松,王艳,等.基于苍狼算法的感应电机改进模型参数辨识[J].系统仿真学报,2016,28(12):3010-3018.
LYU Xiaoyi,HUANG Song,WANG Yan,et al.Grey wolf optimizer for parameters identification of induction motor with improved model[J].Journal of System Simulation,2016,28(12):3010-3018.
[13] 张永,陈锋.一种改进的鲸鱼优化算法[J].计算机工程,2018,44(3):208-213.
ZHANG Yong,CHEN Feng.A modified whale optimization algorithm[J].Computer Engineering,2018,44(3):208-213.
[14] 杨智,陈颖.改进粒子群算法及其在PID整定中的应用[J].控制工程,2016,23(2):161-166.
YANG Zhi,CHEN Ying.Improved particle swarm optimization and its application in PID tuning[J].Control Engineering of China,2016,23(2):161-166.
[15] SEER Q H,NANDONG J.Stabilization and PID tuning algorithms for second-order unstable processes with time-delays[J].ISA Transactions,2017,67:233-245.