杨祥1,2, 田慕琴1,2, 李璐1,2, 宋建成1,2, 张林锋1,2, 吴静坤1,2
(1.太原理工大学 矿用智能电器技术国家地方联合工程实验室, 山西 太原030024;2.太原理工大学 煤矿电气设备与智能控制山西省重点实验室, 山西 太原030024)
摘要:针对现有振动信号降噪方法中经验模态分解存在模态混叠、独立分量分析要求采集的振动信号数不少于源信号数等问题,提出了一种基于集合经验模态分解(EEMD)和快速独立分量分析(FastICA)的矿用带式输送机驱动滚筒轴承振动信号降噪方法。首先,通过EEMD算法对采集的振动信号进行分解,得到若干不同尺度的包含故障特征频率的本征模态函数(IMF)分量;然后,基于相关系数对IMF分量进行重构,得到特征信号和虚拟噪声信号,将重构的特征信号和虚拟噪声信号组成输入矩阵,并作为FastICA算法的输入;最后,利用FastICA算法实现信号与噪声分离,达到信号降噪的目的。实验结果验证了该方法的可行性和有效性。
关键词:矿用带式输送机; 驱动滚筒轴承; 滚筒轴承故障诊断; 振动信号降噪; 集合经验模态分解; 快速独立分量分析
中图分类号:TD67/634.1
文献标志码:A
文章编号:1671-251X(2019)03-0066-05
DOI:10.13272/j.issn.1671-251x.2018080013
收稿日期:2018-08-06;
修回日期:2019-02-22;
责任编辑:盛男。
基金项目:山西省科技重大专项计划基金资助项目(20131101029)。
作者简介:杨祥(1993-),男,湖北黄冈人,硕士研究生,主要研究方向为矿用智能电器技术,E-mail:786963849@qq.com。
引用格式:杨祥,田慕琴,李璐,等.矿用带式输送机驱动滚筒轴承振动信号降噪方法[J].工矿自动化,2019,45(3):66-70.
YANG Xiang,TIAN Muqin,LI Lu,et al.Vibration signal denoising method for drive roller bearing of mine-used belt conveyor[J].Industry and Mine Automation,2019,45(3):66-70.
YANG Xiang1,2, TIAN Muqin1,2, LI Lu1,2, SONG Jiancheng1,2,ZHANG Linfeng1,2, WU Jingkun1,2
(1.National & Provincial Joint Engineering Laboratory of Mining Intelligent Electrical Apparatus Technology, Taiyuan University of Technology, Taiyuan 030024, China; 2.Shanxi Key Laboratory of Mining Electrical Equipment and Intelligent Control, Taiyuan University of Technology, Taiyuan 030024, China)
Abstract:EMD has modal aliasing and ICA requires the number of collected vibration signal should not be less than the number of source signal. In view of the above problems that existed in existing vibration signal denoising method, a vibration signal denoising method for drive roller bearing of mine-used belt conveyor was proposed which was based on EEMD and FastICA. Firstly, collected vibration signal is decomposed by EEMD algorithm, so as to obtain several IMF components at different scales that containing faults characteristic frequency. Then, the IMF components are reconstructed based on correlation coefficient to obtain characteristic signal and virtual noise signal, which are formed into input matrix as input of FastICA algorithm. Finally, FastICA algorithm is used to separate signal and noise to achieve purpose of signal denoising. The experimental results verify feasibility and effectiveness of the method.
Key words:mine-used belt conveyor; drive roller bearing; fault diagnosis of roller bearing; vibration signal denoising; ensemble empirical mode decomposition; fast independent component analysis
煤矿井下带式输送机长期运行在高速和重载的状态下,驱动滚筒轴承是易损部件[1]。因此,矿用带式输送机驱动滚筒轴承故障准确诊断对矿用带式输送机连续稳定运行和煤矿安全生产具有重要意义。
由于煤矿井下环境恶劣,采集的带式输送机驱动滚筒轴承振动信号中包含大量背景噪声,轴承运行状态的特征信息可能被噪声淹没,导致故障诊断结果不准确。因此,对带式输送机驱动滚筒轴承振动信号进行降噪处理是准确诊断驱动滚筒轴承故障的前提[2-5]。许多学者在振动信号降噪方面做了大量研究。包广清等[6]将小波阈值降噪原理应用于经验模态分解(Empirical Mode Decomposition,EMD)中,提出了一种EMD分解阈值降噪方法,但未考虑EMD存在的模态混叠问题。贾瑞生等[7]提出了基于EMD及独立分量分析(Independent Component Analysis,ICA)的降噪方法,但ICA要求采集的振动信号数不少于源信号数,然而实际应用中采集的振动信号数往往小于源信号数。本文提出了一种基于集合经验模态分解(Ensemble Empirical Mode Decomposition,EEMD)和快速ICA(FastICA)的矿用带式输送机驱动滚筒轴承振动信号降噪方法。该方法首先通过EEMD算法对振动信号进行分解;然后对分解得到的分量基于相关系数进行重构,将重构信号组成输入矩阵并作为FastICA算法的输入;最后,利用FastICA算法实现信号与噪声分离,达到信号降噪的目的。
EEMD算法在原信号中加入高斯白噪声后,采用EMD算法对信号进行分解[8-10]。该算法利用高斯白噪声在频谱上均匀分布的特点,使不同尺度的信号自动分布到合适的参考尺度上,保证信号的连续性,从而抑制模态混叠现象[11-12]。
EEMD算法步骤如下。
(1) 将具有不同幅度和功率谱密度的高斯白噪声hi(t)(i=1,2,…,N,N为分解次数;t=1,2,…,L,L为采样点数)添加到原信号x(t)中,得到待分解信号:
xi(t)=x(t)+hi(t)
(1)
(2) 对待分解信号xi(t)进行EMD分解:
(2)
式中:cij(t)为第j(j=1,2,…,K,K为本征模函数(Intrinsic Mode Function,IMF)分量个数)个IMF分量;ri(t)为残差。
(3) 重复步骤(1)、(2)N次。
(4) 对得到的多个IMF分量分别进行总体平均运算,以消除多次添加高斯白噪声的影响,得到最终的IMF分量cj(t)及残差r(t):
(3)
![]()
(4)
最终得到原信号x(t)的EEMD分解结果:
(5)
盲源分离是在源信号和混合通道参数均未知的情况下,根据原信号的统计特性,仅由观测信号恢复出源信号各独立分量的过程[13-16]。本文应用基于负熵准则的FastICA算法,该算法具有盲源分离速度快、效果好等优点[17-18]。
随机变量y的负熵为
J(y)=H(ygauss)-H(y)
(6)
式中:H(·)为随机变量的微分熵;ygauss为和y具有相同协方差矩阵的高斯随机变量,其均值为0,方差为单位矩阵。
(7)
式中f(y)为概率密度函数。
由于根据式(7)计算微分熵需要知道概率密度函数,而实际采集的振动信号的概率密度函数不可知,所以采用负熵近似计算公式:
J(y)={E[g(ygauss)]-E[g(y)]}2
(8)
式中:E[·]为均值运算函数;g(·)为非线性函数,取g(y)=tanh(a1,y),a1=1。
负熵越大,非高斯性越强,当非高斯性达到最大时,表明对各独立分量的分离已完成。
FastICA算法步骤如下。
(1) 对观测信号矩阵X进行中心化处理,使其均值为0。
(2) 对观测信号矩阵进行白化:Z=VX,Z为白化向量,V为白化矩阵。
(3) 初始化迭代次数p=1,选择需要估计的独立分量个数m。
(4) 选取第p次迭代时的初始权向量Wp(随机)。
(5)Wp赋值:
其中g′(·)为g(·)的一阶导数。
(6)Wp更新:![]()
(7) 令![]()
(8) 判断Wp是否收敛,若Wp不收敛,返回步骤(5)。
(9) 令p=p+1,若p≤m,返回步骤(4),否则结束。
基于EEMD和FastICA的振动信号降噪方法原理如图1所示,具体步骤如下:
(1) 对原信号x(t)进行EEMD分解,得到K个不同尺度的包含故障特征频率的IMF分量c1(t),c2(t),…,cn(t),…,cK(t)(n<K)。
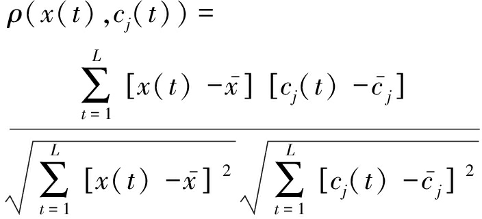
(2) 计算各IMF分量与原信号的相关系数:

(9)
式中:![]()
(3) 将相关系数大于0.1的IMF分量和剩余IMF分量分别进行重构,得到特征信号和虚拟噪声信号。
(4) 将特征信号和虚拟噪声信号组成输入矩阵,作为FastICA算法的输入,利用FastICA算法得到去噪后信号和噪声信号,实现原信号的有效降噪。

图1 基于EEMD和FastICA的振动信号降噪方法原理
Fig.1 Principle of vibration signal denoising method based on EEMD and FastICA
山西晋城某煤矿212主运带式输送机一级驱动滚筒轴承型号为SKF23176,轴承转速为64 r/min,滚珠个数为21,滚动体直径为65 mm,轴承节径为500 mm,滚动体接触角为0。结合滚筒轴承故障特征频率计算公式[19],可得外圈故障频率f1=9.70 Hz,内圈故障频率f2=12.60 Hz,滚动体故障频率f3=4.01 Hz。振动传感器安装在驱动滚筒轴承座的轴向和纵向,采样频率为2 000 Hz,采样点数为8 000。
采集的带式输送机一级驱动滚筒轴承振动信号时域波形及包络谱如图2所示,可看出采集的振动信号杂乱、故障特征频率不明显,被淹没在强背景噪声中。因此,需要对采集的振动信号进行降噪处理。首先,利用EEMD算法对采集的振动信号进行分解,EEMD分解过程中加入的白噪声幅值为采集的振动信号幅值的0.2倍,分解次数N=100,得到10个不同尺度的包含故障特征频率的IMF分量,如图3所示。然后,按式(9)计算各IMF分量与采集的振动信号的相关系数,分别为0.888 9,0.362 2,0.172 8,0.011 5,0.001 0,0.018 6,0.009 8,0.010 7,0.015 6,0.013 8。之后,将相关系数大于0.1的IMF分量(c1—c3)进行重构得到特征信号,将剩余IMF分量(c4—c10)进行重构得到虚拟噪声信号,并将重构信号组成输入矩阵。最后,利用FastICA算法得到去噪后信号和噪声信号,如图4所示,实现信号与噪声分离。

(a) 时域波形

(b) 包络谱
图2 驱动滚筒轴承振动信号时域波形及包络谱
Fig.2 Time domain waveform and envelope spectrum of vibration signal of drive roller bearing
图3 驱动滚筒轴承振动信号各IMF分量
Fig.3 IMF components of vibration signal of drive roller bearing

(a) 去噪后信号

(b) 噪声信号
图4 去噪后信号和噪声信号时域波形
Fig.4 Time domain waveform of denoised signal and noise signal
对去噪后信号进行包络解调分析,如图5所示。可看出去噪后信号包络谱无毛刺,且故障特征频率清晰可见;频谱的极值出现在驱动滚筒轴承内圈故障频率f2的2倍频、3倍频和6倍频附近,因此,判断该驱动滚筒轴承可能存在内圈故障。检修后发现轴承内圈存在严重划痕,与理论分析结果相符,表明本文所提降噪方法可有效滤除信号中的噪声成分,有利于驱动滚筒轴承运行状态特征信息提取和故障准确识别。

图5 去噪后驱动滚筒轴承振动信号包络谱
Fig.5 Envelope spectrum of vibration signal of drive roller bearing after denoising
提出了一种基于EEMD和FastICA的矿用带式输送机驱动滚筒轴承振动信号降噪方法。首先,采用EEMD算法对原始振动信号进行分解,得到若干不同尺度的包含故障特征频率的IMF分量,使频率相近的振动信号分量分离,解决了EMD分解中模态混叠的问题;然后,将EEMD分解的信号基于相关系数进行重构,并将重构信号组成的矩阵作为FastICA算法的输入,有效解决了盲源分离原信号数不足的问题;最后,利用FastICA算法将信号与噪声分离,实现原始振动信号的有效降噪。实验结果表明,该方法有效滤除了原始振动信号中包含的噪声,使得驱动滚筒轴承运行状态特征信息更加明显,有利于提高故障诊断的准确性。
参考文献
[1] 冷军发,郭松涛,荆双喜,等.基于最小熵解卷积的带式输送机传动滚筒轴承故障诊断[J].河南理工大学学报(自然科学版),2015,34(4):514-519.
LENG Junfa,GUO Songtao,JING Shuangxi,et al.Rolling element bearing fault diagnosis of belt conveyor driving drum based on minimum entropy deconvolution[J].Journal of Henan Polytechnic University(Natural Science),2015,34(4):514-519.
[2] TIAN Pengfei,ZHANG Lei,CAO Xianjie,et al.The application of EMD-CIIT lidar signal denoising method in aerosol detection[J].Procedia Engineering,2015,102(4):1233-1237.
[3] 刘东瀛,邓艾东,刘振元,等.基于EMD与相关系数原理的故障声发射信号降噪研究[J].振动与冲击,2017,36(19):71-77.
LIU Dongying,DENG Aidong,LIU Zhenyuan,et al.De-noising method for fault acoustic emission signals based on the EMD and correlation coefficient[J].Journal of Vibration and Shock,2017,36(19):71-77.
[4] LI Xiaoyu,JIN Jing,SHEN Yi,et al.Noise level estimation method with application to EMD-based signal denoising[J].Journal of Systems Engineering & Electronics,2016,27(4):763-771.
[5] FENGRONG B,TENG M,XU W.Development of a novel knock characteristic detection method for gasoline engines based on wavelet-denoising and EMD decomposition[J].Mechanical Systems and Signal Processing,2019,117:517-536.
[6] 包广清,常勇,杨国金.基于EMD阈值方法的轴承故障振动信号去噪[J].计算机工程与应用,2015,51(10):205-210.
BAO Guangqing,CHANG Yong,YANG Guojin.De-noising of rolling bearing fault vibration signal based on empirical mode decomposition threshold[J].Computer Engineering and Applications,2015,51(10):205-210.
[7] 贾瑞生,赵同彬,孙红梅,等.基于经验模态分解及独立成分分析的微震信号降噪方法[J].地球物理学报,2015,58(3):1013-1023.
JIA Ruisheng,ZHAO Tongbin,SUN Hongmei,et al.Micro-seismic signal denoising method based on empirical mode decomposition and independent component analysis[J].Chinese Journal of Geophysics,2015,58(3):1013-1023.
[8] 季忠,金涛,杨炯明,等.基于独立分量分析的消噪方法在旋转机械特征提取中的应用[J].中国机械工程,2005,16(1):50-53.
JI Zhong,JIN Tao,YANG Jiongming,et al.Applications of noise-reduction with ICA in feature extraction of rotating machinery[J].China Mechanical Engineering,2005,16(1):50-53.
[9] LEI Yaguo,HE Zhengjia,ZI Yanyang.Application of the EEMD method to rotor fault diagnosis of rotating machinery[J].Mechanical Systems & Signal Processing,2009,23(4):1327-1338.
[10] WU Zhaohua,HUANG N E.Ensemble empirical mode decomposition:a noise assisted data analysis method[J].Advances in Adaptive Data Analysis,2009,1(1):1-41.
[11] 钱沛云,陈曦晖,胡晓,等.基于振动信号分析的采煤机摇臂轴承故障诊断研究[J].煤炭科学技术,2014,42(12):89-92.
QIAN Peiyun,CHEN Xihui,HU Xiao,et al.Study on bearing fault diagnosis of ranging boom in coal shearer based on vibration signal analysis[J].Coal Science and Technology,2014,42(12):89-92.
[12] 王增才,王树梁,任锴胜,等.基于EEMD的提升机天轮轴承故障诊断方法[J].煤炭学报,2012,37(4):689-694.
WANG Zengcai,WANG Shuliang,REN Kaisheng,et al.Research on the method of hoist head sheave bearing fault diagnosis based on EEMD[J].Journal of China Coal Society,2012,37(4):689-694.
[13] 郝尚清,庞新宇,王雪松,等.基于盲源分离的采煤机摇臂轴承故障诊断方法[J].煤炭学报,2015,40(11):2509-2513.
HAO Shangqing,PANG Xinyu,WANG Xuesong,et al.Bearing fault diagnosis method for shearer rocker arm based on blind source separation[J].Journal of China Coal Society,2015,40(11):2509-2513.
[14] 易长平,赵明生,崔正荣.基于独立分量分析的爆破振动信号分离仿真试验[J].爆破,2010,27(1):31-32.
YI Changping,ZHAO Mingsheng,CUI Zhengrong.Simulation experiment of separation of blasting vibration signal based on ICA method[J].Blasting,2010,27(1):31-32.
[15] 叶红仙,杨世锡,杨将新.多振源卷积混合的时域盲源分离算法[J].机械工程学报,2009,45(1):189-194.
YE Hongxian,YANG Shixi,YANG Jiangxin.Temporal blind source separation algorithm for convolution mixtures with muti vibration sources[J].Journal of Mechanical Engineering,2009,45(1):189-194.
[16] LINH-TRUNG N,BELOUCHRANI A,ABED-MERAIM K,et al.Separating more sources than sensors using time-frequency distributions[J].Journal on Advances in Signal Processing,2005,2005(17):1-20.
[17] 李云霞.盲信号分离算法及其应用[D].成都:电子科技大学,2008.
[18] 毋文峰,陈小虎,苏勋家.基于经验模式分解的单通道机械信号盲分离[J].机械工程学报,2011,47(4):12-16.
WU Wenfeng,CHEN Xiaohu,SU Xunjia.Blind source separation of single-channel mechanical signal based on empirical mode decomposition[J].Journal of Mechanical Engineering,2011,47(4):12-16.
[19] 靳行,林建辉,伍川辉,等.基于EEMD-TEO熵的高速列车轴承故障诊断方法[J].西南交通大学学报,2018,53(2):359-366.
JIN Hang,LIN Jianhui,WU Chuanhui,et al.Diagnostic method for high-speed train bearing fault based on EEMD-TEO entropy[J].Journal of Southwest Jiaotong University,2018,53(2):359-366.