姜媛媛, 时美乐
(安徽理工大学 电气与信息工程学院, 安徽 淮南232000)
摘要:针对目前煤矿井下火灾救援模型过于复杂、对巷道安全因子的研究不够深入、未考虑灾后巷道交通网络连通度的问题,建立了基于多元信息评估的矿井火灾救援路径优化模型。对火灾后巷道内温度、瓦斯浓度、烟雾能见度等环境安全因子进行量化分析和计算,以安全性和可靠性为约束条件,结合巷道交通网络通行权重和连通度构建了矿井火灾救援路径优化模型,并运用Dijkstra算法得到最优路径。以淮南某矿为例,对考虑节点连通度及安全因子的最短路径、仅考虑安全因子的救援路径及不考虑安全因子及连通度的救援路径进行对比分析,结果表明,最安全、疏散最有效的路径是考虑巷道安全因子及节点连通度所求得的路径。
关键词:矿井火灾救援; 巷道安全因子; 巷道交通网络连通度; 路径优化; 多元信息评估
中图分类号:TD752
文献标志码:A
文章编号:1671-251X(2019)03-0005-07
DOI:10.13272/j.issn.1671-251x.2018100025
收稿日期:2018-10-15;
修回日期:2019-01-27;
责任编辑:胡娴。
基金项目:国家自然科学基金项目(51604011);安徽省自然科学基金项目(1708085QF135);安徽省高校省级自然科学研究项目(KJ2017A077);安徽省高校优秀青年骨干人才国内外访学研修项目(gxfx2017025)。
作者简介:姜媛媛(1982-),女,安徽颍上人,教授,博士研究生,主要研究方向为电力电子系统故障诊断与预测,E-mail:jyyll672@163.com。
引用格式:姜媛媛,时美乐.基于多元信息评估的矿井火灾救援路径优化[J].工矿自动化,2019,45(3):5-11.
JIANG Yuanyuan, SHI Meile.Optimization of mine fire rescue path based on multivariate information evaluation[J].Industry and Mine Automation,2019,45(3):5-11.
JIANG Yuanyuan, SHI Meile
(School of Electrical and Information Engineering, Anhui University of Science and Technology, Huainan 232000, China)
Abstract:In view of problems that coal mine underground fire rescue model is too complicated, study of roadway safety coefficient is not deep enough and roadway traffic network connectivity after disaster is not considered, a mine fire rescue path optimization model based on multivariate information evaluation was established. Quantitative analysis and calculation of environmental safety factors after fire were carried out such as temperature, gas concentration and smoke visibility in roadway. Taking safety and reliability as constraints, mine fire rescue path optimization model was constructed combined with traffic weight and connectivity of roadway traffic network, and Dijkstra algorithm was used to get the optimal path. Taking a mine in Huainan as an example, the shortest path considering connectivity and safety factor of the node, the rescue path considering only safety factor, and the rescue path without considering safety factor and connectivity were compared and analyzed. The results show that the safest and most effective route is the path obtained by considering safety factor of the roadway and connectivity of the nodes.
Key words:mine fire rescue; safety factor of roadway; roadway traffic network connectivity; path optimization; multivariate information evaluation
井下巷道错综复杂,巷道面积狭小,通风性差,矿井火灾一旦发生,有毒有害气体长期滞留,会严重威胁未能及时疏散的井下工作人员的生命安全[1-2]。此外,井下火灾还会引发瓦斯或煤尘爆炸,造成更为严重的二次灾害。井下火灾发生后,随着火灾的蔓延,救援人员获得的巷道内温度、瓦斯浓度和烟雾能见度等救援信息具有滞后性,使得前一秒确定的巷道安全通行路径,下一秒可能就会因有毒气体含量超标无法通行[3-5]。故救援人员必须考虑巷道内温度、瓦斯浓度、烟雾能见度、巷道交通网络通行权重、巷道交通网络连通度等井下信息的不确定度开展救援,在不确定信息下确定一条安全可靠的最佳救援路径,以最大程度降低矿井火灾造成的危害[6-8]。
学者们对煤矿井下火灾救援路径的研究取得了一些成果。陈孝国等[9]考虑到矿井火灾救援决策涉及的信息较多与信息不完整等因素,提出了一种考虑区间因素的记分函数。段满珍等[10]基于震后连锁型灾害导致决策信息的不确定性和时变性,建立了以疏散调度与道路管控相结合的双层优化模型。詹子娜等[11]针对救援方案适用性不强和系统操作性差等问题构建矿井应急救援系统,并改进矿井救援路径算法。但以上研究存在以下不足:① 构建的矿井火灾救援模型过于复杂,救援模型参数选择过于繁琐,实用性不强[12]。② 对巷道安全因子的研究不够详细深入,由于井下的各种气体含量不断变化,故巷道安全因子并不是一成不变的[13]。③ 没有将灾后巷道交通网络连通度纳入考虑,因为井下环境安全因子具有不确定性,一旦巷道交通网络连通度发生改变,可能导致救援路径中断。
为此,本文提出了一种基于多元信息评估的矿井火灾救援路径优化模型,依据影响因素的动态变化划分不同影响因素的权重,基于灾后巷道交通网络的可通行性来构建救援路径优化模型,确定不确定信息下井下火灾最佳救援路径。最后,以淮南某矿为例进行模拟分析,综合验证火灾救援路径优化模型的可靠性。
影响火灾救援的因素主要有井下温度、瓦斯浓度、烟雾能见度等环境安全因子及灾后巷道网络通行权重和灾后巷道交通网络连通度等[14]。
1.1.1 环境安全因子
《矿山救护规程》是目前煤矿安全事故救援行动的准则,其对救援人员的作业条件进行了规范。本文根据《矿山救护规程》分别对矿井温度、瓦斯浓度及烟雾能见度进行定量建模。
(1) 温度安全因子。《矿山救护规程》规定,巷道内温度t超过30 ℃时即为高温,在高温作业巷道内空气升温梯度达到0.5~1 ℃/min或巷道内温度超过40 ℃时,救援人员应退出高温区。为了评价温度因素对巷道安全的影响,定义温度安全因子为

(1)
式中:
为温度安全因子,i,j指巷道内第i个和第j个节点。
由式(1)可知,在《矿山救护规程》规定的高温范围中,随着温度的增加,温度安全因子单调递减,当t≥40 ℃时,温度安全因子变为0,此状态为巷道禁止通行状态;
最大值为
越大,则越安全。
(2) 瓦斯浓度安全因子。《矿山救护规程》规定,瓦斯体积分数超过2%且仍继续上升时,应立即把人员撤到安全地点。为了评价瓦斯浓度因素对巷道安全的影响,定义瓦斯浓度安全因子为

(2)
式中:
为瓦斯浓度安全因子;C为瓦斯体积分数。
由式(2)可知,当C≥2%时,巷道的瓦斯浓度安全因子为0,巷道为禁止通行状态;当C<2%时,随着C增加,
单调减小。
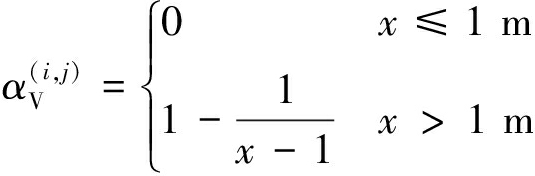
(3) 烟雾能见度安全因子。《矿山救护规程》规定,当巷道烟雾能见度小于1 m时,严禁救援人员进入侦察或作业。为了评价烟雾能见度因素对巷道安全的影响,定义烟雾能见度安全因子为

(3)
式中:
为烟雾能见度安全因子;x为烟雾能见度。
由式(3)可知,当x≤1 m时,烟雾能见度安全因子为零,巷道为禁止通行状态;当x>1 m时,随着x的增加,
单调增加。
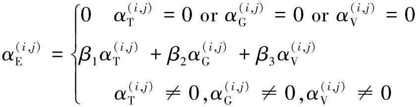
为了评价3种环境安全因子对巷道安全的综合影响,定义巷道环境安全因子为

(4)
式中:
为巷道环境安全因子;β1,β2及β3为加权系数,且满足式(5)。
β1+β2+β3=1
(5)
由式(1)—式(5)可知,
环境安全因子值越大,连接第i个节点和第j个节点的路径越安全。根据矿井温度、瓦斯浓度及烟雾能见度定量建模的安全指标,设置β1=0.3,β2=0.5,β3=0.2。此外,设定环境安全因子阈值为
与
当
时,巷道为危险巷道,不能通行;当
时,巷道为轻度危险巷道,可通行;当
时,巷道为安全巷道。
1.1.2 灾后巷道网络通行权重
灾后巷道网络通行权重受灾后巷道通行效率影响。救援路径的权重因子越小,所用时间越短,成功救援的概率也就越大。因此,选取最优救援路径时需根据灾后巷道不同情况及不同通行效率计算巷道网络通行权重。
巷道网络通行的效率受到巷道高度、宽度、照明、坡度、障碍物、烟流等因素的影响[15]。利用不同条件下不同行走姿势的行进速度作为衡量参数进行建模[16],以煤矿救援人员日常训练自由行走作为参考标准,规定煤矿救援人员日常训练自由行走的通行效率为1,其他状态按照行走速度的自由行走比例进行计算。结合文献[11]及测试数据计算采用不同姿势时的行进效率、不同环境下的行进效率及不同坡度上的行进效率,结果见表1—表3。
表1 采用不同姿势时的行进效率
Table 1 Walking efficiency in different postures

表2 不同环境下的行进效率
Table 2 Walking efficiency in different environments

表3 不同坡度上的行进效率
Table 3 Walking efficiency in different slopes

设
为巷道E(i,j)(连接第i个节点和第j个节点的巷道)中行走姿势的行进效率;
为巷道E(i,j)环境下的行进效率;
为巷道E(i,j)坡度上的行进效率;且
相互独立,故综合行进效率η(i,j)的计算公式为
(6)
若巷道地形坡度不在表3中,可以采用插值方法得到。定义巷道E(i,j)的相对长度为
(7)
式中L(i,j)为巷道E(i,j)的绝对长度。
巷道E(i,j)的网络通行权重因子p(i,j)为
(8)
1.1.3 灾后巷道交通网络连通度
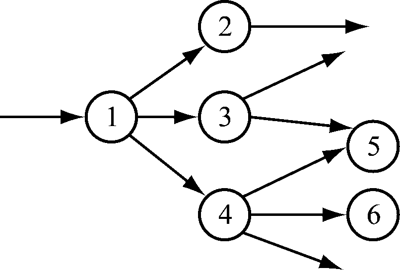
考虑井下救援的特殊性,选择安全可靠的通行路径比最短路径更具有实际意义。为此,本文采用节点的连通度衡量救援路径的可靠性。灾后巷道交通网络连通度由巷道连通度及其节点连通度组成,巷道连通度指巷道损毁后剩余的通行能力,节点连通度指巷道通过交叉口与其他可通行巷道连通的能力[17-18]。巷道网络连通度如图1 所示,定义巷道节点i的连通度Yi为
Yi=N
(9)
式中N为节点i连接的巷道条数。

图1 巷道网络连通度
Fig.1 Network connectivity of roadway
由式(9)可知,图1中Y1=4,Y2=2,Y3=3,Y4=4。根据以上定义,巷道E(1,4)的节点连通度大于巷道E(1,2)和E(1,3)的节点连通度。假设救援人员在节点4获知优化路径遇阻,至少还可选择其他2条巷道通行;巷道E(4,5)上的救援人员发现前方无法通行,至少可以退回到节点4重新进行选择,而不必绕行。
按照权重因子最小的路径前进,所用时间最短,成功救援的概率就越大。所以,救援路径优化就是在井下灾害发生地点到救援队出发点的所有的安全、可能路径中,找出权重因子最小的救援路径[19-20]。假设救援人员从出发点到受灾地点的所有路径集合为P,P中权重因子最小的路径即所求的最优救援路径由m条巷道组成,pr是该救援路径中第r条巷道的权重因子,则该救援路径的权重因子总和为
(10)
优化目标函数为
minQ
(11)
在保证安全性基础上,救援路径优化才具有实际意义,故按照安全性原则,对灾后可通行巷道网络进行修正,要求所优化的巷道环境安全因子必须大于![]()
安全约束条件为
(12)
由于矿井火灾期间,烟雾能见度、瓦斯浓度、温度、巷道网络通行效率、巷道连通度等巷道特性是随着时间变化而变化的,救援人员在到达救援点之前无法预料到哪些巷道的环境会发生意外,造成优化路径中断,如果只考虑最短路径,一旦发生意外,救援人员绕行路线可能很长,导致所谓的最短路线失去意义。故增加可靠性约束条件,要求救援路径经过的巷道网络节点i至少有2条其他可选巷道,即节点i的连通度要≥3:
Yi≥3
(13)
因此,选择通行能力较强的安全救援路线是模型求解的目标,即寻找不确定信息条件下可靠的救援路径。
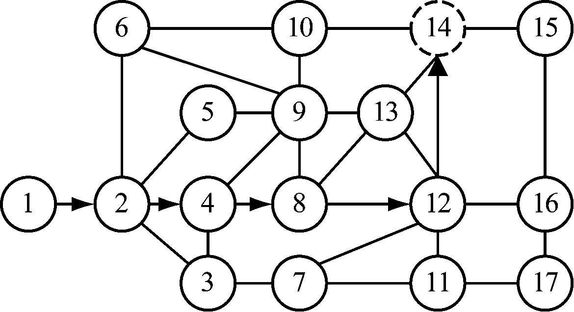
以淮南某矿为例,其巷道采掘平面图如图2所示,局部巷道网络平面布局如图3所示。图2中给出了巷道标高信息,表示巷道节点与水平地面的距离,假设14号节点发生火灾,1号节点为矿山救护队出发位置。

图2 巷道采掘平面图
Fig.2 Excavation plan of roadway

图3 灾前井下巷道网络
Fig.3 Network of underground roadway before disaster
参照文献[21]可以计算出αT,αG及αV,由式(4)可计算出
根据表1—表3及现场情况可以计算出η(i,j)及RL(i,j),计算结果见表4—表
取0.4。
表4 巷道相对长度
Table 4 Relative length of roadway

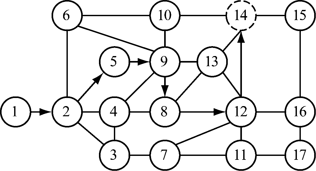
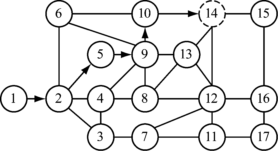
采用Dijkstra 算法[22-23]分别计算考虑节点连通度及安全因子的最短路径、仅考虑安全因子的救援路径及不考虑安全因子及连通度的救援路径。考虑安全因子及节点连通度的最优路径为1-2-4-8-12-14,权重因子总和为5.642 9,如图4所示。仅考虑安全因子,不考虑节点连通度的最优路径为1-2-5-9-8-12-14,权重因子总和为5.633 1,如图5所示。不考虑安全因子及节点连通度的最优路径为1-2-5-9-10-14,权重因子总和为5.559 4,如图6所示。在图4、图5和图6中,箭头表示救援路径的方向,虚线的节点14代表着火点。
表5 正向行进效率
Table 5 Forward walking efficiency

表6 反向行进效率
Table 6 Backward walking efficiency

表7 巷道环境安全因子
Table 7 Roadway environmental safety factor


图4 考虑节点连通度及安全因子的最短路径
Fig.4 Shortest path considering node connectivity and
safety factor

图5 仅考虑安全因子的救援路径
Fig.5 Rescue path only considering safety factor

图6 不考虑安全因子及连通度的救援路径
Fig.6 Rescue path without considering safety factor and connectivity
从表7可以看出巷道E(10,14)为危险巷道,不适合救援人员通行,而不考虑安全因子及节点连通度的最优路径为1-2-5-9-10-14,恰好经过巷道E(10,14)。可见,不考虑安全因素求解最短路径是不合理的。若只考虑安全因素,不考虑节点的连通度,最优路径为1-2-5-9-8-12-14,而节点5的连通度为2,若有意外因素发生,导致巷道E(5,9)不能通行,则救援人员需要返回节点2重新选择路径,绕行的路线会很长。考虑安全因子及节点连通度的最优路径1-2-4-8-12-14,优化路径中每一个节点都有备选路径,若优化路径发生意外导致中断,救援人员还可选择其他路径,不必绕行太长距离。综合分析可见,最安全、疏散最有效的路径应该是考虑巷道的安全因子及节点连通度所求得的路径。
(1) 救援路径优化模型将火灾后巷道内温度、瓦斯浓度、烟雾能见度等环境安全因子的动态变化和不同条件下巷道的通行效率纳入模型计算之中,得出的信息能够及时反映火灾后巷道通行情况,实用性强。
(2) 没有单一求解距离最短的救援路径,而是综合考虑了灾后环境不确定性,将灾后巷道连通度纳入影响因素之中,同时避免选择过多的模型参数。
(3) 优化路径的每一个节点都有备选路径,若优化路径发生意外导致中断,救援人员还可以选择备选路径前行,不必绕行太长距离。
(4) 通过灾后巷道通行方式计算出灾后巷道网络巷道通行权重,结合环境安全因子与灾后巷道网络连通度建立救援优化模型;考虑安全性与可靠性,选择通行能力较强的安全救援路线,运用Dijkstra算法分别计算考虑节点可靠度及巷道安全因子的最短路径,为最佳救援路线的选取提供了一种更可靠的路径优化模型。
参考文献
[1] 高蕊,蒋仲安,董枫,等.基于MapObject的矿井火灾动态最佳救灾路线数学模型和算法[J].北京科技大学学报,2008,30(7):705-709.
GAO Rui, JIANG Zhong'an,DONG Feng,et al.Mathematical model and algorithm of a dynamic optimum rescue route during mine fire time based on MapObject[J].Journal of University of Science and Technology Beijing,2008,30(7):705-709.
[2] 王文才,乔旺,李刚,等.矿井巷道火灾烟流运动理论研究[J].工矿自动化,2011,37(3):22-25.
WANG Wencai,QIAO Wang,LI Gang,et al.Research of movement theory of fire smoke flow of mine roadway[J].Industry and Mine Automation,2011,37(3):22-25.
[3] 童朝阳,阴忆烽,黄启斌,等.火灾烟气毒性的定量评价方法评述[J].安全与环境学报,2005,5(4):101-105.
TONG Zhaoyang,YIN Yifeng,HUANG Qibin,et al.Review of quantitative assessment methods on fire smoke toxicity[J].Journal of Safety and Environment,2005,5(4):101-105.
[4] 王超群,吕淑然,杨凯.基于ArcGIS的井下火灾疏散路径优化方法的应用[J].安全,2013,34(4):8-9.
[5] 陈荣想.基于3DGIS数字矿山基础信息平台的火灾烟流蔓延分析及避灾路线解算[J].工矿自动化,2012,38(8):45-51.
CHEN Rongxiang.Analysis of movement of fire smoke flow and determination of route for avoiding disaster based on information platform of 3DGIS digital mine[J].Industry and Mine Automation,2012,38(8):45-51.
[6] 黄萍,李兵磊.基于加权聚合粒子群算法的矿井火灾救援研究[J].福州大学学报(自然科学版),2016,44(6):868-873.
HUANG Ping,LI Binglei.Mine fire rescue based on weighted aggregation particle swarm optimization[J].Journal of Fuzhou University(Natural Science Edition),2016,44(6):868-873.
[7] 袁媛,汪定伟.灾害扩散实时影响下的应急疏散路径选择模型[J].系统仿真学报,2008,20(6):1563-1566.
YUAN Yuan,WANG Dingwei.Route selection model in emergency evacuation under real time effect of disaster extension[J].Journal of System Simulation,2008,20(6):1563-1566.
[8] 陈宁,孔维臻.矿井火灾避灾与救灾最优路径研究[J].工业安全与环保,2010,36(11):40-42.
CHEN Ning,KONG Weizhen.Research on optimal escape and rescue routes of mine fire[J].Industrial Safety and Environmental Protection,2010,36(11):40-42.
[9] 陈孝国,杜红,母丽华,等.不确定条件下矿井火灾救灾路线优选的群决策方法[J].中国安全科学学报,2014,24(3):167-171.
CHEN Xiaoguo,DU Hong,MU Lihua,et al.Multi-attribute group decision-making method for optimizing fire disaster rescue route in mine with uncertain conditions[J].China Safety Science Journal,2014,24(3):167-171.
[10] 段满珍,陈光,董博,等.不确定信息下应急救援路径选择模型[J].交通运输系统工程与信息,2017,17(4):173-181.
DUAN Manzhen,CHEN Guang,DONG Bo,et al.Emergency rescue path selection model under uncertain information[J].Journal of Transportation Systems Engineering and Information Technology,2017,17(4):173-181.
[11] 詹子娜,金龙哲,白楠,等.基于避险设施的火灾救援及避灾路线算法[J].北京科技大学学报,2014,36(7):966-971.
ZHAN Zina,JIN Longzhe,BAI Nan,et al.Fire rescue and optimal escape route algorithm based on refuge chambers[J].Journal of University of Science and Technology Beijing,2014,36(7):966-971.
[12] 毕林,崔君,林格,等.矿井火灾最优逃生路径优化数学模型的构建与实现[J].黄金科学技术,2017,25(2):104-109.
BI Lin,CUI Jun,LIN Ge,et al.Construction and realization of optimal mathematical model of mine fire escape route[J].Gold Science and Technology,2017,25(2):104-109.
[13] 马毅,严余松.路网应急疏散理想与保守疏散时间流研究[J].交通运输系统工程与信息,2015,15(1):167-172.
MA Yi,YAN Yusong.Research on ideal and conservative time flow for emergency evacuation on road network[J].Journal of Transportation Systems Engineering and Information Technology,2015,15(1):167-172.
[14] 张俊文,王凯,丁超南.基于元胞自动机的巷网火灾逃生路径分析[J].能源技术与管理,2017,42(5):4-7.
[15] 汤雪飞,季经纬,谢信亮,等.坡度对疏散影响的试验研究[J].消防科学与技术,2017,36(11):1508-1511.
TANG Xuefei,JI Jingwei,XIE Xinliang,et al.The experimental studies on influence of slope on evacuation[J].Fire Science and Technology,2017,36(11):1508-1511.
[16] 付恩俊,唐安东.井下火灾期间最佳避灾路线的选择[J].煤矿安全,2006,37(10):32-34.
[17] 马西良,朱华.对瓦斯分布区域避障的煤矿机器人路径规划方法[J].煤炭工程,2016,48(7):107-110.
MA Xiliang,ZHU Hua.Path planning method for obstacle-avoiding of coal mine robot in gas hazard area[J].Coal Engineering,2016,48(7):107-110.
[18] 王玉琨,吴锋.矿井应急救援中最佳避灾路线的Dijkstra算法的改进实现[J].工矿自动化,2008,34(5):13-15.
WANG Yukun,WU Feng.Implementation of improved Dijkstra algorithm for choosing the best escape route in mine's emergency rescue[J].Industry and Mine Automation,2008,34(5):13-15.
[19] 李兴宇.基于蚁群算法的矿井应急救援最短路径研究[J].煤炭技术,2013,32(1):102-103.
LI Xingyu.Research on shortest path of mine emergency rescue based on ant colony algorithm[J].Coal Technology,2013,32(1): 102-103.
[20] 孙殿阁,蒋仲安.改进的Dijkstra算法在矿井应急救援最佳避灾路线求取中的应用[J].矿业安全与环保,2005,32(5):38-40.
[21] 王凯,蒋曙光,张卫青,等.矿井火灾应急救援系统的数值模拟及应用研究[J].煤炭学报,2012,37(5):857-862.
WANG Kai,JIANG Shuguang,ZHANG Weiqing,et al.Numerical simulation and application research of mine fire emergency rescue system[J].Journal of China Coal Society,2012,37(5):857-862.
[22] 姚万烜,董恒,黄解军.基于改进Dijkstra算法的矿井安全救援系统[J].矿业安全与环保,2008,35(3):40-41.
YAO Wanxuan,DONG Heng,HUANG Jiejun.Research of mine safety rescue system based on improved Dijkstra algorithm[J].Mining Safety & Environmental Protection,2008,35(3):40-41.
[23] 赵文涛,张改丽,王丽娜.基于Dijkstra的煤矿井下紧急避灾路径搜索方法研究[J].矿山机械,2014, 42(9):133-138.
ZHAO Wentao,ZHANG Gaili, WANG Li'na.Research on method of searching emergency refuge route in underground colliery based on Dijkstra[J].Mining & Processing Equipment,2014,42(9):133-138.