孙涛1,代邦武2,褚菲2,马小平2
(1.云南能投煤业有限公司,云南 昆明 650228;2.中国矿业大学 信息与控制工程学院,江苏 徐州 221116)
摘要:针对现有离心式通风机性能预测方法不能充分利用离心式通风机历史运行数据、建模周期长等问题,提出了基于最小二乘支持向量机(LSSVM)与拉丁超立方采样(LHS)的大型离心式通风机性能预测方法。选取出口压力作为衡量通风机性能的指标,利用LSSVM建立离心式通风机性能预测模型;通过LHS方法采集离心式通风机的入口温度、入口压力、入口流量和转速,将采集的数据进行归一化处理后用于LSSVM模型的训练;通过测试数据验证所建立模型的有效性。仿真结果表明,基于LSSVM与LHS的大型离心式通风机性能预测方法能够充分利用已有通风机数据信息快速准确地预测通风机性能。
关键词:离心式通风机; 性能预测; 最小二乘支持向量机; 拉丁超立方采样;LSSVM;LHS
中图分类号:TD635
文献标志码:A
网络出版地址:http://kns.cnki.net/kcms/detail/32.1627.TP.20190118.1639.003.html
文章编号:1671-251X(2019)02-0070-05 DOI:10.13272/j.issn.1671-251x.2018100014
收稿日期:2018-10-11;
修回日期:2019-01-08;
责任编辑:胡娴。
基金项目:江苏省重点研发计划资金支持项目(BE2016046);江苏省普通高校研究生创新计划项目(KYLX16——0533)。
作者简介:孙涛(1961-),男,四川苍溪人,高级工程师,主要研究方向为矿山机电设备设计与安装、矿井自动化监控等,E-mail:stcumt@126.com。
引用格式:孙涛,代邦武,褚菲,等.大型离心式通风机性能预测方法[J].工矿自动化,2019,45(2):70-74.SUN Tao,DAI Bangwu,CHU Fei,et al.Performance prediction method for large-centrifugal ventilator[J].Industry and Mine Automation,2019,45(2):70-74.
SUN Tao1, DAI Bangwu2, CHU Fei2, MA Xiaoping2
(1.Yunnan Nengtou Coal Industry Co., Ltd., Kunming 650228, China; 2.School of Information and Control Engineering, China University of Mining and Technology, Xuzhou 221116, China)
Abstract:In view of problems that existing performance prediction methods for centrifugal ventilator cannot fully utilize historical operation data of centrifugal ventilator and have long modeling period, performance prediction method for large-centrifugal ventilator based on LSSVM and LHS was proposed. Outlet pressure is selected as index to measure performance of ventilator, and performance prediction model of centrifugal ventilator is established by using LSSVM. Inlet temperature, inlet pressure, inlet flow rate and rotational speed of the centrifugal ventilator are collected by LHS method, and the collected data are normalized for training of LSSVM model. Validity of the established model is verified by testing data. The simulation results show that the performance prediction method for large-centrifugal ventilator based on LSSVM and LHS can make full use of existing ventilator data information to quickly and accurately predict performance of ventilator.
Key words:centrifugal ventilator; performance prediction; least squares support vector machine; Latin hypercube sampling; LSSVM;LHS
离心式通风机的主要作用是保证井下空气供应,稀释有害气体,降低井下煤尘浓度,在煤矿安全生产中至关重要。稳定的通风机性能直接关系到井下设备的可靠运转与人员的安全[1-2]。而对通风机性能的预测控制与运行优化是以准确的性能预测模型为基础的,因而建立准确的通风机性能预测模型十分重要。
建立离心式通风机性能预测模型的方法主要有3类:① 以应用数学、流体力学和流场等相关理论为基础建立离心式通风机模型,对通风机性能进行预测[3]。② 实验法,即借助先进的测量技术建立各种工况下离心式通风机实验模型[4-5]。③ 以计算机技术为依托,利用各种CFD(Computational Fluid Dynamics)数值模拟技术建立离心式通风机性能预测模型[6-9]。这些方法往往需要复杂的数学计算和重复的实验设计,建模周期长,成本高,并且存在不能充分利用通风机历史运行数据等问题,造成信息资源的浪费。近年来,随着人工智能算法的发展,数据驱动的建模方法逐渐被用于通风机性能预测。张玮[10]利用离心式通风机历史运行数据提出了一种基于模糊RBF神经网络的离心式通风机建模方法,该方法取得了一定效果,但神经网络建模所需数据量大,建模周期长,且未对建模数据分布进行优化,可能导致建模数据过度集中,模型容易陷入局部最优。
本文提出了基于最小二乘支持向量机(Least Squares Support Vector Machine,LSSVM)与拉丁超立方采样(Latin Hypercube Sampling, LHS)的大型离心式通风机性能预测方法,利用LSSVM算法和离心式通风机历史运行数据建立性能预测模型,并采用LHS方法保证建模数据均匀分布在建模区间,提高模型泛化性。
支持向量机(Support Vector Machine,SVM)以统计学习理论为基础,利用VC维(Vapnik-Chervonenkis Dimension)和结构风险最小化(Structure Risk Minimization, SRM)原理的基本思想,在有限样本的情况下,从学习能力和模型的复杂度之间找到一个最优权衡,从而获得一个强泛化性的学习机器[11],可以有效避免“过学习”和“维数灾难”等问题,在自然语言处理、文本识别、图像识别等领域获得广泛的应用[12]。在此基础上,J.A.K.Suykens等[13]将损失函数直接定义为误差平方和,提出了一种改进的SVM算法——LSSVM。其主要优势是转化SVM中的不等式约束为等式约束,从而降低算法计算的复杂性,加快算法求解的速度[14-16]。
设有训练集(xi,yi),i=1,2,…,l,l为样本数,xi∈Rd,是第i个样本的输入,yi∈R,是第i个样本的期望输出,构造回归函数:
f(xi)=ωTφ(xi)+b+ei
(1)
式中:ω为LSSVM的权系数;b为偏差;e为误差;φ(·)为非线性情况下将输入从低维空间变换到高维空间的核函数。
定义损失函数为
p(yi,f(xi))=(yi-f(xi))2=e2
(2)
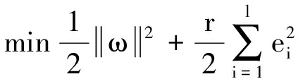
根据结构风险最小原理,LSSVM风险函数为[17]
(3)
式中r为惩罚系数。
据此可以得到最优化问题:
s.t.f(xi)=ωTφ(xi)+b+ei
(4)
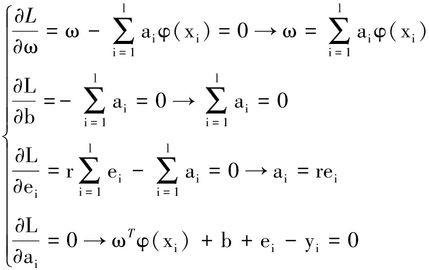
构造Lagrange函数:
L(ω,b,ei,ai)=![]()
(5)
式中ai为Lagrange乘子,ai≥0。
根据KKT条件[18],最优条件为

(6)
消去ω和e,求解式(6)可得
(7)
式中:1v=[1,1,…,1];对角阵Dr=diag[r,r,…,r];y=[y1,y2,…,yl]T;a=[a1,a2,…,al]T;矩阵Ω的元素:Ωij=φT(xi)φ(xj)=K(xi,xj),K(xi,xj)为满足Mercer条件的对称函数,也称核函数。
求解式(7)得到ai与b,则LSSVM回归预测模型为
(8)
LSSVM的回归预测能力主要取决于核函数与具体参数的选取。实际应用中通常选择满足Mercer条件的核函数,一般分为两大类:局部核和全局核[19]。若将两者线性组合,就可以将两者的优点集于一身,使得到的模型具有更强的泛化能力。常用的核函数主要有高斯径向基核函数、多项式核函数、多层感知器核函数等。
数据是建立离心式通风机模型的基础,因而需要设计实验来采集必要的离心式通风机建模数据。影响离心式通风机性能的输入变量有很多,忽略次要变量的影响,选取入口压力、入口温度、入口流量和转速作为影响离心式通风机性能的主要变量,选取出口压力作为衡量通风机性能的指标。为了提高所建模型的泛化性,避免局部建模,采集的训练与测试数据应该均匀分布在通风机的整个运行区间内。LHS采用分层抽样,将采样区间均匀划分为若干等份,在每个部分中随机采集数据,保证了数据分布的均匀性,避免了数据过度集中[20-21]。因此,选用LHS方法采集离心式通风机的实验数据。G. E. P. Box等[22]指出,在实验的初始阶段,采集的数据不宜超过实验数据总量的25%,假设采集数据总量n=10d(d为输入变量维度),那么初始实验中采集的实验数据量n0应满足n0≤0.25n=2.5d,因而,本文采用n0=0.25n作为初始试验阶段实验数据量。数据采集硬件实现方案如图1所示,首先通过传感器对被测通风机的入口压力、温度、流量及转速进行测量,然后测量数据通过总线传输到DAQ数据采集系统,最终DAQ数据采集系统将数据打包通过I/O设备传入主机。

图1 离心式通风机数据采集硬件实现方案
Fig.1 Hardware implementation of data acquisition of centrifugal ventilator
由于变量之间存在量纲的差异,采集到的数据并不直接应用于模型训练,需要对数据做归一化处理,即把有量纲数据变为无量纲数据,将采集的数据映射到[0,1]范围内,从而提高模型的收敛速度,提升模型的精度。本文采用最大-最小值归一化方法,将采集的数据映射到[0,1]的范围内,具体表达式为
(9)
式中:S为归一化后的数据;s为采集数据;smin为采集数据最小值;smax为采集数据最大值。
离心式通风机性能预测模型训练结构如图2所示。该结构可以分为2个部分,即数据采集处理和模型训练。前者主要完成实验数据的采集与处理,后者实现性能预测模型的建立与验证。首先通过LHS方法采集离心式通风机的实验数据(入口温度、压力、流量和通风机转速),将采集的数据进行归一化处理后用于LSSVM模型的训练[23]。模型训练完成后,将测试数据应用到所建立的模型,验证模型的有效性。如果所建立的模型满足建模的停止条件,则应用此模型。若所建立的模型无法满足建模的停止条件,则需要采集更多的数据进行模型训练。本文选取RBF核函数作为LSSVM的核函数,核参数通过网格搜索法获得[13]。

图2 离心式通风机性能预测模型训练结构
Fig.2 Training structure of performance prediction model for centrifugal ventilator
此外,选取均方根误差(Root-Mean-Square Error, RMSE)和平均相对误差(Mean Relative Error, MRE)来评估模型的预测性能,同时选取RMSE作为模型的训练停止条件,二者具体表达式为
(10)
![]()
(11)
式中:ti为真实值;
为模型预测值。
某煤矿主要通风机采用离心式通风机,本文以该离心式通风机为研究对象,利用LSSVM算法建立通风机性能预测模型,验证所提方法的有效性。模型训练与测试样本均从现场的集散控制系统中获得。利用LHS方法从离心式通风机稳定运行区域内选取100组数据用于模型训练,选取50组测试数据用于模型验证,并确定模型训练的停止条件为RMSE<0.05。利用Matlab实现上述模型。图3给出了在不同数量训练样本的情况下,预测模型的RMSE情况。从图3可以看出,随着训练样本的增加,预测模型的RMSE值不断下降,最终趋于稳定,在训练样本数为30时,模型满足训练停止条件。

图3 LSSVM方法均方根误差
Fig.3 Root-mean-square error of LSSVM method
图4展示了在满足模型停止条件,即使用30个训练样本时,模型的预测值与真实值的对比。从图4可以看出,所建立的模型能够很好地预测离心式通风机的输出压力,预测值与真实数据较吻合。

图4 通风机性能预测模型预测值与真实值对比
Fig.4 Comparison of predicted and actual values of performance prediction model for centrifugal ventilator
为了进一步体现所提方法的优越性,表1给出了在满足停止条件后,不同训练样本下模型的RMSE和MRE。从表1中可以看出,误差随着训练数据的增加而呈下降趋势,并最终逐渐收敛。
表1 不同训练样本下LSSVM方法的MRSE与MRE值
Table 1 RMSE and MRE of LSSVM method under different training samples

基于LSSVM算法建立矿用离心式通风机性能预测模型,采用LHS方法采集通风机的实验数据,进一步降低建模成本,提高建模精度,通过仿真实例验证所提方法的有效性。然而实际生产中存在大量相似的离心式通风机,尽管它们在大小、结构、转速等方面存在差异,但所遵循的机理相似,因而如何利用已有相似离心式通风机数据建立当前离心式通风机模型成为下一步研究方向。
参考文献:
[1] 牛青.矿井通风机性能测试方法与系统的研究[D].西安:西安科技大学,2014.
[2] 万雷.单级离心风机气动性能模拟与实验验证[D].哈尔滨:哈尔滨工程大学,2013.
[3] 李超,伍继浩.离心通风机整机损失数学模型的研究及优化[J].风机技术,2000(4):15-17.
[4] 姜华,宫武旗,张炜,等.带分流叶片离心叶轮非定常流场的实验研究[J].西安交通大学学报,2009,43(9):14-18.
JIANG Hua,GONG Wuqi,ZHANG Wei,et al.Experimental investigation of the unsteady discharge flow in a centrifugal impeller with splitter blades[J].Journal of Xi'an Jiaotong University,2009,43(9):14-18.
[5] 聂波,张俊林,满建楠.进口弯管对前向离心通风机性能影响的研究[J].流体机械,2018,46(1):6-9.
NIE Bo,ZHANG Junlin,MAN Jiannan.Effect on the performance of the forward centrifugal fan with inlet bent pipe[J].Fluid Machinery,2018,46(1):6-9.
[6] ONMA P,CHANTRASMI T.Comparison of two methods to determine fan performance curves using computational fluid dynamics[C]//IOP Conference Series:Materials Science and Engineering,2018.
[7] MADHWESH N,KARANTH K V,SHARMA N Y.Effect of innovative circular shroud fences on a centrifugal fan for augmented performance-A numerical analysis[J].Journal of Mechanical Science and Technology,2018,32(1):185-197.
[8] 黄忠文,王培,韩海燕.离心通风机叶轮的有限元建模与应力分析[J].流体机械,2015,43(10):27-30.
HUANG Zhongwen,WANG Pei,HAN Haiyan.Finite element modeling and stress analysis of centrifugal fan impeller[J].Fluid Machinery,2015,43(10):27-30.
[9] 邵国建,陈帮,谢云川.进气箱对离心风机性能影响的研究[J].风机技术,2018,60(1):39-43.
SHAO Guojian,CHEN Bang,XIE Yunchuan.Effect of inlet box on the performance of centrifugal fan[J].Chinese Journal of Turbomachinery,2018,60(1):39-43.
[10] 张玮.基于神经网络的数据统计建模[D].杭州:浙江工业大学,2009.
[11] VAPNIK V N.An overview of statistical learning theory[J].IEEE transactions on neural networks,1999,10(5):988-999.
[12] CHERKASSKY V,MA Y.Practical selection of SVM parameters and noise estimation for SVM regression[J].Neural Networks,2004,17(1):113-126.
[13] SUYKENS J A K,VANDEWALLE J.Least squares support vector machine classifiers[J].Neural Processing Letters,1999,9(3):293-300.
[14] 周欣然.基于最小二乘支持向量机的在线建模与控制方法研究[D].长沙:湖南大学,2012.
[15] 陈爱军.最小二乘支持向量机及其在工业过程建模中的应用[D].杭州:浙江大学,2006.
[16] LU Chao,CHEN Jie,HONG Rongjing,et al.Degradation trend estimation of slewing bearing based on LSSVM model[J].Mechanical Systems and Signal Processing,2016,76-77:353-366.
[17] WANG H,HU D.Comparison of SVM and LS-SVM for regression[C]// International Conference on Neural Networks and Brain,2005.
[18] 张檑,李宏光.基于KKT条件选择被控变量的自优化控制方法[J].北京化工大学学报(自然科学版),2013,40(增刊1):67-71.
ZHANG Lei,LI Hongguang.Self-optimizing control approach with Karush Kuhn Tucker(KKT) based controlled variable alternatives[J].Journal of Beijing University of Chemical Technology(Natural Science Edition),2013,40(S1):67-71.
[19] 郑丽媛,孙朋,张素君.煤矿瓦斯突出预测的PSO-LSSVM模型[J].仪表技术与传感器,2014(6):138-140.
ZHENG Liyuan,SUN Peng,ZHENG Sujun.Prediction on gas emission value based on PSO-LSSVM[J].Instrument Technique and Sensor,2014(6):138-140.
[20] MCKAY M D,BECKMAN R J,CONOVER W J.A comparison of three methods for selecting values of input variables in the analysis of output from a computer code[J].Technometrics,2000,21(2):239-245.
[21] 吴振君,王水林,葛修润.LHS方法在边坡可靠度分析中的应用[J].岩土力学,2010,31(4):1047-1054.
WU Zhenjun,WANG Shuilin,GE Xiurun.Application of Latin hypercube sampling technique to slope reliability analysis[J].Rock and Soil Mechanics,2010,31(4):1047-1054.
[22] BOX G E P,HUNTER J S,HUNTER W G.Statistics for experimenters:design,innovation,and discovery[M].2nd edition.New York:Wiley-Interscience,2005.
[23] 任彬,宋益勇,张中仕,等.多翼离心通风机全流场数值模拟与性能预测[J].风机技术,2011(2):21-23.
REN Bin,SONG Yiyong,ZHANG Zhongshi,et al.Numerical simulation and performance forecast of whole flow field in a multi-blade centrifugal fan[J].Compressor,Blower & Fan Technology,2011(2):21-23.