李山1, 潘涛2, 倪春明3, 王颖杰4, 王亚娟4
(1.国家能源集团神东煤炭集团设计公司, 陕西 神木 719315;2.国家能源集团神华信息技术有限公司, 北京 100011;3.中煤科工集团上海有限公司, 上海 201401;4.中国矿业大学 电气与动力工程学院, 江苏 徐州 221116)
摘要:针对煤矿井下供电负荷、供电距离、供电系统有功损耗均较大,且负载侧存在电压偏低和闪变等问题的现状,将基于模块化多电平换流站的柔性直流输电(MMC-HVDC)系统应用到井下供电系统,重点介绍了该系统中换流站(MMC)的拓扑结构、数学模型、参数及控制器设计等。井下MMC-HVDC系统包含整流站和逆变站2个MMC,整流站采用快速电流内环控制和定直流电压、定无功功率外环控制的双闭环控制结构,逆变站采用定交流电压控制;MMC均采用载波移相脉宽调制和基于能量均分控制、电压平衡控制的均压策略。在PSCAD/EMTDC软件中对井下MMC-HVDC系统进行仿真实验,结果表明:井下MMC-HVDC系统在稳态运行时具有良好的动态响应,实现了有功和无功功率独立控制,提高了直流输电效率;系统受到因井下负荷变化引起的扰动时可以较快的速度调节有功和无功功率,快速稳定直流输电电压,同时将逆变站输出电压幅值和相位稳定在额定值。
关键词:井下供电; 柔性直流输电系统; 模块化多电平换流站; 快速电流内环控制; 定直流电压外环控制; 定无功功率外环控制; 定交流电压控制
随着煤矿开采机械化水平日益提高,大量功率较大的运输设备、采煤机组及其他电力电子设备应用于煤矿生产,井下供电负荷增大,且供电距离随开采深度及工作面长度的持续增加而增大,使得供电系统有功损耗较大,且大量谐波导致负载侧存在电压偏低和闪变等问题。为保证井下设备正常运行,降低损耗、提高供电效率和电能质量迫在眉睫[1-2]。
相较于传统的交流输电系统,直流输电系统具有线路造价低、使用寿命长、线路走廊窄、输电距离远等优势。而基于模块化多电平换流站的柔性直流输电(Modular Multilevel Converter-High Voltage Direct Current,MMC-HVDC)系统不但具备传统的直流输电系统特点,还具有谐波水平低、占地面积小、可独立调节有功和无功功率、无换相失败问题、无需加装滤波器等优势,具有广阔的应用前景[3]。本文根据井下供电系统的发展要求,提出将MMC-HVDC系统应用于井下大功率远距离供电系统,着重介绍了井下MMC-HVDC系统中MMC参数及控制器设计方案,并通过在PSCAD/EMTDC软件中搭建仿真模型,验证了井下MMC-HVDC系统及其MMC设计的有效性。
向无源网络供电的井下MMC-HVDC系统结构如图1所示。该系统将左侧有源网络的电能通过直流输电线路传输给右侧无源网络,包含2个换流站:MMC1为整流站,MMC2为逆变站。us为交流电网电压,Z为无源网络侧负荷。

图1 井下MMC-HVDC系统结构
Fig.1 Structure of underground MMC-HVDC system
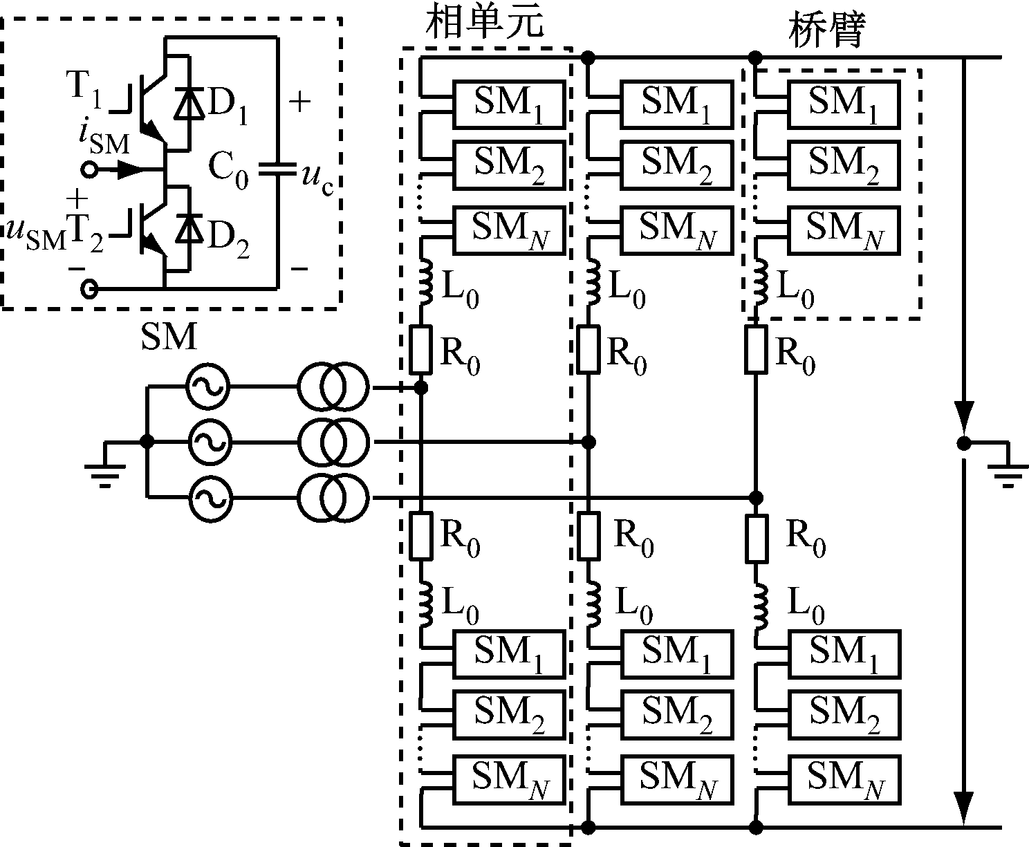
MMC拓扑结构如图2所示[4]。MMC有6个桥臂,每个桥臂由N个子模块(SM)、1个桥臂电抗L0、1个桥臂电阻R0串联而成。每一相上下2个桥臂组成1个相单元。子模块SM中,T1和T2为绝缘栅双极型晶闸管(IGBT),D1和D2为反并联二极管,C0为SM直流侧电容,uSM为SM输出电压,iSM为流入SM的电流,uc为电容C0两端电压。通过控制T1和T2的导通状态,SM输出电压uSM在uc和0之间切换。

图2 MMC拓扑结构
Fig.2 MMC topology
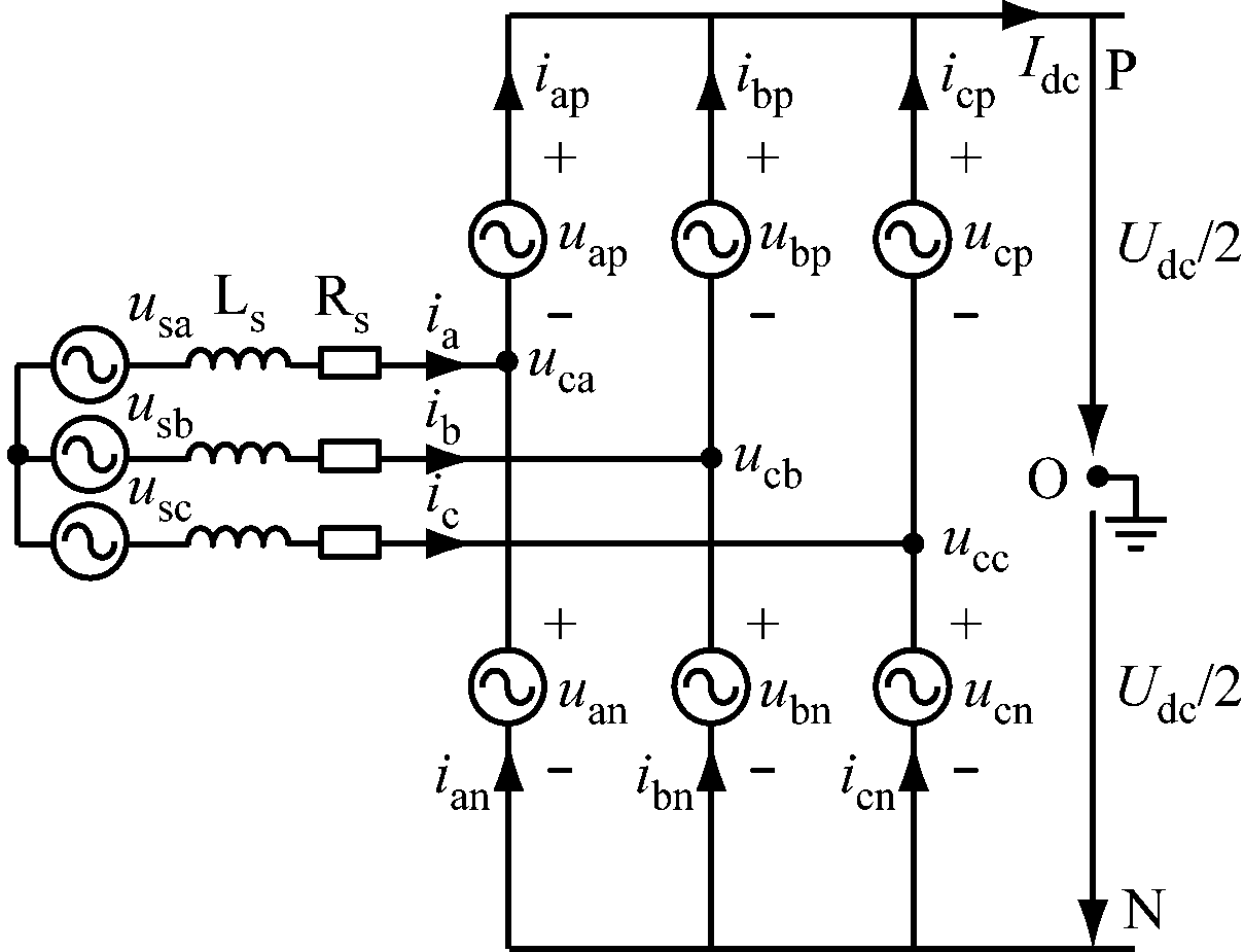
根据文献[5]建模方法,得到MMC简化等效模型,如图3所示。其中Ls=L+L0/2,Rs=R0/2,L为交流系统等效电抗;P,N分别为MMC正负直流母线;O为直流侧中性点;Udc,Idc分别为MMC直流侧电压和电流;ukr(k=a,b,c,表示abc三相;r=p,n,表示上下桥臂)为同一桥臂所有SM组成的桥臂电压;ikr为桥臂电流;usk为k相电网电压;uck为MMC交流侧输出电压,uck=(ukn-ukp)/2;ik为MMC交流侧输出电流。
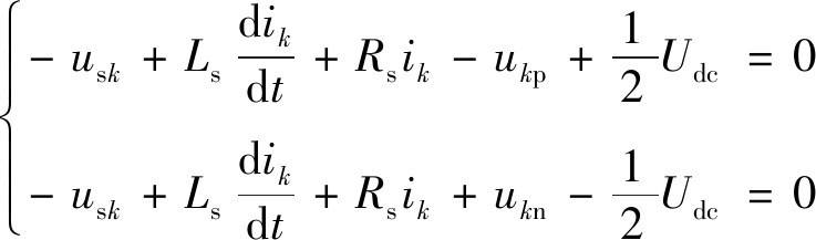
根据KVL定律,得k相上下桥臂电压方程:

图3 MMC简化等效模型
Fig.3 Simplified MMC equivalent model

(1)
由式(1)可得MMC交流侧数学模型:
(2)
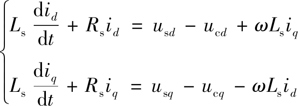
在abc坐标系下,各个量均是时变的交流量,不利于直观得到有功和无功分量,因此将式(2)进行Park变换,得到对应dq坐标系下的数学模型:

(3)
式中:id,iq分别为电网电流d,q轴分量;usd,usq分别为电网电压d,q轴分量;ucd,ucq分别为MMC交流侧电压d,q轴分量;ω为电网频率。
对应的变换矩阵为

(4)
式中θ为电网电压相角。
设dq坐标系中d轴和电网电压矢量重合,则电网电压q轴分量usq=0。根据瞬时功率理论,网侧交流系统输入的有功功率P和无功功率Q分别为
(5)
描述所有SM电容电压uc随时间t变化的解析表达式可写为直流分量Uc与波动分量Δuc(t)之和,即
uc=Uc+Δuc(t)
(6)
引入变量ε表示电容电压波动率,则有
(7)
式中SVN为MMC交流侧出口处额定容量。
由式(7)可知,电容电压波动率ε仅与C0有关。SM电容选择原则为保持电容电压uc基本稳定,并满足电容电压波动率ε限值要求。根据文献[6],引入表示SM电容电压的通用指标H(等容量放电时间常数),其表达式为
(8)
反推式(8)可得
(9)
在MMC满容量发无功功率(Ppu=0,Qpu=1,Ppu,Qpu分别为P,Q标幺值)工况下,综合考虑ε取值对MMC运行性能的影响及经济成本,ε取10%~15%较为合理,对应的H取35~45 ms。本文取ε=12%,H=40 ms。
桥臂电抗器参数确定需满足要求:① 作为连接电抗,平滑注入交流系统电流。② 在发生直流侧故障或换流器内部故障时,用于抑制故障电流上升率。③ 用于抑制二倍频环流[6-7]。
由文献[6]可知,桥臂电抗器只要取很小的值就可满足前2条要求,因此抑制二倍频环流是确定桥臂电抗器参数的决定性因素。桥臂电抗器必须使相单元串联谐振角频率ωres尽可能远离二倍频环流谐振角频率,一般取ωres=ω0(ω0为电网额定角频率)较为合理。
相单元等效电路如图4所示。根据电路理论得串联谐振角频率:
(10)
图4 相单元等效电路
Fig.4 Equivalent circuit of phase unit
反推式(10)得桥臂电抗器参数:
(11)
整流站采用双闭环控制结构,其中电流内环采用快速电流控制,使id,iq快速跟踪其给定值
外环采用定直流电压控制和定无功功率控制[8-9]。
由式(3)可知MMC模型中d,q轴变量之间存在耦合,且存在usd,usq扰动信号,可采用前馈解耦控制策略。当电流内环控制器采用PI调节器时,MMC输入变量为
ucd=usd+ωLsiq-
(12)
ucq=usq-ωLsid-
(13)
式中kp1,kp2和ki1,ki2分别为电流内环控制器PI调节器的比例系数和积分系数。
外环控制器根据直流电压指令
和无功功率指令Q*计算出电流内环给定值![]()
(14)
(15)
式中kp3,kp4和ki3,ki4分别为外环控制器PI调节器的比例系数和积分系数。
根据式(12)—式(15)得出整流站控制器结构,如图5所示,其中s为拉普拉斯算子。

图5 整流站控制器结构
Fig.5 Controller structure of rectifier converter
逆变站控制器用于保证无源网络交流母线电压稳定,因此采用定交流电压控制。
根据式(3)和图1,得到逆变站在dq坐标系下的稳态数学模型:
![]()
(16)
根据文献[10],采用电压矢量定向控制策略,以逆变站输出电压us2相位为参考,则usd=us2,usq=0,对应的逆变站控制器结构如图6所示。其中
为电网电压指令;kp5,kp6和ki5,ki6分别为逆变站定交流电压控制器PI调节器的比例系数和积分系数。
逆变站控制器中设计了锁相环电路,以提供与电网电压相位相同的基准相位信号,为实现同步坐标变换及电压矢量定向控制提供条件。

图6 逆变站控制器结构
Fig.6 Controller structure of inverter converter
4.3.1 电流内环控制器参数整定
根据参考文献[11]可知,解耦后的电流内环控制器结构如图7所示(以d轴为例)。
图7 解耦后的电流内环控制器结构
Fig.7 Structure of decoupled current inner-loop controller
PI调节器传递函数:
(17)
式中:kp为比例系数;ki为积分系数;Ti为积分时间常数。
理想情况下只考虑MMC的传递延迟,则MMC传递函数:
(18)
式中Ta为时间常数,通常取1.5倍的等效开关周期。
根据式(2)可得受控对象(MMC交流侧数学模型)的传递函数:
(19)
结合式(17)—式(19),得电流内环控制器开环传递函数:
Hop1(s)=B1(s)Y1(s)G1(s)=
(20)
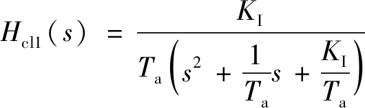
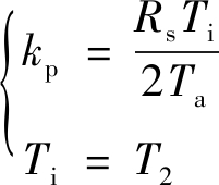
式中KI为电流内环控制器开环增益,KI=kp/(RsTi);T2=Ls/Rs。
电流内环控制器可按典型I型环节进行参数整定。为了增加电流响应的快速性,可用PI调节器零点抵消被控对象的主极点,因T2>Ta,则令Ti=T2=Ls/Rs。因此电流内环控制器闭环传递函数为

(21)
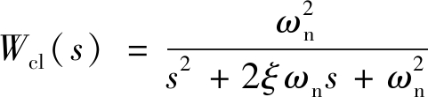
对比典型Ⅰ型系统闭环传递函数的标准形式:
(22)
式中:ωn为自然振荡角频率;ξ为系统阻尼比。
可得KI,Ta,ξ之间关系:
(23)
由文献[12]可知,ξ=0.707,KITa=0.5为最佳整定方案,结合式(20)、式(21)得到电流内环控制器PI调节器的比例系数kp和积分时间常数Ti:

(24)
4.3.2 定直流电压外环控制器参数整定
定直流电压外环控制器结构[13-15]如图8所示。
图8 定直流电压外环控制器结构
Fig.8 Structure of constant DC voltage outer-loop controller
PI调节器传递函数同式(17)。
根据文献[14]中等效原则,可将电流内环控制器等效成一阶惯性环节,其传递函数:
(25)
式中Teq为一阶惯性环节的等效时间常数,Teq=2Ta。
根据轻型直流输电系统基频动态特性的机电暂态模型,得出MMC直流侧等效电路,如图9所示。其中Pdc为注入MMC功率,idc1为MMC注入直流侧电流(包括注入电容和直流网络两部分电流),Rdc为MMC损耗等效电阻,Ceq为MMC 6个桥臂SM的等效电容。则可得加入定直流电压外环控制器后的系统传递函数[14]:
(26)
式中m为MMC调制度。

图9 MMC直流侧等效电路
Fig.9 Equivalent circuit of MMC DC side
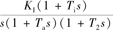
结合式(17)、式(25)、式(26),得加入定直流电压外环控制器后的系统开环传递函数:
(27)
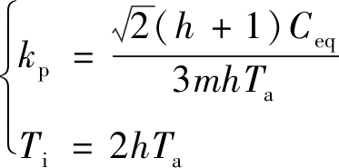
式中KV为系统开环增益,KV=3mkp/(4CeqTi)。
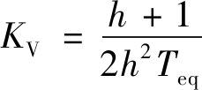
定直流电压外环控制器设计的主要目的是获得良好的抗干扰性能,因此可按典型Ⅱ型环节进行参数整定。令h=Ti/Teq,h为中频宽。采用振荡指标法中的闭环幅频特性峰值最小准则,得h和截止频率ωc之间的最佳配合关系[12],则系统开环增益可表示为
(28)
结合式(25)、式(27)、式(28)可得定直流电压外环控制器PI调节器的比例系数kp和积分时间常数Ti:

(29)
4.3.3 定无功功率外环控制器参数整定
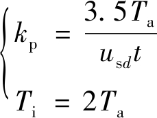
定无功功率外环控制器结构与定直流电压外环控制器结构基本相同,定无功功率外环控制器PI调节器和电流内环控制器的传递函数同式(17)、式(25)。
根据式(5)可得系统传递函数:
G3(s)=1.5usd
(30)
结合式(17)、式(25)、式(30)可得加入定无功功率外环控制器后的系统开环传递函数:
(31)
式中KQ=1.5usd kp/Ti。
根据文献[14],将功率外环整定为典型一阶环节进行PI调节器设计,以保证系统响应的快速性;然后串联一阶惯性环节,以保证系统的抗干扰性能。由此可得定无功功率外环控制器PI调节器的比例系数kp和积分时间常数Ti:

(32)
井下MMC-HVDC系统中MMC电平数不高,因此采用载波移相脉宽调制方法[16-17]。该调制方法可以较低的开关频率实现较高开关频率效果,且输出电压谐波特性好,减小了滤波器体积。
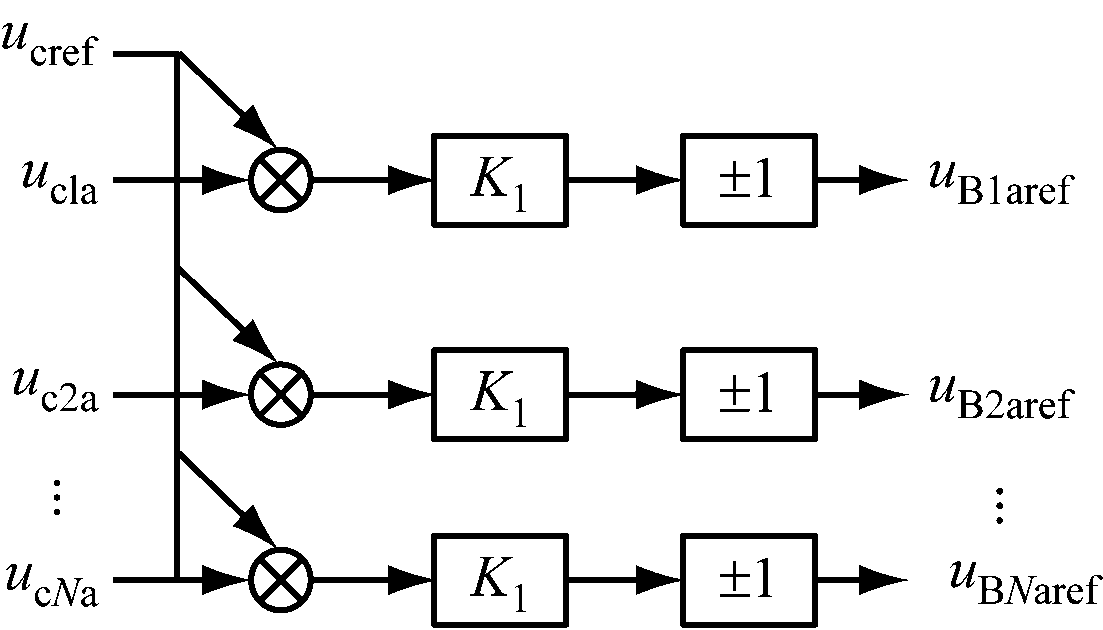
根据文献[18],将电容电压控制策略分为能量均分控制和电压平衡控制,如图10、图11所示(以a相为例)。其中ucref为电容电压参考值,ucav为平均电容电压实际值,icirref为环流参考值,icir为MMC内部环流,ucja(j=1,2,…,N)为各SM电容电压实际值,kp7和ki7分别为电压外环控制器PI调节器的比例系数和积分系数,uAaref和uBjaref分别为能量均分控制和电压平衡控制的电容电压平衡控制调节量。

图10 能量均分控制
Fig.10 Energy equipartition control

图11 电压平衡控制
Fig.11 Voltage balance control
在PSCAD/EMTDC中搭建向无源网络供电的井下MMC-HVDC系统仿真模型,具体参数见表1。
表1 井下MMC-HVDC系统仿真模型参数
Table 1 Simulation model parameters of underground MMC-HVDC system

无源网络初始有功和无功负荷分别为6 MW,0。逆变站网侧相电压幅值参考值取1 p.u.(8.16 kV)。
系统逆变站有功、无功功率和直流母线电压分别如图12、图13所示。可看出系统处于稳定运行状态时直流母线电压稳定,有功和无功功率稳定运行于参考值,系统输电效率较传统的交流输电系统高。逆变站输出电压和电流(is2)仿真波形如图14、图15所示。逆变站输出电压d轴分量,即逆变站输出电压幅值(标幺值)如图16所示。从图14—图16可看出,逆变站输出电压和电流基本呈三相对称的正弦波形,且电压幅值基本稳定在1 p.u.。可见MMC控制器可将逆变站输出电压幅值和频率稳定在额定值,保证了供电质量。逆变站桥臂SM电容电压波形如图17所示,该波形验证了电容电压平衡控制的有效性。

图12 稳态下逆变站有功和无功功率
Fig.12 Active and reactive power of inverter converter under steady-state

图13 稳态下逆变站直流母线电压
Fig.13 DC bus voltage of inverter converter under steady-state

图14 稳态下逆变站输出电压
Fig.14 Qutput voltage of inverter converter under steady-state

图15 稳态下逆变站输出电流
Fig.15 Qutput current of inverter converter under steady-state

图16 稳态下逆变站电压幅值
Fig.16 Voltage amplitude of inverter converter under steady-state

图17 稳态下逆变站上桥臂SM电容电压
Fig.17 Capacitor voltage of sub-module in upper-arm of inverter converter under steady-state
实验结果表明,井下MMC-HVDC系统在稳态运行时具有良好的动态响应,实现了有功和无功功率独立控制,提高了直流输电效率,保证了井下供电的电能质量。
在系统稳态实验设置基础上,系统运行到0.6 s时,有功和无功负荷分别增加3 MW,3 Mvar。逆变站有功和无功功率如图18所示,可见有功和无功功率需求均得到满足。逆变站直流母线电压如图19所示,可看出0.6 s后直流母线电压因有功负荷增加而减小,此时整流站定直流电压外环控制器快速作用,使得直流母线电压重新稳定在额定值。逆变站输出电压和电流分别如图20、图21所示,电压幅值(标幺值)如图22所示。可看出系统有功和无功负荷变化前后,逆变站输出电压和电流仍基本呈三相对称的正弦波,且输出电压幅值在微小波动后稳定在1 p.u.。

图18 扰动下逆变站有功和无功功率
Fig.18 Active and reactive power of inverter converter under disturbance

图19 扰动下逆变站直流母线电压
Fig.19 DC bus voltage of inverter converter under disturbance

图20 扰动下逆变站输出电压
Fig.20 Qutput voltage of inverter converter under disturbance

图21 扰动下逆变站输出电流
Fig.21 Qutput current of inverter converter under disturbance

图22 扰动下逆变站电压幅值
Fig.22 Voltage amplitude of inverter converter under disturbance
实验结果表明,井下MMC-HVDC系统在供电过程中,若突然受到因井下负荷变化引起的扰动,可以较快的速度调节有功和无功功率,使其满足系统要求,且能够快速稳定直流输电电压,保证输电效率,同时能将逆变站输出电压幅值和相位稳定在额定值,保证了供电质量。
为了提高煤矿电网的供电质量和输电效率,将向无源网络供电的MMC-HVDC系统应用到煤矿井下供电系统中,详细阐述了井下MMC-HVDC系统中MMC拓扑结构、数学模型、参数及控制器设计,并对其稳态和接入负荷扰动状态进行了仿真实验。结果表明该系统能够实现有功和无功功率的独立调节,提高井下供电质量,且在受到因井下负荷变化引起的扰动时可提供电压支持,从而验证了系统及其MMC设计的正确性。
参考文献(References):
[1] 吴文明,张生刚,王兵.浅谈煤矿供电系统存在的问题及解决方法[J].工矿自动化,2009,35(9):126-129.
WU Wenming,ZHANG Shenggang,WANG Bing.Brief analysis on problems and solutions of coal mine power supply system[J].Industry and Mine Automation,2009,35(9):126-129.
[2] 王升花.煤矿供电系统电能质量综合评价[J].工矿自动化,2017,43(2):86-89.
WANG Shenghua.Comprehensive evaluation of power quality for coal mine power supply system[J].Industry and Mine Automation,2017,43(2):86-89.
[3] 汤广福,贺之渊,庞辉.柔性直流输电工程技术研究、应用及发展[J].电力系统自动化,2013,37(15):3-14.
TANG Guangfu,HE Zhiyuan,PANG Hui.Research,application and development of VSC-HVDC engineering technology[J].Automation of Electric Power Systems,2013,37(15):3-14.
[4] DEBNATH S,QIN Jingchao,BABRANI B,et al.Operation,control,and applications of the modular multilevel converter:a review[J].IEEE Transactions on Power Electronics,2015,30(1):37-53.
[5] 管敏渊,徐政.模块化多电平换流器型直流输电的建模与控制[J].电力系统自动化,2010,34(19):64-68.
GUAN Minyuan,XU Zheng.Modeling and control of modular multilevel converter in HVDC transmission[J].Automation of Electric Power Systems,2010,34(19):64-68.
[6] 徐政,肖晃庆,张哲任.模块化多电平换流器主回路参数设计[J].高电压技术,2015,41(8):2514-2527.
XU Zheng,XIAO Huangqing,ZHANG Zheren.Design of main circuit parameters of modular multilevel converters[J].High Voltage Engineering,2015,41(8):2514-2527.
[7] 赵成勇,胡静,翟晓萌,等.模块化多电平换流器桥臂电抗器参数设计方法[J].电力系统自动化,2013,37(15):89-94.
ZHAO Chengyong,HU Jing,ZHAI Xiaomeng,et al.A parameter design method of bridge arm reactor in modular multilevel converter[J].Automation of Electric Power Systems,2013,37(15):89-94.
[8] 王卫安,桂卫华,马雅青,等.向无源网络供电的模块化多电平换流器型高压直流输电系统控制器设计[J].高电压技术,2012,38(3):751-761.
WANG Weian,GUI Weihua,MA Yaqing,et al.Control design for MMC-HVDC system connected to passive network[J].High Voltage Engineering,2012,38(3):751-761.
[9] 管敏渊,徐政.MMC型柔性直流输电系统无源网络供电的直接电压控制[J].电力自动化设备,2012,32(12):1-5.
GUAN Minyuan,XU Zheng.Direct voltage control of MMC-based VSC-HVDC system for passive networks[J].Electric Power Automation Equipment,2012,32(12):1-5.
[10] 陈海荣,徐政.向无源网络供电的VSC-HVDC系统的控制器设计[J].中国电机工程学报,2006,26(23):42-48.
CHEN Hairong,XU Zheng.Control design for VSC-HVDC supplying passive network[J].Proceedings of the CSEE,2006,26(23):42-48.
[11] 许可,鲜杏,程杰,等.基于模最优与对称最优的轻型直流PI参数整定[J].电力系统保护与控制,2016,44(2):122-127.
XU Ke,XIAN Xing,CHENG Jie,et al.Tuning method of PI controller of VSC-HVDC based on modulus and symmetrical optimum[J].Power System Protection and Control,2016,44(2):122-127.
[12] 阮毅,陈伯时.电力拖动自动控制系统——运动控制系统[M].北京:机械工业出版社,2015.
RUAN Yi,CHEN Boshi.Automatic control system of electrical drive:motion control system[M].Beijing:China Machine Press,2015.
[13] 李向阳,刘应梅,王明东.供电无源网络的VSC-HVDC系统控制器及PI参数研究[J].电力建设,2016,37(7):71-77.
LI Xiangyang,LIU Yingmei,WANG Mingdong.VSC-HVDC controller and PI parameters tuning in supplying passive networks[J].Electric Power Construction,2016,37(7):71-77.
[14] 杨晓楠,陈红坤,缪芸,等.一种VSC-HVDC控制系统的PI参数整定方法[J].现代电力,2015,32(4):68-73.
YANG Xiaonan,CHEN Hongkun,MIAO Yun,et al.A method of PI parameters tuning for VSC-HVDC control system[J].Modern Electric Power,2015,32(4):68-73.
[15] 杨浩,帅智康,沈征,等.MMC型HVDC-Light双闭环控制的参数设计方法[J].电力系统及其自动化学报,2017,29(2):77-83.
YANG Hao,SHUAI Zhikang,SHEN Zheng,et al.Parameter design method of double closed loop control of MMC type HVDC-Light[J].Proceedings of the CSU-EPSA,2017,29(2):77-83.
[16] 周杨.基于模块化多电平换流技术的柔性直流输电系统研究[D].杭州:浙江大学,2013.
ZHOU Yang.Study of flexible HVDC based on modular multilevel converter[D].Hangzhou:Zhejiang University,2013.
[17] 徐政.柔性直流输电系统[M].北京:机械工业出版社,2013.
XU Zheng.HVDC[M].Beijing:China Machine Press,2013.
[18] 赵昕,赵成勇,李广凯,等.采用载波移相技术的模块化多电平换流器电容电压平衡控制[J].中国电机工程学报,2011,31(21):48-55.
ZHAO Xin,ZHAO Chengyong,LI Guangkai,et al.Submodule capacitance voltage balancing of modular multilevel converter based on carrier phase shifted SPWM technique[J].Proceedings of the CSEE,2011,31(21):48-55.
LI Shan1, PAN Tao2, NI Chunming3, WANG Yingjie4, WANG Yajuan4
(1.CHN Energy Shendong Coal Group Design Company, Shenmu 719315, China; 2.CHN Energy Shenhua Information Technology Co. Ltd.,Beijing 100011, China; 3.CCTEG Shanghai Research Institute, Shanghai 201401, China; 4.School of Electrical and Power Engineering, China University of Mining and Technology, Xuzhou 221116, China)
Abstract:For existing status of larger power supply load, power supply distance and active power loss of power supply system in coal mine underground and problems of low voltage and flicker at load side, modular multilevel converter-high voltage direct current(MMC-HVDC) system was applied to underground power supply system. Topology, mathematical model and parameters and controller design schemes of modular multilevel converter (MMC) in the system were mainly introduced. Underground MMC-HVDC system consists of two MMCs namely rectifier converter and inverter converter. Rectifier converter adopts double closed-loop control structure of fast current inner-loop control and constant DC voltage and constant reactive power outer-loop control, and inverter converter adopts constant AC voltage control. Both MMCs adopt carrier phase-shift PWM strategy and voltage equalizing strategy based on energy equipartition control and voltage balance control. Simulation experiments of the underground MMC-HVDC system were carried out in PSCAD/EMTDC software. The results show that the underground MMC-HVDC system has good dynamic response in steady-state operation, realizes independent control of active and reactive power, and improves DC transmission efficiency. When the system is disturbed by underground load variation, it can regulate active and reactive power rapidly and stabilize DC transmission voltage, and stabilize amplitude and phase of inverter converter output voltage at rated values.
Key words:underground power supply; high voltage direct current system; modular multilevel converter; fast current inner-loop control; constant DC voltage outer-loop control; constant reactive power outer-loop control; constant AC voltage control
文章编号:1671-251X(2019)12-0060-08
DOI:10.13272/j.issn.1671-251x.17463
收稿日期:2019-05-24;修回日期:2019-11-24;责任编辑:李明。
基金项目:国家重点研发计划资助项目(2017YFC0804300 );徐州市推动科技创新项目(KC18076)。
作者简介:李山(1979-),男,山东莱芜人,高级工程师,硕士,长期从事矿井供配电系统、输电线路、智能矿山规划设计工作,E-mail:sdsjydq@163.com。
通信作者:潘涛(1975—),男,江苏连云港人,教授级高级工程师,博士,现主要从事矿山智能化、信息化方面的研究工作,E-mail:pancumt@163.com。
引用格式:李山,潘涛,倪春明,等.井下柔性直流输电系统换流站设计[J].工矿自动化,2019,45(12):60-67.
LI Shan,PAN Tao,NI Chunming,et al.Converter design of underground high voltage direct current system[J].Industry and Mine Automation,2019,45(12):60-67.
中图分类号:TD611
文献标志码:A