王琦婷, 魏业文, 周健飞, 李应智
(三峡大学 电气与新能源学院, 湖北 宜昌 443002)
摘要:针对传统感应耦合电能传输(ICPT)系统的工作状态随负载变化而偏离最佳工作点的问题,在ICPT系统中引入H桥变流器取代传统补偿电容,通过改变其触发角实现补偿容量动态调节和最佳工作点跟踪。根据电路互感理论建立ICPT系统最佳工作点下的补偿容量-负载匹配数学模型,并以最大功率点为优化目标,给出了基于H桥变流器动态补偿的ICPT拓扑及阻抗匹配控制方法。Matlab仿真结果表明,H桥变流器触发角α的取值范围为α<40°。实验结果表明,基于H桥变流器动态补偿的ICPT拓扑具有良好的动态补偿特性,能够在负载变化时自动跟踪系统最佳工作点。
关键词:感应耦合电能传输; H桥变流器; 动态补偿; 最佳工作点; 最大功率点
感应耦合电能传输(Inductive Coupled Power Transmission,ICPT)技术的基本原理是利用松耦合变压器磁场弱耦合的方式实现无线电能传输[1-3]。作为一种安全便捷的供电方式,该技术已经在煤矿、航空航天等领域得以推广应用[4-7]。为了提高ICPT系统的输出功率与传输效率,国内外研究人员在电路拓扑、系统建模、传输特性及效率优化等方面做了大量研究[8-11]。文献[12]对比分析了单谐振补偿、多谐振补偿的多种ICPT系统输出特性,对系统参数设计和器件选型具有一定指导意义。文献[13]利用电路互感理论建立了系统传输效率与输出功率的数学模型,分析了最大输出功率和最优传输效率条件下的系统阻抗匹配特性,但在应用中难以实现负载参数的普遍适用性。文献[14]采用电容阵列构成自动阻抗匹配,以提高ICPT系统输出功率,但所需器件多且控制过程复杂。文献[15-17]采用LCL谐振型发射端拓扑降低了开关管应力及电流谐波,该拓扑具有发射线圈恒流、抑制频率漂移等优点。
上述研究中针对输出功率和传输效率的优化大多是基于固定参数的负载展开的,然而在实际应用中,接收端负载的变化会影响ICPT系统输出功率的变化。文献[18]针对变化负载设计了一种频率可调的相控电感电路,对系统输入阻抗进行动态调节,以实现最大功率传输。文献[19]提出了一种基于多谐振器的自适应频率调节方法,该方法实现了频率跟踪和系统最大效率传输。但以上2种方法都需要对系统频率进行调节,牺牲了系统鲁棒性。
针对负载可变系统的传输特性优化问题,本文设计了一种基于H桥变流器动态补偿的ICPT拓扑,以实现最佳工作点自动跟踪。首先,根据电路互感理论建立了ICPT系统输出功率、传输效率与负载、补偿电容之间的数学模型,得出最佳工作点下的补偿容量-负载匹配条件;其次,分析了利用H桥变流器实现补偿容量动态调节的原理,建立了反映其等效容抗与触发角关系的数学模型;最后,设计了H桥变流器动态电容补偿的阻抗匹配方法,通过调节其触发角实现ICPT系统的完全补偿,使系统能够在负载变化时自动跟踪最大功率点。
为了减小ICPT系统阻抗和无功功率容量,通常采用电容对发射端和接收端电感线圈进行补偿,其补偿拓扑及容量将密切影响ICPT系统工作状态。当ICPT系统达到最大输出功率时对应的补偿状态称为最大功率点。
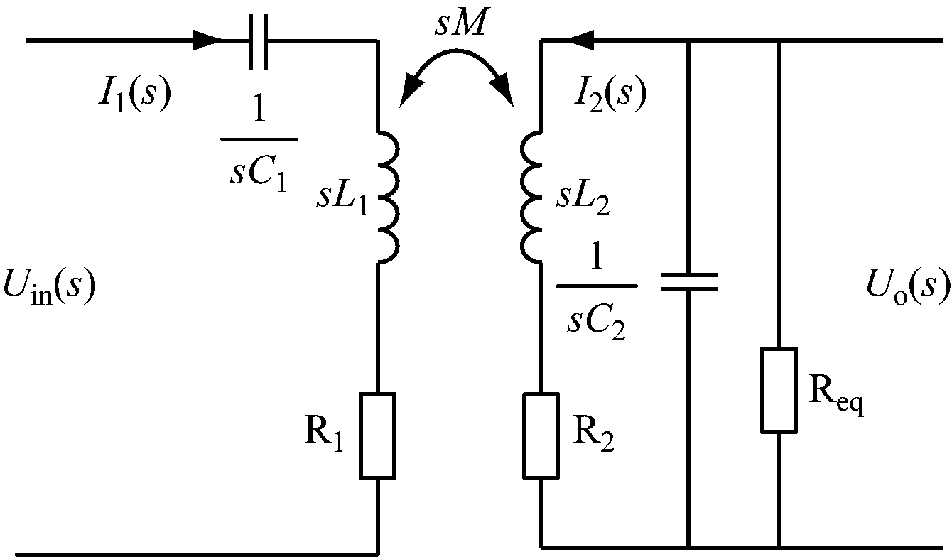
根据电容补偿方式(串联S和并联P)的不同,ICPT系统可分为SS,SP,PS,PP等4种拓扑结构。以SP型拓扑为例分析ICPT系统最佳工作点,其结构如图1所示。其中,Uin(s)为系统输入电压,Uo(s)为系统输出电压,L1和L2分别为发射线圈和接收线圈电感,M为线圈之间的互感,R1和R2分别为发射线圈和接收线圈等效损耗电阻,C1和C2分别为发射线圈和接收线圈补偿电容,Req为负载电阻。

图1 ICPT系统SP型拓扑结构
Fig.1 SP type topology structure of ICPT system
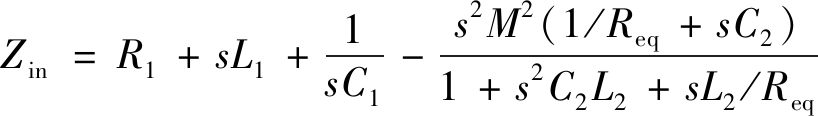
设一次侧电流为I1(s),二次侧电流为I2(s),则回路电流方程为

(1)
系统输入阻抗为
(2)
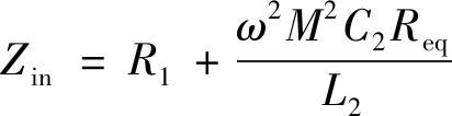
固定发射端补偿电容C1,使ω2=1/L1C1成立,ω为谐振频率。调节接收端补偿电容C2,使系统输入阻抗Zin为纯阻性,Zin计算公式为
(3)
进一步计算得到系统输入功率Pin、输出功率Pout和传输效率为η分别为

(4)
由式(4)可知,当其他参数确定时,系统输出功率Pout是关于C2和Req的函数。因此,对于取值范围内的任一Req,必定对应着唯一的C2使系统工作于最大功率点。
当负载改变时,通过调节C2使ICPT系统完全补偿,从而工作于最大功率点,即系统输入阻抗为纯阻性,令
lm[Zin]=0
(5)
可得
(6)
由式(6)可知,补偿电容C2为Req的函数,要使式(6)有解,需满足Δ≥0,解得
(7)
由式(4)可知,系统传输效率η是关于C2和Req的函数,当系统处于最大功率点时,将式(6)代入式(4)并化简可得
(8)

(9)
由式(8)可知,当系统处于最大功率点时,其传输效率不受Req的影响,而只与系统参数有关。
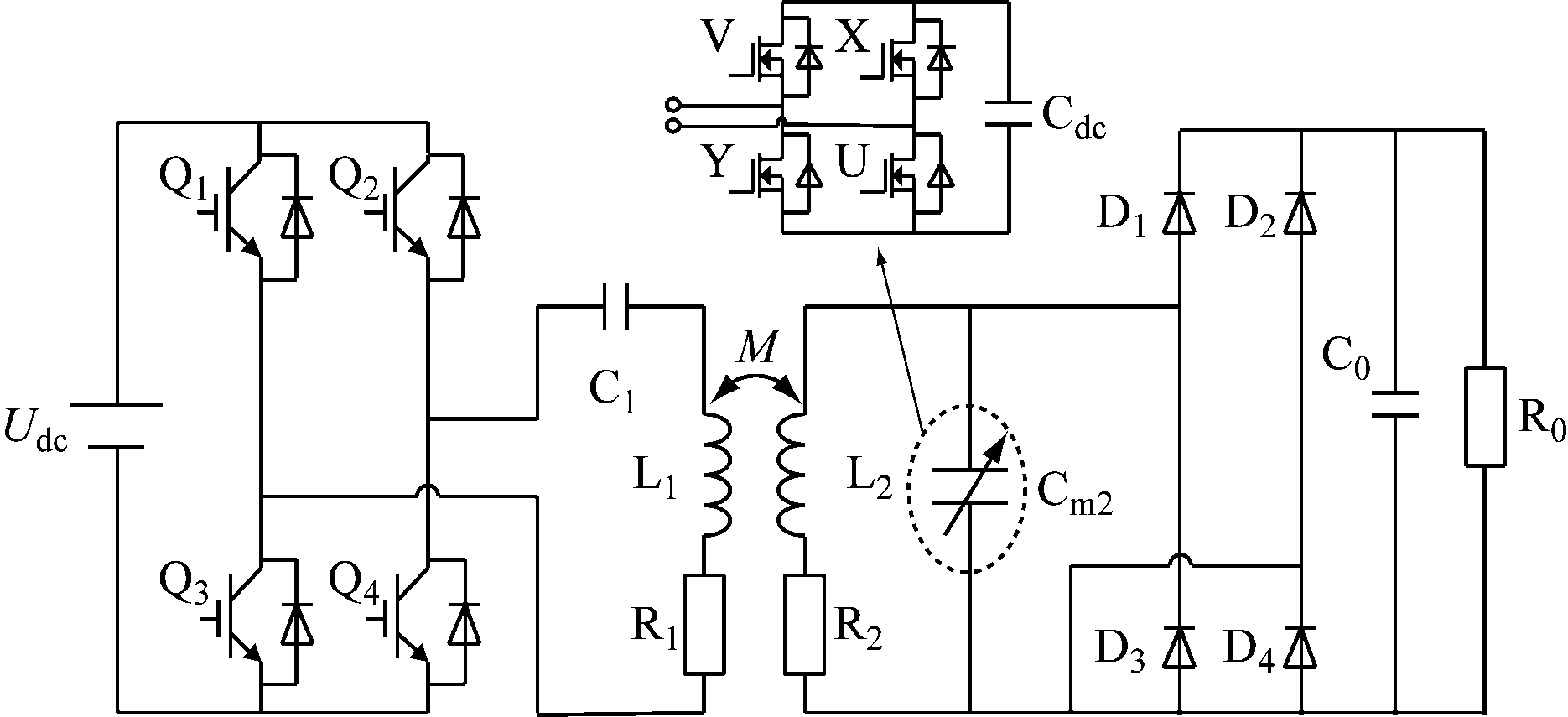
针对ICPT系统输出功率随负载变化而变化的问题,在ICPT补偿电路中引入H桥变流器对系统进行动态补偿,当负载变化时,通过调节H桥变流器的补偿容量使系统完全补偿,从而使ICPT系统工作于最大功率点。
基于H桥变流器动态补偿的ICPT拓扑如图2所示。其中,开关管Q1—Q4构成单相全桥逆变器,Udc为逆变器的直流输入电压,D1—D4为二极管整流桥,C0为输出滤波电容,R0为可变负载,Cm2为H桥变流器。当负载改变时,通过动态调节Cm2的值使ICPT系统工作在最佳工作点。

图2 基于H桥变流器动态补偿的ICPT拓扑
Fig.2 ICPT topology based on dynamic compensation of H-bridge converter
H桥变流器由1个直流电容Cdc和4个含反并联二极管的MOSFET (V,X,Y,U)组成,其工作模式见表1。
表1 H桥变流器工作模式
Table 1 H-bridge converter operating mode

将H桥变流器等效为一个可控动态电容。以电源电压相位为参考,采用同步相移控制,通过改变触发角α(即控制开关导通时刻)调节直流电容两端电压,实现电容的动态可调。α=0,30,45°时H桥变流器电压、电流波形如图3所示。

(a) 电压波形

(b) 电流波形
图3 H桥变流器电压、电流波形
Fig.3 Voltage and current waveforms of H-bridge converter
基波电流为
(10)
式中:I1为基波电流有效值;θ为相位角。
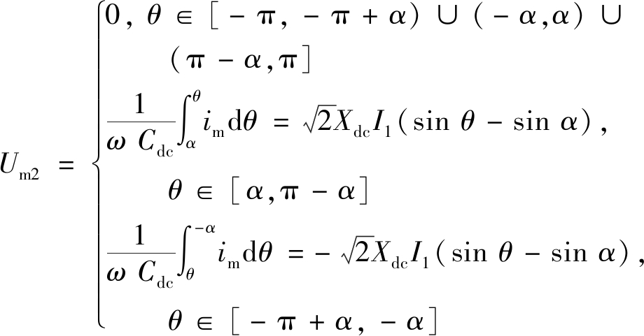
由图3与式(10)可得Cm2的电压为

(11)
式中Xdc为Cdc的容抗。
对式(11)进行傅里叶变换并取近似值可得桥式静态开关的基波电压有效值:
Um2(1)=![]()
(12)
Cm2等效容抗为
(13)
由式(13)可知,H桥变流器具有一定的电容调节能力,与固定电容相比,H桥变流器能够通过控制投切开关改变电容两端的充放电状态,从而在一个周期内获得与固定电容相等的电容值。通过调节触发角α可实现Xm2的动态变化。
根据ICPT系统的功效特点可知,当系统频率和线圈耦合状况固定时,ICPT系统的等效阻抗Req与H桥变流器的匹配状况是影响输出功率的重要因素。因此,通过调节触发角α动态调节H桥变流器成为问题的关键。H桥变流器的控制原理如图4所示,其中Req=8R0/π2。

图4 H桥变流器控制原理
Fig.4 Control principle of H-bridge converter
负载与功率跟踪控制步骤如下:
(1) 选取初始负载Rref,根据发射线圈电感L1、接收线圈电感L2和补偿电容C1、初始值Cm2(0)计算理论谐振频率ω0,将逆变器输出频率调节为ω0。
(2) 固定系统频率,将负载变为Req,由式(6)可知,Cm2为Req的函数,即
Cm2=f(Req)
(14)
负载改变时,Cm2的变化量ΔCm2为
ΔCm2=f(Req-Rref)
(15)
(3) 根据ΔCm2将H桥变流器的触发角α调节为α(1),使电容值变为
Cm2(1)=ΔCm2+Cm2(0)
(16)
(4) 计算最大输出功率Pmax。
(5) 经过一定时间后,负载改变,耦合关系发生变化,在保持谐振频率不变的同时,系统开始新的搜索过程。
H桥变流器作为ICPT系统的动态无功补偿器件,其无功补偿主要受电流谐波和电容耐压条件的限制。由图3可知,随着触发角α增大,电流波形畸变越来越严重,因此,需要分析触发角α对电流畸变率的影响。设H桥变流器两端电压分别为380,50 V,仿真得到其电流谐波含量随触发角α变化情况,如图5所示。由图5可知,随着触发角α增大,电流波形畸变程度增大,且端电压越大,谐波含量也越大。而对于ICPT系统,因为文中选取的H桥变流器两端的电压较小,所以谐波含量较小,可忽略不计。端电压为380 V时电容峰值电压随触发角α的变化情况如图6所示。由图6可知,电容峰值电压按指数函数规律陡增,触发角大于40°后,其值升至3倍以上。综合以上分析,选取ICPT系统动态电容补偿的H桥变流器触发角α<40°。

图5 H桥变流器电流谐波
Fig.5 Current harmonic of H-bridge converter

图6 H桥变流器电容峰值电压
Fig.6 Peak voltage of H-bridge converter capacitance
为了验证动态补偿ICPT系统设计方法的可行性,搭建SP型两线圈结构ICPT实验系统,如图7所示。2个线圈均采用0.8 mm漆包线绕制10圈,半径为8 cm。设定系统频率为100 kHz,负载初始值为25 Ω。用TH2817CX数字电桥测得两线圈的电感和内阻,并计算串联谐振补偿电容C1和并联谐振初始值Cm2(0),详细参数见表2。实验中,发射线圈与接收线圈相距30 cm,测得互感M=20 μH。

图7 SP型两线圈结构ICPT实验系统
Fig.7 SP type two coil structure ICPT experimental system
初始状态时,ICPT系统工作在最大功率点,发射端电压与电流同相位,波形如图8所示,电压最大值为21 V,电流最大值为0.147 A,功率为3.3 W。经过两线圈的能量传递及电容的补偿后,接收端负载的电压为8.3 V,电流为0.33 A,功率为2.81 W,传输效率为85%。
表2 ICPT实验系统主要参数
Table 2 Main parameters of ICPT experimental system


图8 发射端电压和电流实验波形
Fig.8 Experimental waveforms of voltage and current at transmitting terminal
根据选定参数搭建实验平台,由理论分析可知,当输入阻抗为纯阻性时,Req≥14 Ω。为验证H桥变流器ICPT拓扑完全补偿时最大功率点对负载电阻的跟随作用,固定系统频率,将负载电阻由14 Ω逐步增加至30 Ω。采集的实验数据见表3。
表3 ICPT系统完全补偿实验数据
Table 3 Experimental data of ICPT system fully compensates

由表3可知,以初始电阻25 Ω、触发角0为基准值,当负载改变时,Cm2跟随其改变,通过调节触发角α可使ICPT系统工作在最大功率点。当负载电阻为14~25 Ω时,触发角α均在40°以下,满足系统谐波含量低、直流电容峰值小的条件。而当负载电阻大于25 Ω时,触发角α不能再进行调节,不能使系统工作于最大功率点。针对该情况,需要调节H桥变流器的直流电容大小,重新定义新的基准值以实现系统动态补偿。
为了证明动态电容补偿的优越性,设置Cm2为负载电阻20 Ω时对应的补偿电容值,电路的其他参数固定不变。当负载改变时,传统固定补偿的电容始终不变,而动态补偿的电容跟随电阻的改变而改变。固定补偿与动态补偿的ICPT系统输出功率对比如图9所示。

图9 固定补偿与动态补偿的ICPT系统输出功率对比
Fig.9 Comparison of output power of fixed and dynamic compensated ICPT systems
由图9可知,在传统固定电容补偿的ICPT系统中,随着负载增大,输出功率先增后减小,仅存在一个最大功率点。而在基于H桥变流器动态补偿的ICPT系统中,当负载增大时,通过动态调节补偿电容可使系统始终处于最大功率点。
针对传统固定容量补偿的ICPT系统存在输出功率随负载变化而变化、难以达到最大功率点的问题,提出了基于H桥变流器动态补偿的ICPT拓扑。当负载参数变化时,通过调节H桥变流器的触发角α实现ICPT系统的完全电容补偿,使ICPT系统工作在最大功率点。通过仿真得到H桥变流器触发角α的取值范围为α<40°。通过实验验证了H桥变流器具有良好的动态补偿特性,基于H桥变流器动态补偿的ICPT拓扑能够动态跟踪系统最佳工作点。
参考文献(References):
[1] KAZMIERKOWSKI M P, MISKIEWICZ R M, MORADEWICZ A J. Inductive coupled contactless energy transfer systems - a review[C]//2015 Selected Problems of Electrical Engineering and Electronics,2015.
[
Wireless energy transfer can potentially recharge laptops, cell phones without cords[R]. San Francisco: Massachusetts Institute of Technology,2006.
[3] YU Chunlai, LU Rengui, CUI Shumei, et al. Research on resonance based wireless energytransfer device for small mobile equipments[C]// International Conference on Electrical Machines and Systems,2011.
[4] MASCARENAS D L, FLYNN E B, TODD M D,et al. Experimental studies of using wireless energy transmission for powering embedded sensor nodes[J].Journal of Sound and Vibration, 2010,329(12):2421-2433.
[5] VILLA J L, SALL
N J, LLOMBART A,et al. Design of a high frequency inductively coupled power transfer system for electric vehicle battery charge[J].Applied Energy, 2009,86(3):355-363.
[6] CORREIA L H A, MACEDO D F, SANTOS A L, et al. Transmission power control techniques for wireless sensor networks[J].Computer Networks,2007,51(17):4765-4779.
[7] HIRAI J, KIM T W, KAWAMURA A. Integral motor with driver and wireless transmission of power and information for autonomous subspindle drive[J].IEEE Transactions on Power Electronics, 2000,15(1):13-20.
[8] 王友情,张海燕,齐亮.磁耦合谐振式无线电能传输的关键技术研究[J].上海电气技术,2019,12(1):1-6.
WANG Youqing,ZHANG Haiyan,QI Liang.Research on key technologies of magnetic coupling resonant wireless power transmission[J].Journal of Shanghai Electric Technology,2019,12(1):1-6.
[9] 赵强,崔畅.无线电能传输最大效率跟踪控制策略研究[J].控制工程,2019,26(2):202-207.
ZHAO Qiang,CUI Chang.Research on tracking control strategy of maximum efficiency for wireless power transmission system[J].Control Engineering of China,2019,26(2):202-207.
[10] 王国东,乔振朋,王赛丽,等.磁耦合谐振式无线电能传输拓扑结构研究[J].工矿自动化,2015,41(5):58-63.
WANG Guodong,QIAO Zhenpeng,WANG Saili,et al.Research on topology of magnetically-coupled resonant wireless power transmission[J].Industry and Mine Automation,2015,41(5):58-63.
[11] 冯柳,赫佳峦.磁耦合谐振式无线电能传输系统四线圈结构研究[J].工矿自动化,2019,45(5):73-78.
FENG Liu,HE Jialuan.Research on four-coil structure of magnetically coupled resonant wireless power transmission system[J].Industry and Mine Automation,2019,45(5):73-78.
[12] 李砚玲.基于μ综合的ICPT系统鲁棒控制研究[D].重庆:重庆大学,2012.
LI Yanling.Study on robust control for ICPT system based on μ-synthesis[D].Chongqing: Chongqing University,2012.
[13] SHINOHARA N.Wireless power transmission progress for electric vehicle in Japan [ C ]//IEEE Radio and Wireless Symposium,2013.
[14] 杨民生,刘亮,曾进辉,等.基于模糊逻辑的感应耦合电能传输系统输出电压控制[C]//The 3rd International Conference on Power Electronics and Intelligent Transportation System,2010.
YANG Minsheng, LIU Liang, ZENG Jinhui, et al. Output voltage control of inductively coupled power transmission system based on fuzzy logic[C]//The 3rd International Conference on Power Electronics and Intelligent Transportation System, 2010.
[15] 周豪,姚钢,赵子玉,等.基于LCL谐振型感应耦合电能传输系统[J].中国电机工程学报,2013,33(33):9-16.
ZHOU Hao,YAO Gang,ZHAO Ziyu,et al.LCL resonant inductively coupled power transfer systems[J].Proceedings of the Chinese Society for Electrical Engineering,2013,33(33):9-16.
[16] 苏玉刚,谢诗云,呼爱国,等.LCL复合谐振型电场耦合式无线电能传输系统传输特性分析[J].电工技术学报,2015,30(19):55-60.
SU Yugang,XIE Shiyun,HU Aiguo,et al.Transmission property analysis of electric-field coupled wireless power transfer system with LCL resonant network[J].Transactions of China Electrotechnical Society,2015,30(19):55-60.
[17] 刘帼巾,白佳航,崔玉龙,等.基于双LCL变补偿参数的磁耦合谐振式无线充电系统研究[J].电工技术学报,2019,34(8):1569-1579.
LIU Guojin,BAI Jiahang,CUI Yulong,et al.Double-sided LCL compensation alteration based on MCR-WPT charging system[J].Transactions of China Electrotechnical Society,2019,34(8):1569-1579.
[18] 强浩,黄学良,谭林林,等.基于动态调谐实现感应耦合无线电能传输系统的最大功率传输[J].中国科学:技术科学,2012,42(7):830-837.
QIANG Hao, HUANG Xueliang, TAN Linlin,et al.Maximum power transfer of inductively coupled wireless power transfer system based on dynamic tuning[J].Scientia Sinica(Technologica),2012,42(7):830-837.
[19] 李森涛,樊绍胜,李富林,等.磁耦合谐振式电能传输系统的功率输出特性分析及其最大功率点追踪[J].现代电子技术,2015,38(12):143-145.
LI Sentao,FAN Shaosheng,LI Fulin,et al.Analysis of output property and MPPT of magnetically-coupled resonant mode power transfer system[J].Modern Electronics Technique,2015,38(12):143-145.
WANG Qiting, WEI Yewen, ZHOU Jianfei, LI Yingzhi
(College of Electrical and New Energy, China Three Gorges University, Yichang 443002, China)
Abstract:In view of problem that working state of traditional inductive coupled power transmission (ICPT) system deviates from optimal operating point as the load changes, H-bridge converter is introduced to replace traditional compensation capacitor in ICPT system, and dynamic adjustment of compensation capacity and tracking of optimal operating points are achieved by changing its trigger angle. Compensation capacity-load matching mathematical model under optimal operating point of ICPT system is established according to circuit mutual inductance theory. The maximum power point is used as the optimization target, and ICPT topology and impedance matching control method based on dynamic compensation of H-bridge converter are given. Matlab simulation results show that the range of trigger angleαof H-bridge converter isα<40°; experimental results show that the ICPT topology based on dynamic compensation of H-bridge converter has good dynamic compensation characteristics, which can automatically track the optimal operating point of ICPT system as the load changes.
Key words:inductive coupled power transmission; H-bridge converter; dynamic compensation; optimal operating point; maximum power point
文章编号:1671-251X(2019)12-0054-06
DOI:10.13272/j.issn.1671-251x.2019050003
收稿日期:2019-05-03;修回日期:2019-11-23;责任编辑:胡娴。
基金项目:国家级大学生创新创业训练计划项目(201711075009);湖北教育厅优秀中青年科技创新团队计划项目(T201504)。
作者简介:王琦婷(1994-),女,山西临汾人,硕士研究生,研究方向为无线电能传输,E-mail:wangqiting000@126.com。
引用格式:王琦婷,魏业文,周健飞,等.感应耦合电能传输系统最佳工作点跟踪研究[J].工矿自动化,2019,45(12):54-59.
WANG Qiting,WEI Yewen,ZHOU Jianfei,et al.Research on optimal operating point tracking of inductive coupled power transmission system[J].Industry and Mine Automation,2019,45(12):54-59.
中图分类号:TD60
文献标志码:A