郜彤1, 张瑞新1,2, 郜赛超1, 何谦1, 刘贇1
(1.中国矿业大学(北京) 能源与矿业学院, 北京 100083; 2.华北科技学院, 河北 廊坊 065201)
摘要:针对我国煤矿安全风险评价基础薄弱、手段单一、客观性不强等问题,结合云模型理论和基于层次分析法主观赋权、灰关联分析客观赋权的组合赋权方法,构建了一种煤矿安全风险评价模型。建立了包含人员、设备、环境、管理和历史5个一级评价指标,29个二级评价指标的煤矿安全风险评价指标体系;确立了煤矿安全风险评价指标的云模型标尺;采用安全风险评价云模型计算煤矿安全风险评价指标体系中指标层、准则层、目标层的数字特征,得到煤矿安全风险评价云。将该模型应用于红庆梁煤矿安全风险评价,结果表明:该煤矿现阶段安全风险等级为中等风险,影响安全生产的主要因素为作业人员违章操作率、煤层顶底板稳定性等。该模型为煤矿安全管理及风险防控工作提供了一定参考。
关键词:煤矿安全管理; 煤矿安全风险评价; 风险评价指标; 评价指标体系; 云模型; 组合赋权
我国煤矿安全风险评价的研究工作起步于20世纪80年代,经历了学习方法、规范市场和指导推广3个阶段[1-2],主要围绕指标体系构建、评价方法选用及模型改进、评价系统设计等展开,存在评价基础薄弱、手段单一、客观性不强等问题,且大多照搬国外先进的风险评价方法,忽视了我国煤矿生产的特殊性及风险评价中的模糊性和不确定性,评价结果不能有效指导煤矿企业安全生产[3-4]。
风险评价问题实质上为多属性决策问题,相关研究方法包括层次分析法、模糊综合评价法等[5]。这些方法在评价过程中大多采用定性推理近似指定隶属函数的内容,易受人为因素的影响。另外,隶属函数利用精准曲线对模糊现象进行处理,实质上将模糊问题精确化,违背了模糊学的基本精神,难以完整体现评价过程的不确定性。云模型是以概率理论和模糊理论为基础,在正态分布和钟型隶属函数基础上发展而来的全新模型,具有比模糊隶属函数更强的普适性和描述不确定性问题的能力[6-7],对解决煤矿安全风险评价问题有独特的优势。本文基于云模型和组合赋权法构建了煤矿安全风险评价模型,并将该评价模型应用于鄂尔多斯市昊华红庆梁矿业有限公司(以下简称红庆梁煤矿)安全风险评价,取得了一定成效。
云模型是由Li Deyi等[8]提出的处理定性概念与定量描述的不确定性转换模型,重点研究评价对象的模糊性、随机性及两者之间的关联性问题。云模型中的云是用语言值表示的某个定性概念与定量描述之间的双向认知模型,用以反映自然语言中概念的不确定性[9]。
设U为用精确数值表示的定量论域,C为U上的一个定性概念。若定量值X∈U,且X为定性概念C的一次随机实现,则X对C的确定度μ(X)∈[0,1]是有稳定倾向的随机数,即μ:U→[0,1],存在X∈U,X→μ(X),则X在论域U上的分布称为云,每一个X称为一个云滴[10]。
云模型的整体特性可以用云的数字特征来反映,具体包含期望Ex、熵En和超熵He。Ex是云滴在论域空间分布中的数学期望,反映云的重心位置;En一方面反映云滴的离散程度,另一方面决定了论域中可被定性概念接受的云滴的确定度,由定性概念的随机性和模糊性共同决定;He是熵的熵,是熵的不确定性度量,对云滴的厚度和分散程度有直接影响[11-12]。某一样本点Xz(z=1,2,…,r,r为样本数)的云数字特征计算过程如下[13]。
(1)
(2)
(3)
式中S2为样本方差。
云发生器是云模型中负责实现定性概念与定量数据之间相互转换的算法,是云模型中最重要、最关键的内容。其包括正向云发生器和逆向云发生器。正向云发生器实现定性到定量的转换,是从内涵到外延的转换;逆向云发生器与之相反[10]。云发生器如图1所示。
(a) 正向云发生器
(b) 逆向云发生器
图1 云发生器
Fig.1 Cloud generator
评价指标权重的确立方法大致可分为主观赋权和客观赋权2种。主观赋权通常由领域内的专家依据相关经验对指标重要性进行赋权,主观性较强,但在一定程度上可以反映实际情况;客观赋权是以客观信息为依据,由数据特征赋权,避免了人为主观影响,但权重结果无法反映指标间的相关性,甚至存在所得权重与指标本身重要程度相背离的情况。煤矿安全风险评价指标权重的确立需充分结合主观经验和客观信息的内在规律,因此采用主客观组合赋权方法,组合权重为
λi=u λsi+(1-u)λti
(4)
式中:i=1,2,…,n,n为指标数;u为常数,一般取0.5;λsi为主观权重;λti为客观权重。
主观权重采用层次分析法确定,具体步骤参考文献[14],本文不再赘述。
客观权重采用灰关联分析确定,运算步骤如下[15-16]。
(1) 确定参考序列。选择最重要的指标作为参考序列,即选择各指标中最大的指标数据组成参考序列,记为X0(k),其中k=1,2,…,n。
(2) 确定比较序列。除参考序列外,将其他指标组成比较序列,记为Xi(k),其中i=1,2,…,n-1。
(3) 对参考序列和比较序列进行无量纲化处理。采用MIN-MAX标准化公式(式(5))将指标数据x转换为纯量x′。
(5)
式中xmin,xmax分别为序列中指标数据最小、最大值。
(4) 计算比较序列中所有指标数据对于参考序列所有指标数据的关联系数:
N(k)=
(6)
式中Φ为分辨系数,一般取0.5。
(5) 计算比较序列对于参考序列的关联度:
(7)
(6) 计算权重:

(8)
煤矿安全风险评价指标体系的构建既要有普适性,也要有特殊性,选取的指标既要充分反映煤矿安全生产内容,也要有层次结构,互不交叉[17]。根据以上原则,在深入分析煤矿安全风险主要影响因素的基础上,充分结合煤矿安全风险评价指标体系现状,构建了包含人员、设备、环境、管理和历史5个一级评价指标,29个二级评价指标的煤矿安全风险评价指标体系,如图2所示。其中A为煤矿安全风险综合评价,A={B1,B2,B3,B4,B5}={人员,设备,环境,管理,历史};B1={D11,D12,D13,D14,D15}={职工身体素质,职工文化素质,作业人员平均工作年限,作业人员培训率,作业人员违章操作率};B2={D21,D22,D23,D24,D25}={设备机械化水平率,设备可靠性,设备维修保养率,设备更新改造率,安全防护装置配备率};B3={D31,D32,D33,D34,D35,D36,D37,D38,D39,D310,D311,D312,D313}={地质构造复杂程度,煤层倾角,煤层开采深度,煤层顶底板稳定性,瓦斯涌出特性,煤层冲击倾向性,煤层自燃倾向性,煤尘爆炸倾向性,温度,风速,有害气体,瓦斯浓度,粉尘浓度};B4={D41,D42,D43,D44}={安全管理制度完善率,安全检查落实率,隐患整改合格率,安全管理及工程人员配置率};B5={D51,D52}={吨煤安全投入指数,作业人员违规指数}。

图2 煤矿安全风险评价指标体系
Fig.2 Coal mine safety risk assessment index system
煤矿安全风险通常分为低风险、一般风险、中等风险、重大风险和特大风险5个等级。利用Li Deyi等[8]对五层正态云的定义,基于黄金分割法将[0,1]论域划分为5个评价等级,生成煤矿安全风险评价指标的云模型标尺,分别为低风险(1,0.103 1,0.013 0),一般风险(0.691,0.064,0.008),中等风险(0.500,0.039,0.005),重大风险(0.309,0.064,0.008),特大风险(0,0.103 1,0.013 0)。通过该云模型标尺,可将定性概念转换为定量数据。对于每一个云图,满足3En原则[5],即最终打分在3En范围内均属于该等级。
根据式(1)—式(3)计算指标层对应的数字特征
(i=1,2,…,29,对应29个二级评价指标),则准则层对应的数字特征为

(9)

(10)

(11)
式中:
为指标层各指标对应的组合权重;j=1,2,…,5,对应5个一级评价指标。
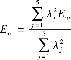
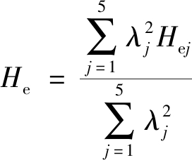
目标层对应的数字特征为

(12)

(13)

(14)
式中λj为准则层各指标对应的组合权重。
采用正向高斯云算法[5](式(15))对目标层数字特征进行Matlab云图绘制,得到煤矿安全风险评价云。
(15)
通过调研得到红庆梁煤矿2018年安全风险评价指标数据,经专家打分,利用层次分析法得到准则层及指标层各指标对应的主观权重,通过灰关联分析得到准则层及指标层各指标对应的客观权重,并利用式(4)得到各指标组合权重,结果见表1、表2。
表1 准则层各指标权重
Table 1 Each index weight in criterion layer

从表1、表2可得准则层组合权重(0.140,0.189,0.468,0.137,0.066),指标层组合权重(0.036,0.025,…,0.041)。
采用逆向云发生器对该矿2018年安全风险评价指标数据进行分析,得到云模型的3个数字特征。采用式(5)对各指标数据进行无量纲化处理,并根据纯量数据,利用式(1)—式(3)计算指标层29个评价指标对应的云数字特征,利用式(9)—式(11)计算准则层对应的云数字特征,结果见表3。利用式(12)—式(14)得到的目标层云数字特征为(0.536,0.369,0.149)。
依据目标层的云数字特征和云模型标尺,利用式(15)及Matlab软件生成该矿安全风险综合评价云及云模型标尺,如图3所示。红色为标尺云,黑色为综合评价云。可看出云滴集中分布在评价值Ex=0.4~0.7,且密集分布在Ex=0.536周围,说明该矿安全风险等级处于一般风险与中等风险之间,且更偏向于中等风险。
表2 指标层各指标权重
Table 2 Each index weight in index layer

根据准则层云数字特征,得人员、设备、环境、管理及历史因素的评价值为0.5~0.6,表明上述指标的安全风险等级处于一般风险与中等风险之间,偏向于中等风险,且人员和环境指标的风险较其他指标高。
将指标层中各指标的期望从小到大排序,根据云模型标尺中评价值越小则风险值越高的规定,得出设备更新改造率D24、作业人员违章操作率D15、煤层顶底板稳定性D34、地质构造复杂程度D31等指标风险值偏高。设备更新改造率D24评价值Ex=0,存在异常,分析后发现,由于在评价指标原始数据中设备更新改造率持续为0,即该矿未进行相应的设备改造,导致云数字特征计算得到的评价值为0,并非其真实风险状态,予以删除。作业人员违章操作率D15风险值位于重大风险与特大风险之间,且更偏向于重大风险。煤层顶底板稳定性D34风险值位于中等风险与重大风险之间,且更偏向于重大风险。这两项指标的风险程度较高,对人员和环境因素的评价产生了负面影响,严重影响了红庆梁煤矿整体安全水平。另外设备因素中的设备可靠性指标,管理因素中的安全检查落实率、安全管理制度完善率指标,环境因素中的地质构造复杂程度、煤层倾角、煤层开采深度指标的风险值均偏高,应予以重视。
表3 指标层与准则层云数字特征
Table 3 Cloud digital characteristics of index layer and criterion layer


图3 煤矿安全风险评价云与云模型标尺
Fig.3 Coal mine safety risk assessment cloud and cloud model scale
根据分析结果,该矿在下一生产阶段应对煤矿工作人员的违章操作情况进行重点督查,对煤层顶底板进行必要的支护处理,减小开采压力对巷道中设备及人员的伤害,还要对设备进行定期的可靠性抽检,减小设备故障对煤矿安全生产的影响,同时也要严格保证安全管理制度的完善和安全检查计划的落实。
(1) 基于云模型和组合赋权构建了一种煤矿安全风险评价模型。云模型利用云的3个数字特征进行评价指标的定性和定量转换,解决了由模糊性和随机性产生的数据不准确问题;基于层次分析法和灰关联分析的组合赋权方法兼顾了主客观因素,充分反映了评价指标的真实权重。
(2) 基于云模型和组合赋权的煤矿安全风险评价模型既能得到目标层最终评价结果,形象地描述煤矿现阶段安全风险状态,也能深入分析每一项指标,找出影响煤矿安全生产的主要因素,对煤矿安全管理及风险防控工作提供了一定参考,为有效解决煤矿安全风险评价问题提供了新思路。
参考文献(References):
[1] 余岚.大水头煤矿瓦斯事故风险管理的研究及应用[D].西安:西安科技大学,2007.
YU Lan.Study and application of risk management on gas accident in Coalmine Dashuitou[D].Xi'an:Xi'an University of Science and Technology,2007.
[2] 隋国民.我国煤矿安全评价现状分析[J].煤炭工程,2012,44(2):112-114.
SUI Guomin.Present situation analysis of coal mine safety risk assessment[J].Coal Engineering,2012,44(2):112-114.
[3] 乔国厚.煤矿安全风险综合评价与预警管理模式研究[D].武汉:中国地质大学,2013.
QIAO Guohou.A study on the coal mine safey comprehensive evaluation and risk warning management mode[D].Wuhan:China University of Geosciences,2013.
[4] 孙旭东.基于模糊信息的煤矿安全风险评价研究[D].北京:中国矿业大学(北京),2013.
SUN Xudong.Research on risk assessment of coal mine safety based on fuzzy information[D].Beijing:China University of Mining & Technology(Beijing),2013.
[5] 董春游,孟婧.基于云模型和D-S理论的煤矿安全管理评价方法[J].黑龙江科技学院学报,2013,23(5):496-501.
DONG Chunyou,MENG Jing.Coal mine safety management evaluation based on cloud model and D-S theory[J].Journal of Heilongjiang Institute of Science and Technology,2013,23(5):496-501.
[6] 杨得国,梁爽.基于云模型的煤矿矿井瓦斯风险综合评价研究[J].华中师范大学学报(自然科学版),2016,50(4):544-550.
YANG Deguo,LIANG Shuang.Study on comprehensive evaluation of coal mine gas risk based on cloud model [J].Journal of Central China Normal University(Natural Science Edition),2016,50(4):544-550.
[7] 王景春,张法.基于熵权二维云模型的深基坑施工风险评价[J].安全与环境学报,2018,18(3):849-853.
WANG Jingchun,ZHANG Fa.Risk assessment of the deep foundation pit based on the entropy weight and 2-dimensional cloud model[J].Journal of Safety and Environment,2018,18(3):849-853.
[8] LI Deyi,HAN Jiawei,SHI Xuemei,et al.Knowledge representation and discovery based on linguistic atoms[J].Knowledge-Based Systems,1998(10):431-440.
[9] 叶琼,李绍稳,张友华,等.云模型及应用综述[J].计算机工程与设计,2011,32(12):4198-4201.
YE Qiong,LI Shaowen,ZHANG Youhua,et al.Cloud model and application overview[J].Computer Engineering and Design,2011,32(12):4198-4201.
[10] 李德毅,杜鹢.不确定性人工智能[M].北京:国防工业出版社,2005:143-146.
LI Deyi,DU Yi.Uncertainty artificial intelligence[M].Beijing:National Defense Industry Press,2005:143-146.
[11] 魏博文,黄海鹏,徐镇凯.基于云模型和组合赋权的岩体质量二维评价模型[J].岩石力学与工程学报,2016,35(增刊1):3092-3099.
WEI Bowen,HUANG Haipeng,XU Zhenkai.Two-dimensional evaluation model of rock mass based on combination weighting and cloud model[J].Chinese Journal of Rock Mechanics and Engineering,2016,35(S1):3092-3099.
[12] 梁爽.基于云模型的煤矿矿井瓦斯风险综合评价研究[D].兰州:西北师范大学,2016.
LIANG Shuang.Research on comprehensive evaluation of gas in coal mine based on cloud model[D].Lanzhou:Northwest Normal University,2016.
[13] 李君治,唐立峰.基于云模型的煤矿企业应急管理能力评价研究[J].经济论坛,2013(8):131-135.
LI Junzhi,TANG Lifeng.Research on the evaluation of coal mine enterprise emergency management ability based on cloud model[J].Economy Forum,2013(8):131-135.
[14] 邓雪,李家铭,曾浩健,等.层次分析法权重计算方法分析及其应用研究[J].数学的实践与认识,2012,42(7):93-100.
DENG Xue,LI Jiaming,ZENG Haojian,et al.Research on computation methods of AHP weight vector and its applications[J].Mathematics in Practice and Theory,2012,42(7):93-100.
[15] 鲍学英,李海连,王起才.基于灰色关联分析和主成分分析组合权重的确定方法研究[J].数学的实践与认识,2016,46(9):129-134.
BAO Xueying,LI Hailian,WANG Qicai.The combined weight based on grey relation and principal component analysis[J].Mathematics in Practice and Theory,2016,46(9):129-134.
[16] 李秀红.基于灰色关联度的多目标决策模型与应用[J].山东大学学报(理学版),2007,42(12):33-36.
LI Xiuhong.A model based on the grey relation grade for multi-objective decision-making and its application[J].Journal of Shandong University(Natural Science),2007,42(12):33-36.
[17] 何亚辉.基于云模型和模糊层次分析法的土石坝渗流安全风险评价研究[D].重庆:重庆交通大学,2018.
HE Yahui.Study on safety risk assessment of earth rock dam seepage based on cloud model and fuzzy analytic hierarchy process[D].Chongqing:Chongqing Jiaotong University,2018.
GAO Tong1, ZHANG Ruixin1,2, GAO Saichao1, HE Qian1, LIU Yun1
(1.School of Energy and Mining Engineering, China University of Mining and Technology(Beijing), Beijing 100083, China; 2.North China Institute of Science and Technology, Langfang 065201, China)
Abstract:For problems of weak foundation, single means and weak objectivity of coal mine safety risk assessment in China, a coal mine safety risk assessment model was constructed based on cloud model theory and combination weighting method of subjective weighting by AHP and objective weighting by grey correlation analysis. Firstly, a coal mine safety risk assessment index system is established, which includes 5 first-level assessment indexes of personnel, equipment, environment, management and history,and 29 second-level assessment indexes. Then, cloud model scale of the coal mine safety risk assessment indexes is established. Finally, digital characteristics of index layer, criterion layer and target layer in the coal mine safety risk assessment index system are calculated by use of safety risk assessment cloud model to get coal mine safety risk assessment cloud. The model has been applied to safety risk assessment of Hongqingliang Coal Mine. The results show that safety risk level of the coal mine is medium at present, and the main factors affecting safety production are operation rate of operators against rules, stability of coal-seam roof and floor and other indexes, which provides a certain reference for safety management and risk prevention and control of coal mine.
Key words:coal mine safety management; coal mine safety risk assessment; risk assessment index; assessment index system; cloud model; combination weighting
文章编号:1671-251X(2019)12-0023-06
DOI:10.13272/j.issn.1671-251x.2019060020
收稿日期:2019-06-10;修回日期:2019-11-22;责任编辑:李明。
作者简介:郜彤(1993-),男,山西晋城人,硕士研究生,研究方向为矿山信息化、煤矿安全管理,E-mail:ccitgt@foxmail.com。
引用格式:郜彤,张瑞新,郜赛超,等.基于云模型和组合赋权的煤矿安全风险评价[J].工矿自动化,2019,45(12):23-28.
GAO Tong,ZHANG Ruixin,GAO Saichao,et al.Coal mine safety risk assessment based on cloud model and combination weighting[J].Industry and Mine Automation,2019,45(12):23-28.
中图分类号:TD76
文献标志码:A