王洪栋,郭伟东,朱美强,雷萌
(中国矿业大学 信息与控制工程学院, 江苏 徐州 221116)
摘要:针对多尺度Retinex算法在处理煤矿井下低照度图像时存在细节增强不足和耗时等问题,提出了一种基于光照校正的快速多尺度Retinex算法对煤矿井下低照度图像进行增强。该算法通过计算高斯模糊后图像的每个像素点的亮度值,将图像划分为暗调区域和高光区域,并对不同区域进行光照校正,从而降低高光区域的亮度,保证不过分曝光,同时提升较暗区域的亮度,凸显更多细节信息;利用三次快速均值滤波代替高斯滤波来估计光照强度,减少算法耗时。实验结果表明,该算法能有效提高图像的亮度和对比度,增强图像中暗调区域和高光区域的细节,具有较快的处理速度。
关键词:矿井图像; 低照度图像; 图像增强; 多尺度Retinex算法; 光照校正; 快速均值滤波
煤矿井下视频监控是了解井下人员分布和设备运行状况的有效工具,是煤矿安全高效生产的重要组成部分。然而受煤矿井下粉尘和光源等因素的影响,视频监控系统采集的图像呈低照度特点,导致图像质量降低。图像质量的好坏直接影响后续的图像分析与决策,因此研究适合煤矿井下的低照度图像增强算法具有十分重要的实际意义[1-2]。
目前,常用的低照度图像增强算法包括直方图均衡化算法和同态滤波算法等。何畏[3]采用改进的全局直方图均衡化算法,有效提高了低照度图像的对比度和清晰度。Zuo Chao等[4]提出了双直方图算法,在保持亮度的同时图像细节也有所增强。但以上算法存在增强后的图像细节信息缺失和过增强的问题。韩丽娜等[5]提出了基于HSV(Hue,Saturation,Value,色调,饱和度,明度)空间的双通道同态滤波图像增强算法,能够保持增强前后图像色彩的一致性,但没有考虑图像的空间局部信息,容易导致局部对比度增强效果不佳。
近年来,基于颜色恒常性理论的Retinex算法被广泛应用于低照度图像增强。Retinex算法只关注物体表面反射特性,不受周围光照条件的影响,因而具有更高的色彩保真度,视觉效果更符合人眼视觉感受。王星等[6]、程德强等[7]提出了基于引导滤波的单尺度Retinex(Single Scale Retinex,SSR)矿井图像增强算法,利用引导滤波进行照度估计,能有效凸显边缘信息,获得了较好的视觉效果。但SSR算法无法同时取得较好的动态范围压缩和颜色保真效果。多尺度Retinex(Multi-Scale Retinex,MSR)算法是多个SSR算法的组合,同时具有较好的动态范围压缩和颜色保真能力,但在处理不满足灰度世界假设的图像(如色彩单一的煤矿井下图像)时,容易产生灰化效应,即图像出现灰化现象,色彩丢失严重。针对MSR算法存在的问题,Z. U. Rahman等[8]提出了带颜色恢复的MSR(Multi-Scale Retinex with Color Restoration,MSRCR)算法,通过引入颜色恢复因子来解决因局部对比度增强导致的颜色失真问题; A. B. Petro等[9]提出了基于色度保持的MSR(Multi-Scale Retinex with Chromaticity Preservation,MSRCP)算法,保证了图像增强前后色度信息的一致性。但以上改进MSR算法在估计光照强度时受局部区域亮度的限制,对图像较暗和较亮区域的增强效果不佳,且由于采用多尺度,导致算法复杂度高,运算时间增加。本文提出一种基于光照校正的快速MSR算法对煤矿井下低照度图像进行增强。该算法对图像的暗调/高光区域进行光照校正,保证获得更多的暗调区域细节信息和高光区域信息不丢失;采用三次快速均值滤波代替高斯滤波对光照校正后的图像进行光照强度估计,可提高算法处理速度。
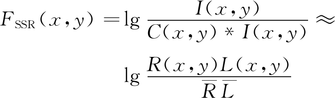
Retinex理论是由Land根据人眼视觉机制提出的一种颜色恒常视觉计算理论,认为人类视觉系统感受的不是绝对光照强度而是相对光照强度[10]。由人眼或设备接收到的图像可表示为
I(x,y)=R(x,y)L(x,y)
(1)
式中:(x,y)为像素点坐标;R(x,y)为反射分量,反映物体表面细节信息;L(x,y)为照度分量,反映环境亮度信息,可通过中心环绕函数C(x,y)与图像I(x,y)卷积得到。
Retinex算法的核心是对光照强度的估计,最常用的中心环绕函数为高斯函数:
(2)
式中:Z为归一化常数;δ为高斯函数标准差。
δ大小影响图像增强效果:当δ较小时,能够很好地实现动态范围压缩,使暗处细节信息更加丰富,但颜色易失真;当δ较大时,能保持原本的颜色信息,但细节增强不足[11]。
对式(1)两端取对数,可导出SSR算法的表达式:

(3)
式中:FSSR(x,y)为SSR算法输出结果;*为卷积运算符;
分别为反射分量和照度分量在像素点(x,y)中心邻域的加权平均值。
在一定范围内光照变化是平缓的,因此Retinex算法的输出图像与光照强度无关,只与物体表面的反射特性相关,算法不受光照条件干扰。
MSR算法是对多个尺度不同的SSR算法的输出结果进行线性加权求和,其表达式为
(4)
式中:FMSR(x,y)为MSR算法输出结果;Kn为第n(n=1,2,…,N,N为尺度总数)个尺度对应的权重,通常取N=3,K1=K2=K3=1/3。
受煤矿井下光照条件的限制,煤矿井下图像普遍存在光照强度较暗的区域,尤其离光源较远的位置。MSR算法虽能够从一定程度上提升图像的亮度和对比度,但增强得到的暗处可见细节信息较少。另外,对于图像中的高光区域,细节信息并没有得到有效凸显,导致整体增强效果不佳,因此,在进行图像增强前,有必要根据不同区域的亮度情况进行光照校正。
光照校正主要步骤:① 对原始图像进行高斯模糊(高斯模糊半径根据图像大小确定,一般取10~20,避免纹理变得过于平坦),计算模糊后图像每个像素点的亮度值。② 定义暗调/高光区域判定函数,以区分高光区域和暗调区域。③ 根据判定函数计算每个像素点的暗调/高光调整系数。④ 利用调整系数将原始图像映射到光照校正后的图像。
暗调区域判定函数d(v,w1)和高光区域判定函数h(v,w2)分别为
(5)
(6)
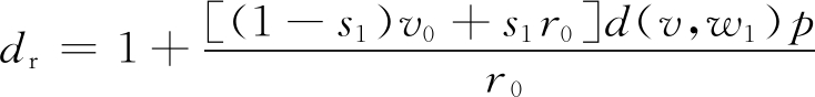
式中:v=v0+(vb-v0)l,v0,vb分别为模糊前后像素点的亮度值,l为平滑度调节参数;w1,w2分别为暗调/高光的色调宽度,色调宽度越大,涉及的亮度范围越广。
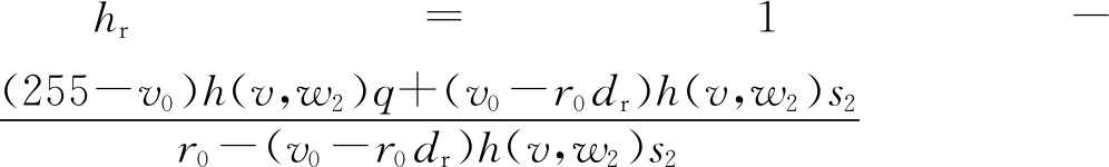
当d(v,w1)>0时为暗调区域,h(v,w2)>0时为高光区域。判定完每个像素点所属的区域类别后,计算每个像素点的暗调/高光调整系数(以RGB通道中的R通道为例):
(7)

(8)
式中:dr,hr分别为原始图像R通道的像素点对应的暗调/高光调整系数;s1,s2分别为暗调/高光区域饱和度调节参数;r0为原始图像R通道的灰度值;p,q分别为暗调/高光强度调节系数。
将原始图像每个颜色通道的灰度值与暗调/高光调整系数相乘,即可得到光照校正后的图像。
实现光照强度估计最常用的核心滤波算法为高斯滤波。MSR算法通常需要3个尺度的高斯滤波,但随着尺度的增大,算法耗时成倍增加。本文采用三次快速均值滤波代替高斯滤波,不仅能提高算法的处理速度,而且能够保证光照强度估计效果与采用高斯滤波时接近。
三次快速均值滤波由2种不同宽度的快速均值滤波组成,其中较小的均值滤波宽度为
(9)
式中:g为奇数,否则执行g=g-1;floor()为向下取整函数。
则较大的均值滤波宽度g′=g+2。
用三次快速均值滤波代替高斯滤波时,需要使用m次宽度为g的快速均值滤波和3-m次宽度为g′的快速均值滤波。
(10)
式中round()为四舍五入函数。
快速均值滤波引入与图像同宽的辅助数组,利用滤波窗口滑动时相邻窗口和辅助数组之间的递归关系,减少冗余计算,达到处理速度与滤波宽度无关的效果[12]。假设图像宽、高分别为Wp,Hp,均值滤波窗口宽、高分别为Ww,Hw。对滤波窗口内所有列进行分组求和,并将其存放到辅助数组A中。当窗口向右滑动时,以像素点(i,j+1)为中心的窗口内所有像素点的灰度值之和为
Si,j+1=Si,j-Ai[j-rx]+Ai[j+rx+1]
(11)
式中:Si,j为以像素点(i,j)为中心的窗口内所有像素点的灰度值之和;Ai[j-rx],Ai[j+rx+1]分别为辅助数组A在第i行、第j-rx,j+rx+1列对应的数值,rx为窗口横向半径。
辅助数组的建立包括初始化和更新两部分。每幅图像只需要初始化1次,初始化过程需要WpHw次加法。更新阶段可利用相邻行之间的递归关系以减少加法操作。以辅助数组A在第i行、第j列对应的数值Ai[j]为例,当窗口中心由(i,j)移动到(i+1,j)时,则有
Ai+1[j]=Ai[j]-S[i-ry,j]+S(i+1+ry,j)
(12)
式中:Ai+1[j]为辅助数组A在第i+1行、第j列对应的数值;S[i-ry,j],S(i+1+ry,j)分别为像素点(i-ry,j),(i+1+ry,j)的灰度值,ry为窗口纵向半径。
更新1次数组需要2Wp次加法。快速均值滤波的计算复杂度为O(4),与窗口大小无关。
为验证本文算法的有效性,使用操作系统为Ubuntu14.04、CPU为i3-2130、内存为4 GB的计算机进行实验。选取煤矿井下低照度图像进行增强处理,通过主观评价和客观评价2种图像质量评价方法对MSRCR算法、MSRCP算法及本文算法进行对比,实验结果如图1和图2所示。
从图1(a)和图2(a)可看出,原始图像整体亮度较低,存在大量的暗调区域,人眼很难分辨该区域中细节信息,另外图2(a)中指示牌为高光区域,最前面的指示牌编号信息难以辨认。从图1(b)和图2(b)可看出,经MSRCR算法处理后的图像亮度和对比度得到了较大提升,图像的很多细节显现出来,但图1(b)存在严重的颜色失真问题,图2(b)存在一定的灰化效应,对于高光区域存在过增强问题,指示牌上的数字信息丢失严重。从图1(c)和图2(c)可看出,经MSRCP算法处理后的图像整体可视范围得到一定程度提升,但对于暗调区域增强效果有限,这些区域的细节没有凸显出来,图1(c)存在一定的颜色过饱和问题。从图1(d)和图2(d)可看出,经本文算法处理后的图像亮度和对比度有明显提升,可视范围变大,对暗调和高光区域均有较好的增强效果,这些区域的细节信息被凸显出来,而且没有产生过增强和颜色失真的问题,整体视觉效果最佳。

(a) 原始图像

(b) MSRCR算法处理后图像

(c) MSRCP算法处理后图像

(d) 本文算法处理后图像
图1 不同算法下煤矿井下图像1增强效果对比
Fig.1 Comparison of enhancement effect of coal mine underground image 1 under different algorithms

(a) 原始图像

(b) MSRCR算法处理后图像

(c) MSRCP算法处理后图像

(d) 本文算法处理后图像
图2 不同算法下煤矿井下图像2增强效果对比
Fig.2 Comparison of enhancement effect of coal mine underground image 2 under different algorithms
采用无参考质量评价(No-reference Quality Assessment of JPEG Images,NJQA)指标[13]评价图像噪声水平,其值越大,表示图像噪声越少。采用基于自回归的图像锐度评价(AR-based Image Sharpness Metric,ARISM)指标[14]评价图像锐度,其值越大,表示图像细节对比度越高。将Brenner函数、Vollath函数、方差和平均梯度的平均值作为清晰度评价指标,其值越大,表示图像清晰度越高。将以上3种评价指标的平均值作为总体评价指标。以图1和图2中图像为例,客观评价结果见表1—表3。
从表1和表2可看出,经过3种算法处理后的图像锐度和清晰度均高于原始图像,而噪声水平均高于原始图像,这是由于在图像增强过程中会产生一些噪声。本文算法在噪声抑制方面稍差,但在图像锐度、清晰度及总体评价方面均大幅领先MSRCR算法和MSRCP算法。
表1 图像1客观评价结果
Table 1 Objective evaluation results of image 1

表2 图像2客观评价结果
Table 2 Objective evaluation results of image 2

表3 不同算法运行时间对比
Table 3 Comparison of running time of different algorithms s

从表3可看出,MSRCR算法和MSRCP算法处理图像的时间过长,本文算法处理速度具有明显优势,为MSRCP算法的10倍左右。
基于光照校正的快速MSR算法通过暗调/高光区域判定函数判断图像每个像素点所属区域,并根据每个像素点的暗调/高光调整系数对图像进行光照校正,从而降低高光区域的亮度,保证不过分曝光,同时提升较暗区域的亮度,凸显更多细节信息;采用三次快速均值滤波代替高斯滤波对光照强度进行估计,有效提高算法运行效率。实验结果表明,该算法能有效提高图像的亮度和对比度,凸显暗调/高光区域的细节信息,并且具有较快的处理速度。
参考文献(References):
[1] 张谢华,张申,方帅,等.煤矿智能视频监控中雾尘图像的清晰化研究[J].煤炭学报,2014,39(1):198-204.
ZHANG Xiehua,ZHANG Shen,FANG Shuai,et al.Clearing research on fog and dust images in coalmine intelligent video surveillance[J].Journal of China Coal Society,2014,39(1):198-204.
[2] 赵谦.煤矿井下动态目标视频监测图像处理研究[D].西安:西安科技大学,2014.
ZHAO Qian.Study on video monitoring and image processing of coal mine dynamic targets[D]. Xi'an: Xi'an University of Science and Technology,2014.
[3] 何畏.基于改进直方图的低照度图像增强算法[J].计算机科学,2015,42(增刊1):241-242.
HE Wei.Low-light image enhancement based on improve histogram[J].Computer Science,2015,42(S1):241-242.
[4] ZUO Chao,CHEN Qian,SUI Xiubao.Range limited bi-histogram equalization for image contrast enhancement[J].Optik-International Journal for Light and Electron Optics,2013,124(5):425-431.
[5] 韩丽娜,熊杰,耿国华,等.利用HSV空间的双通道同态滤波真彩图像增强[J].计算机工程与应用,2009,45(27):18-20.
HAN Lina,XIONG Jie,GENG Guohua,et al.Using HSV space real-color image enhanced by homomorphic filter in two channels[J].Computer Engineering and Applications,2009,45(27):18-20.
[6] 王星,白尚旺,潘理虎,等.一种矿井图像增强算法[J].工矿自动化,2017,43(3):48-52.
WANG Xing,BAI Shangwang,PAN Lihu,et al.A mine image enhancement algorithm[J].Industry and Mine Automation,2017,43(3):48-52.
[7] 程德强,郑珍,姜海龙.一种煤矿井下图像增强算法[J].工矿自动化,2015,41(12):31-34.
CHENG Deqiang,ZHENG Zhen,JIANG Hailong.An image enhancement algorithm for coal mine underground[J].Industry and Mine Automation,2015,41(12):31-34.
[8] RAHMAN Z U,WOODELL G A.A multiscale Retinex for bridging the gap between color images and the human observation of scenes[J].IEEE Transactions on Image Processing,2002,6(7):965-976.
[9] PETRO A B,SBERT C,MOREL J M.Multiscale Retinex[J].Image Processing on Line,2014,4:71-88.
[10] ZHANG Shu,WANG Ting,DONG Junyu,et al.Underwater image enhancement via extended multi-scale Retinex[J].Neurocomputing,2017,245:1-9.
[11] LI Jia.Application of image enhancement method for digital images based on Retinex theory[J].Optik-International Journal for Light and Electron Optics,2013,124(23):5986-5988.
[12] 王科俊,熊新炎,任桢.高效均值滤波算法[J].计算机应用研究,2010,27(2):434-438.
WANG Kejun,XIONG Xinyan,REN Zhen.Highly efficient mean filtering algorithm[J].Application Research of Computers,2010,27(2):434-438.
[13] GOLESTANEH S A,CHANDLER D M.No-reference quality assessment of JPEG images via a quality relevance map[J].IEEE Signal Processing Letters,2014,21(2):155-158.
[14] GU Ke,ZHAI Guangtao,LIN Weisi,et al.No-reference image sharpness assessment in autoregressive parameter space[J].IEEE Transactions on Image Processing,2015,24(10):3218-3231.
WANG Hongdong, GUO Weidong, ZHU Meiqiang, LEI Meng
(School of Information and Control Engineering, China University of Mining and Technology,Xuzhou 221116, China)
Abstract:The multi-scale Retinex algorithm has some problems such as insufficient detail enhancement and long time-consumption in processing low-illumination image of underground coal mine. Aiming at the problem, a fast multi-scale Retinex algorithm based on illumination correction was proposed to enhance low-illumination image of underground coal mine. By calculating brightness value of each pixel of image after gaussian blur, the image is divided into dark and highlight areas, and illumination correction is carried out on dark and highlight areas, so as to reduce brightness of highlight area to avoid overexposure, and improve brightness of dark area to highlight more details. Three-times fast mean filtering is used instead of Gaussian filtering to estimate illumination intensity, so as to reduce time-consumption of the algorithm. The experimental results show that the algorithm can effectively improve brightness and contrast of image, enhance details of dark and highlight areas in image, and has fast processing speed.
Key words:mine image; low-illumination image; image enhancement; multi-scale Retinex algorithm; illumination correction; fast mean filtering
中图分类号:TD67
文献标志码:A
文章编号:1671-251X(2019)11-0081-05
DOI:10.13272/j.issn.1671-251x.17498
收稿日期:2019-08-23;修回日期:2019-11-03;责任编辑:盛男。
基金项目:国家自然科学基金资助项目(61901003,51904297);中国博士后基金资助项目(2014M551695)。
作者简介:王洪栋(1986-),男,山东临沂人,博士研究生,研究方向为机器视觉,E-mail:zs10060188@cumt.edu.cn。
引用格式:王洪栋,郭伟东,朱美强,等.一种煤矿井下低照度图像增强算法[J].工矿自动化,2019,45(11):81-85.
WANG Hongdong, GUO Weidong, ZHU Meiqiang,et al.An enhancement algorithm for low-illumination image of underground coal mine[J].Industry and Mine Automation,2019,45(11):81-85.