青年专家学术专栏
何敏1,2
(1.中煤科工集团常州研究院有限公司, 江苏 常州 213015;2.天地(常州)自动化股份有限公司, 江苏 常州 213015)
摘要:针对采用气压计基点法获得的煤矿通风阻力测定数据误差较大、现有原始测定数据处理方法的修正过程较繁琐的问题,提出了一种基于相对压力的煤矿通风阻力测定数据处理方法。该方法首先选取煤矿某入井井口作为相对压力零点;然后计算其他测点的相对压力,并对不符合排序原则的测点相对压力进行修正;最后根据通风阻力定律计算全部巷道的风阻,并根据巷道解算风量与测定的该巷道可靠风量对比结果,对误差超过5%的巷道风阻进行修正,直至所有巷道的风量对比误差在5%以内。该方法可一次性完成原始测定数据误差的初步修正,提高了获取可靠通风基础参数的效率,对煤矿通风阻力测定数据处理工作具有一定的参考价值。
关键词:煤矿通风; 智能通风; 通风阻力测定; 气压计基点法; 相对压力; 通风基础参数; 测定数据处理
近年来,智能矿山建设已经成为煤炭行业转型升级、创新发展的主旋律[1],“智慧矿山”[2-6]概念的提出,则为煤矿智能化建设奠定了发展方向。在煤矿通风方面,也在探索研究通风方案智能制定与通风系统智能控制[7-8]。通风系统智能控制依赖于通风方案智能制定,而后者实现的一个必要前提是准确获取巷道风量、风压等通风参数,但现有自动检测手段无法获取满足精度要求的上述参数,人工测定通风阻力依然是目前唯一可靠的手段。
煤矿通风阻力测定方法包括压差计法和气压计法,其中气压计法分为基点法和同步法。不管采用哪种方法,都会因为一些干扰因素和仪器精度问题导致测定数据存在一定误差。气压计法比压差计法的测定数据误差大,主要原因是气压计法测量测点静压时误差较大。在实际井下测定环境下,气压计同步法因信息沟通不便而很少使用。气压计基点法与其他方法相比具有工作量小、速度快的优势,是常用的通风阻力测定方法。但气压计基点法受制于气压计测量精度,测定的测点静压误差较大,导致现有的原始测定数据处理方法往往需要进行多次修正才能使数据满足要求,修正过程较为繁琐。本文针对气压计基点法获得的煤矿通风阻力测定数据,提出一种基于相对压力的数据处理方法,可一次性完成原始测定数据误差的初步修正。
煤矿通风基础参数包括巷道的摩擦阻力系数、风阻、风量、阻力、长度、断面积、断面形状、支护方式、空气温湿度,通风机运行工况等。获取可靠的通风基础参数是矿井通风技术管理工作的重要内容之一,可为矿井通风系统的优化调控提供必要的数据支撑[9-11],主要表现如下。
(1) 可靠的通风基础参数能准确反映矿井全局通风系统运行状态,有助于及时发现通风系统的薄弱环节,从而为有针对性地制定通风系统优化措施提供必要依据。
(2) 煤矿井下采掘工作面的位置每天都在动态变化,通风系统也发生相应改变,特别是发生井下采区更替、水平接续、矿井改扩建等大的生产系统布局变化时,通风系统改变程度会更大。通风系统调风是煤矿通风技术与管理人员重要的日常工作之一,而可靠的通风基础参数能辅助相关人员制定准确、经济的调风方案,从而保障煤矿通风系统合理、稳定运行,满足生产系统布局变化后的用风需求。
(3) 可靠的通风基础参数能为矿井灾变时期通风系统调整、风流控制方案制定提供必要数据参考[12-13],进而对控制灾情蔓延、排出有毒有害气体、制定抢险救灾路线起到决定性作用。
(4) 煤矿实现智能通风是未来发展的必然趋势,获取矿井可靠的通风基础参数是实现这一目标的最基本条件。在此基础上结合人工智能及相关自动调控装备的应用[14],才能最终实现煤矿通风调控的智能决策与控制。
根据数据处理的复杂程度,煤矿通风基础参数大致可分为2类:① 根据矿井通风阻力原始测定数据直接或经简单处理即可获得可靠结果的参数,如巷道的风量、长度、断面积、断面形状、支护方式、空气温湿度,通风机运行工况等。其中测定的巷道风量数据一般需要与矿井同期测风报表比对,修正一些有偏差的数据,从而获得可靠数据。② 对矿井通风阻力原始测定数据进行初步处理后,还需借助通风网络解算软件进行模拟解算,并通过修正相关参数直至与矿井通风现状匹配良好,才能获得可靠结果的参数,如巷道的摩擦阻力系数、风阻、阻力等。
本文重点研究如何获取可靠的第2类通风基础参数。其获取流程如图1所示。

图1 可靠通风基础参数获取流程
Fig.1 Acquisition flow of reliable basic ventilation parameters
第2类通风基础参数中最核心的是巷道的摩擦阻力系数或风阻。这是因为对于确定的巷道,只要其物理属性不发生变化,其摩擦阻力系数或风阻是不变的,其阻力只是随风量变化而变化。
矿井通风阻力定律为
h=RQ2
(1)
式中:h为巷道阻力,Pa;R为巷道风阻,N·s2/m8;Q为巷道风量,m3/s。
对于煤矿某一通风状态,主要通风机运行工况是一定的,因此在给定巷道风阻条件下,巷道风量为一确定值。通风网络解算软件据此自动解算出各通风网络分支(即巷道)的风量。在矿井通风领域,若解算的风量数据与获取的可靠风量数据之间误差在5%以内,即可认为是满足工程应用要求的可靠数据,此时说明给定的巷道风阻是可靠的,否则需要对相关巷道的风阻进行修正,直至2种风量数据的误差满足要求。
基于相对压力的煤矿通风阻力测定数据处理方法具体步骤如下。
(1) 选取煤矿某个入井井口作为相对压力零点。
(2) 计算其他测点的相对压力:

(2)
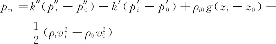
式中:i为测点序号;pri为测点i相对于相对压力零点的压力,Pa;k′,k″分别为气压计Ⅰ,Ⅱ的校正系数;
分别为气压计Ⅱ在测点i、相对压力零点的读数,
分别为与
对应时间下气压计Ⅰ的读数,Pa;ρi0为测点i与相对压力零点间空气密度平均值,kg/m3;g为重力加速度,m/s2;zi,z0分别为测点i与相对压力零点的标高,m;ρi,ρ0分别为测点i与相对压力零点的空气密度,kg/m3;vi,v0分别为测点i与相对压力零点的风速,m/s。
(3) 修正测点的相对压力。根据矿井风流方向对所有测点的相对压力进行排序,排序原则:若矿井采用抽出式通风方法,则从相对压力零点开始,至矿井主要通风机风硐,相对压力应依次减小;若矿井采用压入式通风方法,则从相对压力零点开始,至矿井主要通风机风硐,相对压力应依次增大。若有测点的相对压力不符合上述原则,应进行修正。修正方法:根据待修正测点前后测点的相对压力之差、待修正测点及其前后测点之间巷道的物理参数(包括长度、断面积、周长等)及风量,估算上述测点之间巷道阻力,从待修正测点的前面或后面测点开始,通过估算的巷道阻力与该分支上正确的测点相对压力或修正后的测点相对压力求和或做差,计算出待修正测点的相对压力。依此方法,修正所有不符合排序原则的测点相对压力。
(4) 根据式(1)计算全部巷道的风阻,其中h为巷道风流流入测点与流出测点的相对压力之差。
(5) 修正巷道风阻,具体方法:将全部巷道风阻、矿井主要通风机工况数据输入矿井通风网络解算软件绘制的通风系统网络对应网络分支属性中,进行矿井通风网络模拟解算,即可计算出所有巷道的解算风量。将解算风量与阻力测定期间对应巷道的可靠风量进行对比,若误差在5%以内,说明解算出的巷道风阻符合矿井实际情况,否则需要对相应巷道风阻进行修正,直至所有巷道的风量对比误差在5%以内。
上述步骤是煤矿通风阻力测定数据处理方法的全过程,其中步骤(1)—(4)为原始数据初步处理方法,也是本文方法较现有方法的改进之处。针对原始数据的初步处理,现有方法是将巷道风流流入测点与流出测点的相关测定数据替换式(2)中的对应数据,直接计算出巷道阻力。但因气压计精度问题,现有方法经常出现巷道阻力为负值的情况,此时需要对巷道阻力进行修正,最少需要修正1个测点(风流流入测点或流出测点)的原始静压数据,这样必然导致相连巷道的阻力发生变化,若相连巷道的阻力变为负值,则需要重新修正,实际处理过程中经常需要多次修正才能解决问题。导致上述问题的原因是巷道阻力计算公式包含静压差、位压差、速压差3项,在静压数据修正后,相应的空气密度会发生改变,位压差与速压差随之改变,因此无法肉眼直观判断其最终计算结果的正负情况。而本文方法在计算巷道阻力前,先计算出测点的相对压力,其是一个简单的数值,便于直观比较大小,因此可以一次完成修正,减少了数据处理的工作量。
以图2所示的简单通风系统网络为例,对基于相对压力的煤矿通风阻力测定数据处理方法的应用进行说明。
(1) 选取相对压力零点。若采用抽出式通风方法,则选取测点1作为相对压力零点;若采用压入式通风方法,则选取测点6作为相对压力零点。本文以抽出式通风方法为例进行说明。选取测点1作为相对压力零点后,pr1=0。
(2) 计算其他测点的相对压力。按式(2)分别计算出测点2—6的相对压力pr2—pr6。
(3) 修正测点的相对压力。按图2中风流方向,正确的测点相对压力应符合pr1>pr2>pr3>pr5>pr6,pr1>pr2>pr4>pr5>pr6。

图2 简单通风系统网络
Fig.2 A simple ventilation system network
如果测点相对压力不符合上述原则,以pr3<pr5为例,修正方法:首先根据测点2和测点5之间的巷道阻力h25和2条巷道的物理参数,估算测点2与测点3、测点3与测点5之间的巷道阻力h23,h35(h25,h23,h35满足h25=h23+h35);然后根据pr2-h23或pr5+h35结果计算出测点3的修正相对压力
最后将
替代pr3。
(4) 计算巷道风阻。根据步骤(3)得到的相对压力计算所有巷道阻力h12,h23,h35,h56,h24,h45,然后计算所有巷道风阻R12,R23,R35,R56,R24,R45。
(5) 修正巷道风阻。将所有巷道风阻、主要通风机工况数据输入矿井通风网络解算软件,进行矿井通风网络模拟解算,得到所有巷道的解算风量。将解算风量与阻力测定期间对应巷道的实际风量进行对比:若误差在5%以内,说明步骤(4)中得到的巷道风阻是可靠的;若误差在5%以上,则需要对相应巷道风阻进行修正,直至解算风量与阻力测定期间对应的实际风量误差在5%以内。
可靠的通风基础参数是煤矿目前通风技术与管理工作顺利开展的重要基础,也是煤矿未来实现智能通风的基本条件。采用基于相对压力的煤矿通风阻力测定数据处理方法,能一次性完成原始测定数据误差的初步修正,提高了获取可靠通风基础参数的效率,对煤矿通风阻力测定数据处理工作具有一定参考价值。
参考文献(References):
[1] 韩建国.神华智能矿山建设关键技术研发与示范[J].煤炭学报,2016,41(12):3181-3189.
HAN Jianguo.Key technology research and demonstration of intelligent mines in Shenhua Group[J].Journal of China Coal Society,2016,41(12):3181-3189.
[2] 王国法,王虹,任怀伟,等.智慧煤矿2025情景目标和发展路径[J].煤炭学报,2018,43(2):295-305.
WANG Guofa,WANG Hong,REN Huaiwei,et al.2025 scenarios and development path of intelligent coal mine[J].Journal of China Coal Society,2018,43(2):295-305.
[3] 卢新明,尹红.数字矿山的定义、内涵与进展[J].煤炭科学技术,2010,38(1):48-52.
LU Xinming,YIN Hong.Definition,connotations and progress of digital mine[J].Coal Science and Technology,2010,38(1):48-52.
[4] 何敏.智慧矿山定义探讨[J].工矿自动化,2017,43(9):12-16.
HE Min.Discussion on definition of wisdom mine[J].Industry and Mine Automation,2017,43(9):12-16.
[5] 霍中刚,武先利.互联网+智慧矿山发展方向[J].煤炭科学技术,2016,44(7):28-33.
HUO Zhonggang,WU Xianli.Development tendency of Internet plus intelligent mine[J].Coal Science and Technology,2016,44(7):28-33.
[6] 吕鹏飞,何敏,陈晓晶,等.智慧矿山发展与展望[J].工矿自动化,2018,44(9):84-88.
LYU Pengfei,HE Min,CHEN Xiaojing,et al.Development and prospect of wisdom mine[J].Industry and Mine Automation,2018,44(9):84-88.
[7] 郝全明,李连明.某煤矿通风系统智能优化[J].现代矿业,2014,30(1):82-84.
HAO Quanming,LI Lianming.Intelligent optimization on the ventilation system in a mine[J].Modern Mining,2014,30(1):82-84.
[8] 杨杰,赵连刚,全芳.煤矿通风系统现状及智能通风系统设计[J].工矿自动化,2015,41(11):74-77.
YANG Jie,ZHAO Liangang,QUAN Fang.Current situation of coal mine ventilation system and design of intelligent ventilation system[J].Industry and Mine Automation,2015,41(11):74-77.
[9] 何敏,武福生,成燕玲.基于三维模型的通风系统优化调控模拟分析[J].工矿自动化,2016,42(11):41-44.
HE Min,WU Fusheng,CHENG Yanling.Simulation analysis of optimal regulation and control of ventilation system based on 3D model[J].Industry and Mine Automation,2016,42(11):41-44.
[10] 刘剑,郭欣,邓立军,等.基于风量特征的矿井通风系统阻变型单故障源诊断[J].煤炭学报,2018,43(1):143-149.
LIU Jian,GUO Xin,DENG Lijun,et al.Resistance variant single fault source diagnosis of mine ventilation system based on air volume characteristic[J].Journal of China Coal Society,2018,43(1):143-149.
[11] 李曼,霍曼.矿井通风风量测量及误差补偿的仿真研究[J].中国安全科学学报,2018,28(5):153-158.
LI Man,HUO Man.Simulation study on mine ventilation air quantity measurement and error compensation[J].China Safety Science Journal,2018,28(5):153-158.
[12] 李宗翔,路宝生,王天明,等.灾变通风中矿井多风井异步反风的仿真实现[J].系统仿真学报,2016,28(12):2979-2985.
LI Zongxiang,LU Baosheng,WANG Tianming,et al.Simulation on the asynchronous reverse ventilation in multi-airshaft mine[J].Journal of System Simulation,2016,28(12):2979-2985.
[13] 尹方洲.矿井灾变时期井下通风自动化控制系统探讨[J].煤炭工程,2018,50(1):60-61.
YIN Fangzhou.Discussion on automatic control of ventilation system during coal mine disaster[J].Coal Engineering,2018,50(1):60-61.
[14] 魏引尚,贾玉泉,王奕博,等.矿井通风系统分级控制研究[J].工矿自动化,2018,44(12):30-33.
WEI Yinshang,JIA Yuquan,WANG Yibo,et al.Research on grading control of mine ventilation system[J]. Industry and Mine Automation,2018,44(12):30-33.
HE Min1,2
(1.CCTEG Changzhou Research Institute, Changzhou 213015, China;2.Tiandi(Changzhou) Automation Co., Ltd., Changzhou 213015, China)
Abstract:For problems of larger error of coal mine ventilation resistance measurement data acquired by barometer base-point method and cumbersome correction of existing original measurement data processing methods, a data processing method of coal mine ventilation resistance measurement based on relative pressure was proposed. In the method, a pithead inlet of coal mine is selected as zero point of relative pressure firstly. Then relative pressures of other measurement points are calculated, and relative pressures of some measurement points that do not conform to sequencing principle are corrected. Finally, wind resistances of all tunnels are calculated according to ventilation resistance law, and according to comparison result between calculated wind volume and the measured reliable one of the same tunnel, wind resistances of some tunnels are corrected whose comparison errors are over 5% until the comparison errors of wind volume in all tunnels are within 5%. The method can complete initial error correction of original measurement data at one time, improve efficiency of obtaining reliable basic ventilation parameters, and has a certain reference value for data processing of coal mine ventilation resistance measurement.
Key words:coal mine ventilation; intelligent ventilation; ventilation resistance measurement; barometer base-point method; relative pressure; basic ventilation parameters; measurement data processing
中图分类号:TD72
文献标志码:A
文章编号:1671-251X(2019)11-0001-05
DOI:10.13272/j.issn.1671-251x.17446
收稿日期:2019-06-20;修回日期:2019-10-18;责任编辑:李明。
基金项目:中国煤炭科工集团有限公司科技创新创业资金专项资助项目(2018-TD-MS017)。
作者简介:何敏(1983-),男,湖北天门人,助理研究员,博士,现主要从事矿山安全与信息化方面的研究工作,E-mail:hemin1234567@163.com。
引用格式:何敏.基于相对压力的煤矿通风阻力测定数据处理方法[J].工矿自动化,2019,45(11):1-4.
HE Min.Data processing method of coal mine ventilation resistance measurement based on relative pressure[J].Industry and Mine Automation,2019,45(11):1-4.