吴新忠1,胡建豪1,魏连江2,钱晓喻1,任子晖1,张芝超1
(1.中国矿业大学 信息与控制工程学院,江苏 徐州 221116;2.中国矿业大学 安全工程学院,江苏 徐州 221116)
摘要:建立了以通风网络总能耗最小为目标的矿井通风网络非线性无约束优化模型。为提高该模型的优化能力和收敛速度,提出了一种反向增强型烟花算法。首先采用均匀反向初始化种群策略,将生成的均匀分布的随机种群和反向种群共同竞争,选择最优初始种群作为后续搜索的起始点;然后精细化控制烟花爆炸半径,使不同世代烟花种群的爆炸半径呈非线性递减,同代种群的爆炸半径由自身适应度值协调分配,并设定最小动态阈值以减少搜索资源浪费;最后采用精英反向学习选择策略,加强对精英烟花所在空间邻域的搜索,提高算法的全局勘测能力。实验结果表明,采用该算法对矿井通风网络进行优化后,在满足实际通风网络调节限制及用风需求基础上,总能耗可降低约23.2%,优化效果优于粒子群优化算法和增强型烟花算法。
关键词:矿井通风;通风网络优化;烟花算法;反向增强型烟花算法;反向学习;爆炸半径精细化控制
矿井通风借助自然风压和通风机将新鲜空气输送至井下各用风点,为井下持续提供足够氧气,并稀释巷道中的有害气体,以保障生产安全。矿井通风网络是一个关联度很高的复杂系统,寻求一种既符合矿井生产及通风需求,又可使调控设备数量和通风运行成本最少的控风方案,实现矿井通风网络优化[1-2],是矿井通风安全和节能领域研究的热点和难点。
国内外学者相继采用模拟退火算法、遗传算法[3]、递阶文化算法[4]等解决矿井通风网络优化问题。但对于复杂的通风网络,模拟退火算法和遗传算法的搜索能力有限且寻优效率不高,递阶文化算法对递阶编码方式及非可行解的判定较为耗时,优化代价较大。
本文以通风网络的总能耗最小为目标,建立了通风网络非线性无约束优化模型[5]。为了提高该模型的优化能力及收敛速度,提出一种反向增强型烟花算法(Opposition-Based Enhanced Fireworks Algorithm,OBEFWA)。该算法通过引入反向学习概念,加强对反向烟花的全局搜索能力,可快速寻找到最优控风方案。
矿井通风网络解算需遵循风量平衡、风压平衡及通风阻力三大定律,它们共同对通风网络优化问题进行约束[6]。
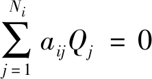
风量平衡定律:在通风网络风流趋于稳定条件下,任一节点、分支或若干联通分支的流入与流出风量相等,记为
(1)
式中:Ni为以通风网络中节点i为端点的巷道分支数,i=1,2,…,J,J为通风网络节点数;aij=1表示分支j的风流流入节点i,aij=-1表示分支j的风流流出节点i,aij=0表示节点i不是分支j的端点,j=1,2,…,O,O为通风网络分支数;Qj为分支j风量。
风压平衡定律:在通风网络拓扑图的任一闭合回路中,各分支的通风能量代数和为0,记为
bjk(HFj+HRj-Gj-ΔGj)=0
(2)
式中:Lk为独立回路k包含的分支数,k=1,2,…,M,M为通风网络独立回路数;bjk=1表示分支j属于回路k,且风流顺时针流动,bjk=-1表示分支j属于回路k,且风流逆时针流动,bjk=0表示分支j不属于回路k;HFj,HRj,Gj,ΔGj分别为分支j的通风机风压、自然风压、通风阻力和调节阻力。
通风阻力定律:矿井通风网络中各分支的通风阻力与风量的平方呈正比,记为
Gj=Rj|Qj|Qj
(3)
式中Rj为分支j风阻。
通风网络优化既要保证煤矿安全生产,又要满足通风巷道的分风需求,以此寻求通风总能耗最优的控风方案。将通风网络优化模型的目标函数记为
(4)
式中:m为通风机数量;QFI,HFI分别为通风机I分支的风量、风压。
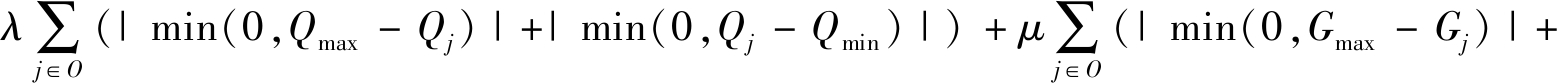
从通风安全及效率方面考虑,通风机I分支的风压HFI应不大于额定风压HFmax的0.9倍,通风机运转效率η不低于70%,且分支j的风量、通风阻力满足Qmin≤Qj≤Qmax,Gmin≤Gj≤Gmax,其中Qmax,Qmin,Gmax,Gmin分别为巷道流通的风量、通风阻力上下限。通风网络优化模型为非线性约束模型,采用外点罚函数法将约束项转换为目标函数的附加项,最终将通风网络优化模型转换为非线性无约束模型:
W=minf+g
(5)
g=![]()
0.9HFmax-HFI)|+|min(0,η-70%)|)
(6)
式中λ,μ,ν为惩罚系数。
当寻优解满足约束条件时,g=0,W=minf;当寻优解不满足约束条件时,g=C。C为一个非常大的正数,则W=minf+C无法成为最小功率,因此自动剔除不可行解。
烟花算法(Fireworks Algorithm,FWA)由Tan Ying等[7]通过模拟烟花爆炸扩散机制提出,现已被应用于许多领域的优化问题中,但其存在全局优化能力不足、容易早熟的缺点。鉴此,引入H.R.Tizhoosh[8]提出的反向学习(Opposition-Based Learning,OBL)方法。研究表明,在寻优过程中反向种群更具有偏向性,与原始种群相比找到最优点的概率高近50%。本文提出的OBEFWA在以下3个方面对FWA进行改进:① 采用OBL与均匀随机化相结合的方法初始化种群(均匀反向初始化种群)。② 精细化控制烟花爆炸半径。③ 应用精英OBL选择策略,加强对精英烟花邻域的开采。采用以上改进方法可提高FWA在解决复杂问题时的收敛精度和速度。
将解空间向量es(s=1,2,…,D,D为解空间向量维度)均匀划分为与种群规模N等长的子区间,每个等长子区间有且仅有1次被随机选定的机会,初始种群X={xn}(n=1,2,…,N)在所选定的子区间内随机产生[9]。采用OBL方法生成反向种群
通过比较X,X′挑选最优的N个个体作为后续搜索的起始点。以下为均匀反向初始化种群流程。

通过均匀反向初始化种群,可避免因随机初始化导致的随机误差;生成的均匀分布的随机种群和反向种群共同竞争,选择最优初始种群作为后续搜索的起始点,既能保证初始点均匀覆盖在寻优解空间,又提高了初始点靠近全局最优解的概率,为OBEFWA在迭代搜索过程的应用提供了基础。
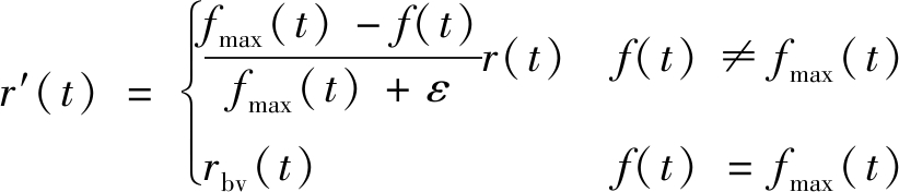
FWA中爆炸半径属于最核心部分。Liu Jianhua等[10]、Li Junzhi等[11]提出通过构造型烟花与动态自适应烟花算法来改善爆炸搜索效率。FWA通常将爆炸半径设定为随迭代次数增加呈非线性递减[12],但并未根据同世代烟花种群的支配强度自适应调整爆炸半径,无法改善爆炸火花质量,且当爆炸半径非常小(接近0)时,会浪费搜索资源。基于此,OBEFWA将不同世代烟花种群的爆炸半径设置为呈非线性递减,同世代烟花种群的爆炸半径根据自身适应度协调分配,并设定最小动态阈值,保证质量较好的个体能够在较小邻域内精细化勘测,质量较差的个体进行全局搜索,以减少搜索资源浪费,提升优化算法时空资源的搜索效率。烟花爆炸半径计算步骤如下。
(1)计算第t代烟花种群X(t)中个体x(t)的适应度f(t)与最大适应度fmax(t)。
(2)计算X(t)的爆炸半径:
(7)
式中:T为最大迭代次数;α为烟花种群爆炸半径的衰减系数;Dmax,Dmin为当代种群所有个体各解空间向量维度的上下限;β为缩放系数,r(t)通过β控制每代烟花种群的搜索范围在适当范围内;rbv(t)为第t代烟花种群爆炸半径的最小动态阈值。
(3)设置rbv(t):
(8)
式中:rinit为初始烟花爆炸半径;rfinal为末代烟花爆炸半径。
(4)计算烟花个体x(t)的爆炸半径:

(9)
式中ε为无限小正数,用于防止分母为0。
烟花个体x(t)爆炸产生的火花为
x*(t)=x(t)+rldu
(10)
式中:rl=lr(t)/4,l=1,2,3,4;du为爆炸方向向量,u=1,2,…,p,p为烟花爆炸的总方向数[13]。
考虑火花数及实际计算过程中时空资源限制,设定火花和烟花之间距离为rl/4,rl/2,3rl/4,rl。
采用均匀反向初始化种群策略后,对N个初始烟花与精细化爆炸产生的火花进行适应度评估,选择最优适应度前20%的个体作为精英烟花集。这些精英烟花集通常蕴含更多有益信息,指引烟花种群在寻优过程中向全局最优解收敛,因此引入OBL方法,针对精英烟花集求取精英反向解,将生成的精英反向种群加入竞争机制,以加强对精英烟花所在空间邻域的搜索,提高算法的全局勘测能力。
设D维搜索空间内的精英烟花集中存在某精英烟花种群Xbest={xbests},其精英反向解为
其中
种群X(t)在第s维的动态边界。

(11)
利用动态边界代替固定边界有助于经验信息的继承,使精英反向解逐渐收缩勘测邻域,加快收敛。生成的精英反向种群与原始烟花及火花的集合一同参与竞争,并采用文献[14]中基于距离的选择策略进行筛选,保留最优适应度元素作为下一代烟花。以轮盘赌的方式挑选剩余N-1个烟花,共同作为下一代烟花种群,如此进行循环迭代。
OBEFWA流程如下。

为验证OBEFWA在矿井通风网络优化中的应用效果,基于矿山通风安全与节能智能测控平台进行实验分析。该平台参照某矿井下工作面通风网络拓扑结构搭建。
矿山通风安全与节能智能测控平台由通风网络在线监控、通风网络解算与优化、通风网络智能调节等系统组成,主要包括通风机、变频器、传感器、智能风门、控制柜、高压柜、智能控制台等。该平台通过矿用热式流量传感器、3151型差压变送器、GFY15风速传感器、GWSD100温湿度传感器等监测通风环境参数,通过BT35-11型通风机、BD6L-15T4型变频器、Q10-1B型回转阀门控制器等对通风网络进行调控。
通风网络优化根据通风环境参数、通风网络属性及其优化需求进行配置,通过PLC实现底层硬件设施与上层控制指令之间的信息交互。通风网络数据经Matlab优化,通过智能控制台的OPC及上位机监控平台对通风机、变频器、风门实施优化控制。通风网络控制结构如图1所示。

图1 通风网络控制结构
Fig.1 Control structure of ventilation network
实验中通风网络设计模拟了“一矿两面”结构,通风网络巷道为上下两层对称结构,如图2所示,相应的通风网络拓扑如图3所示。通风网络包含15个节点、21条分支,独立回路为7个。图3中箭头方向为风流流动方向,分支20为主要通风机分支,进风节点①与出风节点
之间用伪分支21表示(风阻为0)。

图2 通风网络巷道
Fig.2 Roadway of ventilation network

图3 通风网络拓扑
Fig.3 Ventilation network topology
通风网络参数见表1。选择分支4,7,8,13,14为优化分支,其分支风量、风阻调节量为通风网络优化过程中的独立决策变量。优化分支的风量和风阻界限见表2。
表1 通风网络参数
Table 1 Parameters of ventilation network

分别采用OBEFWA、粒子群优化(Particle Swarm Optimization,PSO)算法[15]、增强型烟花算法(Enhanced FWA,EFWA)对通风网络进行优化。算法主要参数:种群规模N=50,解空间向量维度D=5,最大迭代次数T=500,爆炸半径衰减系数α=5,缩放系数β=1.25,初始烟花爆炸半径rinit=3种算法各运行30次,优化结果见表3。可见EFWA收敛速度最快,但最优解和平均总功率不如其他算法;PSO算法的优化结果稍差于OBEFWA,且收敛速度较其他算法慢;OBEFWA虽增加了计算成本,但收敛速度较PSO算法快,且最优解和平均总功率远优于其他算法,有效避免了局部最优。
表2 优化分支风量和通风阻力界限
Table 2 Boundaries of air volume and wind resistance of optimized branches

v(xmax-xmin)(v∈[0.05,0.30],xmax,xmin分别为初始烟花个体的最大值、最小值),末代烟花爆炸半径rfinal=10-6[16]。
表3 通风网络优化结果
Table 3 Optimization results of ventilation network

某次通风网络优化的功率适应度曲线如图4所示。对应3种优化算法的各分支数据见表4。

图4 通风网络优化的功率适应度曲线
Fig.4 Power fitness curves of ventilation network optimization
从图4可看出:PSO算法、EFWA、OBEFWA的初始种群(功率适应度)分别为70.1,71.3,68.5 kW,OBEFWA的初始种群最优,能够为寻优过程提供良好开端;OBEFWA较PSO算法收敛速度快、收敛解小,收敛效果更佳;OBEFWA跳出了EFWA的局部最优解,迭代约280次后稳定收敛,功率适应度最优解降至54.6 kW。
表4 通风网络优化计算结果
Table 4 Calculation results of ventilation network optimization

采用EFWA、PSO算法、OBEFWA对通风网络优化后,通风网络总能耗由优化前的71.08 kW分别降低至57.97,56.39,54.60 kW,降幅分别约为18.4%,20.7%,23.2%,可见在满足实际通风网络调节限制及用风需求基础上,OBEFWA对通风网络的优化效果最好。
(1)OBEFWA充分运用反向烟花对最优解的偏向性,提高了算法在进化过程中的全局搜索能力,克服了FWA寻优精度差、易早熟等缺点,提高了寻优效率与收敛精度。
(2)实验结果表明,采用OBEFWA对通风网络进行优化,在满足实际通风网络调节限制及用风需求基础上,总能耗可降低约23.2%,优化效果优于PSO算法和EFWA。
参考文献(References):
[1] 程磊,党海波,彭信山.矿井通风网络分析研究现状及趋势[J].煤炭工程,2011,43(3):90-92.
CHENG Lei,DANG Haibo,PENG Xinshan.Study status and tendency of mine ventilation network analysis[J].Coal Engineering,2011,43(3):90-92.
[2] 杨杰,赵连刚,全芳.煤矿通风系统现状及智能通风系统设计[J].工矿自动化,2015,41(11):74-77.
YANG Jie,ZHAO Liangang,QUAN Fang.Current situation of coal mine ventilation system and design of intelligent ventilation system[J].Industry and Mine Automation,2015,41(11):74-77.
[3] 李江,陈开岩,林柏泉.遗传算法在矿井通风网络优化中的应用[J].中国矿业大学学报,2007,36(6):789-793.
LI Jiang,CHEN Kaiyan,LIN Baiquan.Genetic algorithm for the optimization of mine ventilation network[J].Journal of China University of Mining &Technology,2007,36(6):789-793.
[4] 郭一楠,王春,杨继超.基于文化粒子群优化算法的矿井通风网络[J].东南大学学报(自然科学版),2013,43(增刊1):48-53.
GUO Yinan,WANG Chun,YANG Jichao.Mine ventilation network based on cultural particle swarm optimization algorithm[J].Journal of Southeast University(Natural Science Edition),2013,43(S1):48-53.
[5] 何敏,武福生,成燕玲.基于三维模型的通风系统优化调控模拟分析[J].工矿自动化,2016,42(11):41-44.
HE Min,WU Fusheng,CHENG Yanling.Simulation analysis of optimal regulation and control of ventilation system based on 3D model[J].Industry and Mine Automation,2016,42(11):41-44.
[6] 魏连江,周福宝,梁伟,等.矿井通风网络特征参数关联性研究[J].煤炭学报,2016,41(7):1728-1734.
WEI Lianjiang,ZHOU Fubao,LIANG Wei,et al.Correlation of mine ventilation network characteristic parameters[J].Journal of China Coal Society,2016,41(7):1728-1734.
[7] TAN Ying,ZHU Yuanchun.Fireworks algorithm for optimization[C]//International Conference on Advances in Swarm Intelligence,Springer Verlag,2010:355-364.
[8] TIZHOOSH H R.Opposition-based learning:a new scheme for machine intelligence[C]//IEEE International Conference on Intelligent Agents,Web Technologies and Internet Commerce,Vienna,2005:695-701.
[9] 谢承旺,邹秀芬,夏学文,等.一种多策略融合的多目标粒子群优化算法[J].电子学报,2015,43(8):1538-1544.
XIE Chengwang,ZOU Xiufen,XIA Xuewen,et al.A multi-objective particle swarm optimization algorithm integrating multiply strategies[J].Acta Electronica Sinica,2015,43(8):1538-1544.
[10] LIU Jianhua,ZHENG Shaoqiu,TAN Ying.The improvement on controlling exploration and exploitation of firework algorithm[C]//International Conference on Swarm Intelligence,Harbin,2013:11-23.
[11] LI Junzhi,ZHENG Shaoqiu,TAN Ying.Adaptive fireworks algorithm[C]//IEEE Congress on Evolutionary Computation,Beijing,2014:3214-3221.
[12] 谢承旺,许雷,赵怀瑞,等.应用精英反向学习的多目标烟花爆炸算法[J].电子学报,2016,44(5):1180-1188.
XIE Chengwang,XU Lei,ZHAO Huairui,et al.Multi-objective fireworks optimization algorithm using elite opposition-based learning[J].Acta Electronica Sinica,2016,44(5):1180-1188.
[13] 曹炬,贾红,李婷婷.烟花爆炸优化算法[J].计算机工程与科学,2011,33(1):138-142.
CAO Ju,JIA Hong,LI Tingting.A fireworks explosion optimization algorithm[J].Computer Engineering &Science,2011,33(1):138-142.
[14] 谭营,郑少秋.烟花算法研究进展[J].智能系统学报,2014,9(5):515-528.
TAN Ying,ZHENG Shaoqiu.Recent advances in fireworks algorithm[J].CAAI Transactions on Intelligent Systems,2014,9(5):515-528.
[15] 吴新忠,张兆龙,程健维,等.矿井通风网络的多种群自适应粒子群算法优化研究[J].煤炭工程,2019,51(2):75-81.
WU Xinzhong,ZHANG Zhaolong,CHENG Jianwei,et al.Optimization of multi-group self-adaptive particle swarm algorithm for mine ventilation network[J].Coal Engineering,2019,51(2):75-81.
[16] 王培崇,高文超,钱旭,等.应用精英反向学习的混合烟花爆炸优化算法[J].计算机应用,2014,34(10):2886-2890.
WANG Peichong,GAO Wenchao,QIAN Xu,et al.Hybrid fireworks explosion optimization algorithm using elite opposition-based learning[J].Journal of Computer Applications,2014,34(10):2886-2890.
WU Xinzhong1,HU Jianhao1,WEI Lianjiang2,QIAN Xiaoyu1,REN Zihui1,ZHANG Zhichao1
(1.School of Information and Control Engineering,China University of Mining and Technology,Xuzhou 221116,China;2.School of Safety Engineering,China University of Mining and Technology,Xuzhou 221116,China)
Abstract:A non-linear unrestraint optimization model of mine ventilation network was established which took the minimum total energy consumption of mine ventilation network as optimization objective.In order to improve optimization ability and convergence speed of the model,an opposition-based enhanced fireworks algorithm(OBEFWA)was proposed.Firstly,population initialization strategy based on opposition-based learning and uniform randomization is adopted,and uniform randomization population generated by the strategy is competed with opposition-based population,so that the optimal initial population is selected as starting point of subsequent search.Secondly,fireworks explosion radius is finely controlled,so that explosion radius of fireworks populations of different generations shows non-linear decline,and that of the same population generation is coordinated and distriblted according to their own fitness values.The minimum dynamic threshold is set to decrease waste of search resources.Finally,selection strategy of elite opposition-based learning is adopted to strengthen search for neighborhood of elite fireworks,so as to improve global exploration ability of the algorithm.The experimental results show that total energy consumption of mine ventilation network optimized by OBEFWA decreases about 23.2% which meets adjustment constraints and wind demand of actual ventilation network,and OBEFWA has better optimization effect than particle swarm optimization algorithm and enhanced fireworks algorithm.
Key words:mine ventilation;ventilation network optimization;fireworks algorithm;opposition-based enhanced fireworks algorithm;opposition-based learning;fine control of explosion radius
文章编号:1671-251X(2019)10-0017-07
DOI:10.13272/j.issn.1671-251x.17438
收稿日期:2019-05-16;修回日期:2019-09-18;
责任编辑:李明。
基金项目:国家重点研发计划资助项目(2018YFC0808100);江苏省重点研发计划资助项目(BE2016046)。
作者简介:吴新忠(1976-),男,江苏徐州人,副教授,博士,主要研究方向为煤矿通风机不停风倒机技术,通风网络建模、解算及优化等,E-mail:wxzcumt@126.com。
通信作者:胡建豪(1995-),男,湖北黄冈人,硕士研究生,研究方向为矿井通风网络优化,E-mail:1532072195@qq.com。
引用格式:吴新忠,胡建豪,魏连江,等.矿井通风网络的反向增强型烟花算法优化研究[J].工矿自动化,2019,45(10):17-22.
WU Xinzhong,HU Jianhao,WEI Lianjiang,et al.Research on opposition-based enhanced fireworks algorithm optimization for mine ventilation network[J].Industry and Mine Automation,2019,45(10):17-22.
中图分类号:TD724
文献标志码:A