黄友锐1,陈珍萍2
(1.安徽理工大学 电气与信息工程学院,安徽 淮南 232001;2.苏州科技大学 电子与信息工程学院,江苏 苏州 215009)
摘要:针对目前煤矿多电动机驱动带式输送机对多机功率平衡控制的需求,结合变频调速和物联网技术,提出了一种带式输送机多机功率平衡控制方法,研究了控制系统结构及控制原理。该方法采用变频器调节电动机转速,通过执行器/传感器节点检测电动机转速和定子转矩电流T轴分量,并将检测数据以无线通信方式传输给邻居节点;执行器/传感器节点基于电动机转速和定子转矩电流T轴分量的不一致性来构造控制输入,用于调节变频器给定转速,并通过转速微调实现电动机转速或转矩不一致情况下的多机功率平衡。试验结果验证了该方法可在负载不平衡和负载突变情况下实现多机功率平衡。
关键词:带式输送机;多机驱动;功率平衡;变频调速;物联网
中图分类号:TD634.1
文献标志码:A
网络出版地址:http://kns.cnki.net/kcms/detail/32.1627.tp.20180815.1730.002.html
HUANG Yourui1, CHEN Zhenping2
(1.School of Electrical and Information Engineering, Anhui University of Science and Technology, Huainan 232001, China; 2.School of Electronic and Information Engineering, Suzhou University of Science and Technology, Suzhou 215009, China)
Abstract:In view of multi-motor power balance control demand of existing mine-used belt conveyor driven by multi-motor, a multi-motor power balance control method of belt conveyor was proposed combining with technologies of frequency-conversion speed-regulation and Internet of things, and structure of the control system was researched as well as control principle. In the method, inverter is used to regulate motor speed. Actuator or sensor node detects motor speed andTaxis component of stator torque current and transmits the detected data to neighboring node by wireless communication way. Meanwhile, the actuator or sensor node creates control input according to inconsistency of motor speed andTaxis component of stator torque current, which is used to adjust the given speed of inverter, and realizes multi-motor power balance under inconsistency condition of motor speed or torque through fine tuning of the speed. The test results show that the method can realize multi-motor power balance under the condition of load unbalance or mutation.
Key words:belt conveyor; multi-motor driven; power balance; frequency-conversion speed-regulation; Internet of things
文章编号:1671-251X(2018)09-0088-06 DOI:10.13272/j.issn.1671-251x.17344
收稿日期:2018-04-18;
修回日期:2018-08-06;
责任编辑:李明。
基金项目:国家自然科学基金资助项目(51274011);安徽省科技攻关计划资助项目(1501021027);江苏省高等学校自然科学研究重大项目(17KJA520005)。
作者简介:黄友锐(1971-),男,安徽长丰人,教授,博士,研究方向为智能控制、矿山物联网,E-mail:hyr628@163.com。
引用格式:黄友锐,陈珍萍.物联网技术下带式输送机多机功率平衡控制[J].工矿自动化,2018,44(9):88-93.
HUANG Yourui, CHEN Zhenping.Multi-motor power balance control of belt conveyor under Internet of things technology[J].Industry and Mine Automation,2018,44(9):88-93.
带式输送机作为矿业生产中的重要运输设备,可用于煤矿生产的各个环节,包括釆掘工作面、采区上下山、巷道及地面运输,目前正朝着更长距离、更大功率、更大运输量的大型化方向发展。高强度、长距离、大运量带式输送机主要采用多滚筒多电动机驱动(简称多机驱动),即在1条带式输送机的首尾及中部均放置驱动电动机[1],实现多机驱动。多机驱动存在的主要问题是电动机输出功率不均衡[2],主要原因是各电动机的机械特性不同[1,3]。在设计带式输送机控制系统时,需要配置各驱动电动机的启动顺序及速度,同时保证驱动电动机间的协调性。
现有的带式输送机动力驱动系统多由异步电动机、液力偶合器、齿轮减速器等组成[4],效率低、机械故障多、重载启动困难。针对上述问题,本文采用变频调速技术[5]实现带式输送机电动机的平滑启动,并基于物联网[6-15]架构,提出了一种带式输送机多机功率平衡控制方法。
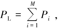
带式输送机多机功率平衡是指各驱动电动机之间输出的功率或牵引力之比应与相应的设计比一致。对于由M台异步电动机驱动的带式输送机,各电动机功率满足式(1)。
P1∶P2∶…∶PM=Pe1∶Pe2∶…∶PeM
(1)
式中Pi,Pei(i=1,2,…,M)分别为第i台电动机的实际功率和额定功率。
负载功率
则有

(2)
电动机功率P与电磁转矩Te、转速ω(rad/s)的关系满足式(3)。
P=Teω
(3)
若各电动机转速相同,则只要控制其电磁转矩平衡,即可实现功率平衡。
异步电动机的电磁转矩Te满足式(4)。
(4)
式中:p为磁极个数;Lm,Lr分别为转子互感和电感;Ψr为转子磁链;isT为MT坐标系下定子转矩电流T轴分量。
从式(4)可看出,异步电动机电磁转矩Te与其定子转矩电流T轴分量isT呈正比,在转速平衡的情况下,isT平衡则功率平衡。isT可由定子三相电流iA,iB,iC通过3s/2r坐标变换得到。
由式(3)、式(4)可知,带式输送机多机功率平衡控制问题可转换为对异步电动机转速ω和定子转矩电流T轴分量isT的控制问题。若带式输送机所有异步电动机的ω和isT均一致,则电动机间功率平衡,即实现了带式输送机多机功率平衡。
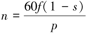
对于异步电动机,其转速n(r/min)与供电电源频率f间满足式(5)[16]。
(5)
式中s为转差率。
由式(5)可知,对于异步电动机,可通过变频器改变电动机供电电源的频率,进而改变电动机转速;当频率在0~50 Hz变化时,电动机转速调节范围宽,可实现异步电动机平滑调速。
多机功率平衡控制模式与电动机间的连接方式有关。若多台异步电动机间为刚性连接,由于电动机转速相同[1],多机功率平衡控制可采用主从控制模式,由1台主电动机控制转速,其他电动机控制转矩,实现功率平衡;若异步电动机间为柔性连接,由于不能保证电动机转速完全相同,所以需要增加速度控制环节,使各电动机转速同步,同时采用功率平衡控制算法,根据电动机转矩不平衡对电动机转速进行微调,从而实现多机功率平衡。
本文设计1个执行器/传感器节点控制1台变频器,实现对1台异步电动机的控制,进而达到多台电动机转速和功率平衡。电动机间可采用刚性连接,也可采用柔性连接,如图1所示。其中执行器/传感器节点检测异步电动机转速和定子转矩电流T轴分量,以无线通信方式传输检测数据,且调节变频器输入信号,以控制异步电动机转速和转矩;路由节点主要用于传输检测数据,以及保证执行器/传感器节点间的连通性。

图1 带式输送机多机功率平衡控制系统结构
Fig.1 Structure of multi-motor power balance control system of belt conveyor
为便于表述,将执行器/传感器节点及路由节点简称为节点,将由节点、变频器和异步电动机组成的系统称为子系统,将多个子系统及其驱动的带式输送机称为系统(即带式输送机多机功率平衡控制系统)。系统中每个节点拥有唯一的ID号,且选择ID号为1的节点为网关节点。网关节点以有线方式与矿井骨干网连接,以无线方式与其他节点通信。
设在系统中,子系统个数为M,节点个数为N,M个变频器和异步电动机的型号和参数完全相同,M个执行器/传感器节点结构相同,所有变频器均采用速度控制方式,网关节点所在子系统的变频器速度由控制中心设定。每个子系统中,执行器/传感器节点检测电动机的转速和定子转矩电流T轴分量,并将检测值以无线通信方式广播给邻居节点,同时以一定的控制算法调节输入给本子系统变频器的速度给定信号,以调节相应电动机的转速和转矩。
常用的无线通信技术有蓝牙、WiFi、ZigBee等。与其他2种技术相比,ZigBee具有功耗低、网络容量大的特点,能支持星状、网状、树状等多种拓扑结构。考虑到带式输送机狭长、带状特性,以及煤矿井下供电的特殊性,选用ZigBee技术实现节点间数据通信。
为实现多机功率平衡控制,需要M个执行器/传感器节点同步采样,这就要求执行器/传感器节点间能达到并保持时间同步。而系统中执行器/传感器节点对时间的认知来自于各自维护的本地时钟,且各节点的本地时钟记时速率快慢不一,不同节点本地时间不尽相同,存在时钟频偏。本文中系统为煤矿井下运输设备,而井下巷道或工作面一般布置在地下数百米[17],GPS(Global Position System,全球定位系统)信号无法到达,执行器/传感器节点无法通过GPS获取世界标准时间。针对煤矿井下特殊环境,同时考虑到带式输送机狭长、带状特性,采用文献[18]提出的成对广播同步协议实现系统时间同步。
煤矿井下具有空间狭小、无线通信环境差的特点,为保证执行器/传感器节点间的连通性,在系统中增加路由节点,起数据传输中转作用。但路由节点的加入增加了执行器/传感器节点数据传输延时,且该延时存在随机性和不确定性,与传输路径的跳数有关。从控制角度来看,传输延时越大,则系统性能越差[19],若传输延时达到一定程度,系统将变为不稳定系统,无法实现多机功率平衡。因此,本文基于数理统计方法,采用路由节点估计执行器/传感器节点间传输延时的分布类型和分布参数[20],进而对其进行补偿。
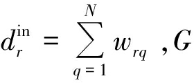
将带式输送机多机功率平衡控制系统N个节点间的通信关系建模成图G=(V,E),其中V为节点集合,边集E表示N个节点间通信关系,E⊆V×V。若节点r可接收到节点q的信息,则{r,q}∈E,r,q=1,2,…,N,r≠q,反之{r,q}∉E。对于加权网络,若{r,q}∈E,则节点r与节点q之间的邻接权重wrq>0,反之wrq=0。若{r,q}∈E,则节点q为节点r的输入邻居节点,Ar={q|{r,q}∈E}表示节点r的输入邻居节点集,dr=|Ar|表示节点r的入度。记节点r的加权入度
的入度矩阵
则G的拉普拉斯矩阵L=Din-W(W为邻接权重矩阵),且满足LT=L,L1N=0N。若G连通,则L的N个特征值满足0=λ1<λ2≤…≤λN。本文假设系统连通,即每个节点至少有1个输入邻居节点。
系统功率平衡控制结构如图2所示。其中isTq,ωq分别为执行器/传感器节点i从邻居节点q(q∈Ai)接收到的电动机定子转矩电流T轴分量和转速信号;
为子系统i中电动机给定转速;isTi,ωi分别为子系统i中电动机定子转矩电流T轴分量和转速信号;转矩差和转速差分别指子系统i与邻居子系统间的转矩差和转速差。

图2 功率平衡控制结构
Fig.2 Structure of power balance control
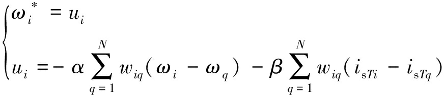
将一致性控制理论引入多机功率平衡控制中,考虑到邻居子系统间电动机转速和定子转矩电流T轴分量不一致,构造控制输入ui来调整
如式(6)所示。

(6)
式中α,β为控制增益,用于调整电动机转速和定子转矩电流T轴分量不一致对速度增量的调节程度,α,β>0。
传感器/执行器节点i与节点q之间的邻接权重wiq按式(7)进行分布式设计。

(7)
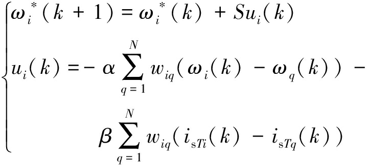
设系统采样周期为S,可得到式(6)的离散迭代形式:

(8)
式中:
分别为子系统i中电动机给定转速、转速、定子转矩电流T轴分量和控制输入的离散值;ωq(k),isTq(k)分别为执行器/传感器节点i从邻居节点q接收到的电动机转速、定子转矩电流T轴分量的离散值;k=1,2,…。
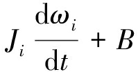
子系统i中电动机在dq坐标系下的运动方程为
ωi=Tei-TLi
(9)
式中:Ji为子系统i中电动机转动惯量;t为时间;B为负载折合到电动机轴上的黏性摩擦因数;Tei,TLi分别为子系统i中电动机的电磁转矩和负载转矩。
由式(9)可知,若子系统i中电动机的负载转矩TLi增加,则电动机转速ωi下降,有ωi<ωq,则ui>0,使得电动机转速增加,直至与其他子系统中电动机转速一致。同理,若子系统i中电动机电磁转矩小于其他子系统,则子系统i会获得一个大于零的控制输入,使电动机转速增加;若子系统i中电动机电磁转矩大于其他子系统,则子系统i获得一个小于零的控制输入,使电动机转速减小。本文中多机功率平衡控制方法可通过速度微调使电动机功率达到一致,即能实现多机功率平衡。
对带式输送机多机功率平衡控制方法的有效性进行试验验证。试验参数:带式输送机宽度为1 m,长度为650 m,输送能力为600 t/h;驱动电动机个数M=6,网络节点个数N=20,其中路由节点为14个;异步电动机额定电压为6 000 V,功率因数为0.87,额定功率为315 kW,转速为1 480 r/min;减速机额定功率为350 kW,传动比为1 500/42.38。
在电动机运行期间,实际功率可表示为P=
其中U,I,η,φ分别为电动机的电压、电流、效率和功率因数。在电动机型号及供电电压相同的情况下,电动机电流越大,则功率越大,因此通过测量电动机电流来间接测量电动机功率,测量周期为0.1 s。
在6台电动机处施加不同大小的负载,运行系统一段时间,记录各电动机电流,得到各电动机电流响应曲线,如图3所示。可看出在系统运行之初,6台电动机电流不同,即功率不平衡;在系统运行过程中,6台电动机电流呈现动态调整过程,且逐渐趋于相等;在系统运行3 s后,6台电动机电流相等,为36.21 A。

图3 负载不平衡时电动机电流响应曲线
Fig.3 Motor current response curve with unbalanced load
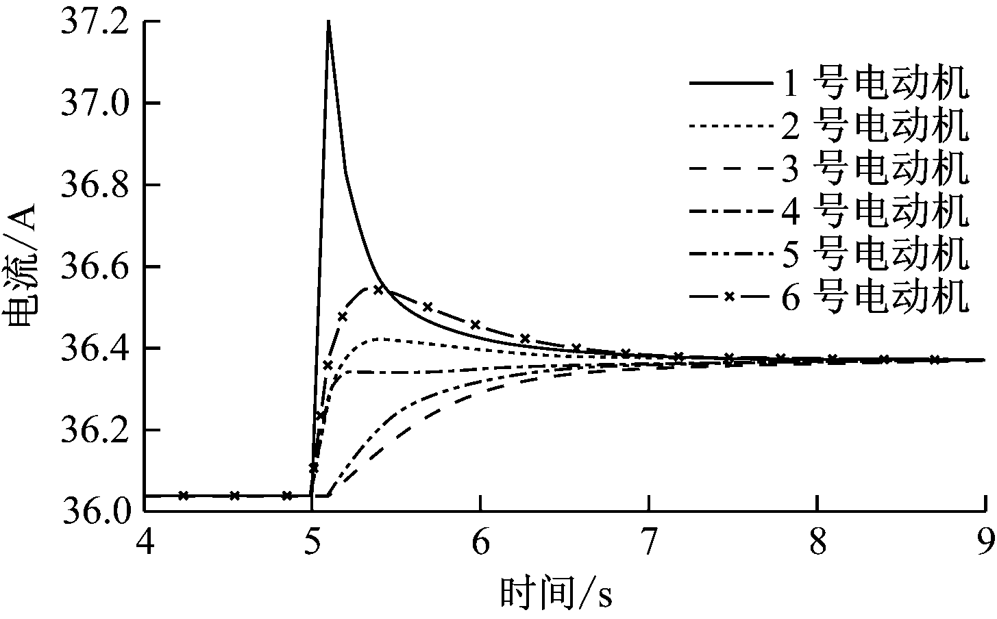
在电动机功率保持平衡的情况下,人为改变某电动机处的负载,即令该电动机功率发生突变。在系统运行5 s后增加1号电动机处的负载,6台电动机电流响应曲线如图4所示。可看出在系统保持功率平衡状态运行时,6台电动机电流均为36.02 A;当1号电动机功率增大时,2—6号变频器均能在现有基础上增加一个正的控制输入,进而增加电动机功率,最终达到功率平衡,此时电流均为36.38 A。可见多机功率平衡控制方法对负载突变具有较好的适应性。

图4 负载突变时电动机电流响应曲线
Fig.4 Motor current response curve with load mutation
针对煤矿多机驱动带式输送机对功率平衡的需求,在物联网架构下,研究了多电动机功率平衡问题,提出了一种分布式煤矿带式输送机多机功率平衡控制方法,即采用执行器/传感器节点采集电动机转速、电流信号并将信号进行无线传输,同时根据节点间的转速和电流不一致调整输入至变频器的转速给定值,从而实现多机功率平衡。试验验证了该方法能够在负载不平衡和负载突变情况下,实现多台电动机功率平衡。
参考文献(References):
[1] 王中华.矿井煤流输送系统优化控制关键技术研究[D].徐州:中国矿业大学,2014.
[2] 薛彦波.多机驱动带式输送机功率平衡控制方法[J].工矿自动化,2016,42(3):74-77.
XUE Yanbo.Power balance control method of multi-motor driving belt conveyor[J].Industry and Mine Automation,2016,42(3):74-77.
[3] 王巧莲,高彩霞,王福忠.多机驱动大倾角带式输送机模糊控制算法[J].工矿自动化,2016,42(5):45-51.
WANG Qiaolian,GAO Caixia,WANG Fuzhong.Fuzzy control algorithm for high-inclination belt conveyor driven by multi-motor[J].Industry and Mine Automation,2016,42(5):45-51.
[4] 巩剑波.变频调速永磁电机在皮带运输上的应用[J].山西焦煤科技,2011,35(12):11-13.
GONG Jianbo.Application on permanent magnet motor of variable frequency control speed in belt transport[J].Shanxi Coking Coal Science & Technology,2011,35(12):11-13.
[5] 吴勇生,贾玲,王旭兆.浅谈变频技术在矿井皮带运输系统中的应用[J].能源与节能,2011(6):89-91.
WU Yongsheng,JIA Ling,WANG Xuzhao.The application of frequency invertion technology in belt conveyer of coal mine[J].Energy and Energy Conservation,2011(6):89-91.
[6] 钱志鸿,王义君.物联网技术与应用研究[J].电子学报,2012,40(5):1023-1029.
QIAN Zhihong,WANG Yijun.IoT technology and application[J].Acta Electronica Sinica,2012,40(5):1023-1029.
[7] 宁焕生,徐群玉.全球物联网发展及中国物联网建设若干思考[J].电子学报,2010,38(11):2590-2599.
NING Huansheng,XU Qunyu.Research on global Internet of things' developments and it's construction in China[J].Acta Electronica Sinica,2010,38(11):2590-2599.
[8] 马骏,郭渊博,马建峰,等.物联网感知层基于资源分层的多用户访问控制方案[J].电子学报,2014,42(1):28-35.
MA Jun,GUO Yuanbo,MA Jianfeng,et al.Multi-user access control scheme based on resources hierarchies for perceptual layer of IoT[J].Acta Electronica Sinica,2014,42(1):28-35.
[9] 胡向东,徐慧芬,张力.物联网感知层局域按需簇维护模型与算法[J].软件学报,2015,26(8):2020-2040.
HU Xiangdong,XU Huifen,ZHANG Li.Model and algorithm of local and on-demand maintenance of clusters in sensing layer of the Internet of things[J].Journal of Software,2015,26(8):2020-2040.
[10] 刘强,崔莉,陈海明.物联网关键技术与应用[J].计算机科学,2010,37(6):1-4.
LIU Qiang,CUI Li,CHEN Haiming.Key technologies and applications of Internet of things[J].Computer Science,2010,37(6):1-4.
[11] 孙其博,刘杰,黎羴,等.物联网:概念、架构与关键技术研究综述[J].北京邮电大学学报,2010,33(3):1-9.
SUN Qibo,LIU Jie,LI Shan,et al.Internet of things:summarize on concepts,architecture and key technology problem[J].Journal of Beijing University of Posts and Telecommunications,2010,33(3):1-9.
[12] 陈权,高宏.低占空比无线传感器网络中基于动态切换的实时路由协议[J].通信学报,2015,36(10):224-234.
CHEN Quan,GAO Hong.Dynamic switching based real-time routing in low-duty-cycle wireless sensor networks[J].Journal on Communications,2015,36(10):224-234.
[13] AKYILDIZ I F, SU W, SANKARASUBRAMANIAM Y, et al. Wireless sensor networks: a survey[J].Computer Networks,2002,38(4):393-422.
[14] 任丰原,黄海宁,林闯.无线传感器网络[J].软件学报,2003,14(7):1282-1291.
REN Fengyuan, HUANG Haining, LIN Chuang.Wireless sensor networks[J].Journal of Software,2003,14(7):1282-1291.
[15] 钱志鸿,王义君.面向物联网的无线传感器网络综述[J].电子与信息学报,2013,35(1):215-227.
QIAN Zhihong,WANG Yijun.Internet of things-oriented wireless sensor networks review[J].Journal of Electronics & Information Technology,2013,35(1):215-227.
[16] 胡桂苓,田利瑞,郭培彬,等.高压变频器在皮带机多电机主从控制中的应用[J].变频器世界,2015(4):72-74.
HU Guiling,TIAN Lirui,GUO Peibin,et al.Applications of high voltage inverters about multi-motor master-slave control on conveyor[J].The World of Inverters,2015(4):72-74.
[17] 孙继平.煤矿物联网特点与关键技术研究[J].煤炭学报,2011,36(1):167-171.
SUN Jiping.Research on characteristics and key technology in coal mine Internet of things[J].Journal of China Coal Society,2011,36(1):167-171.
[18] NOH K, SERPEDIN E, QARAQE K.A new approach for time synchronization in wireless sensor networks: pairwise broadcast synchronization[J]. IEEE Transactions on Wireless Communications,2008,7(9):3318-3322.
[19] 游科友,谢立华.网络控制系统的最新研究综述[J].自动化学报,2013,39(2):101-118.
YOU Keyou,XIE Lihua.Survey of recent progress in networked control systems[J].Acta Automatica Sinica,2013,39(2):101-118.
[20] 陈珍萍,黄友锐,唐超礼,等.煤矿井下物联网时间同步信息传输延迟估计[J].工矿自动化,2014,40(12):37-41.
CHEN Zhenping,HUANG Yourui,TANG Chaoli,et al.Estimation of transmission delay of time synchronization information for Internet of things of coal mine underground[J].Industry and Mine Automation,2014,40(12):37-41.