陈连玉1,高晴2
(1.江苏理工学院 电气信息工程学院,江苏 常州 213001;2.天地(常州)自动化股份有限公司, 江苏 常州 213015)
摘要:针对以电磁式电流互感器为核心的传统电流检测方式存在电流互感器安装与维护困难、占用空间大、精度低等问题,设计了一套以Rogowski线圈为传感头的井下智能变电站电流检测系统。详细介绍了积分还原电路、自适应放大电路的设计,并进行了系统稳定性分析及Rogowski线圈测试、线性度测试、频率特性测试和温度特性测试。测试结果表明,该系统具有较高的精度和良好的线性度。
关键词:井下智能变电站;电流检测;Rogowski线圈;线性度;频率特性;温度特性
中图分类号:TD611.2
文献标志码:A
网络出版地址:http://kns.cnki.net/kcms/detail/32.1627.tp.20180816.1059.001.html
CHEN Lianyu1,GAO Qing2
(1.School of Information & Electrical Engineering, Jiangsu University of Technology, Changzhou 213001, China; 2.Tiandi (Changzhou) Automation Co., Ltd., Changzhou 213015, China)
Abstract:In view of problems of traditional current detection method which took electromagnetic current transformer as the core that it was difficult to install and maintain, took up a lot of space and has low precision, a current detection system of underground intelligent substation with Rogowski coil as sensing head was designed. Design of integral reduction circuit and adaptive amplifier circuit was introduced, and the system stability analysis as well as Rogowski coil test, linearity test, frequency characteristic test and temperature characteristic test were carried out. Test results show that the system has high precision and good linearity.
Key words:underground intelligent substation; current detection; Rogowski coil; linearity; frequency characteristic; temperature characteristic
文章编号:1671-251X(2018)09-0072-05 DOI:10.13272/j.issn.1671-251x.2018020018
收稿日期:2018-02-06;
修回日期:2018-07-17;
责任编辑:胡娴。
基金项目:江苏省产学研前瞻性联合研究项目(BY2016030-19)。
作者简介:陈连玉(1970-),男,江苏徐州人,副教授,工程师,研究方向为电力系统自动化、电力检测技术,E-mail:chenly4254@sina.com。
引用格式:陈连玉,高晴.井下智能变电站电流检测系统研究[J].工矿自动化,2018,44(9):72-76.
CHEN Lianyu, GAO Qing. Research on current detection system of underground intelligent substation[J].Industry and Mine Automation,2018,44(9):72-76.
煤矿井下供电网络结构复杂,串供级数多,而且井下变电站服务目标为采煤、掘进、运输、排水等关键环节,地质条件复杂[1-2]。供电负荷种类繁多,区域分布广,负荷大小不一,大的多达数千安培,小的仅有几安培。电流测量在电能计量、节能环保、安全运行、提高产品质量等方面有重大意义[3]。传统的电流检测方式以电磁式电流互感器为核心,存在电流互感器安装与维护困难、占用空间大、精度低等缺陷[4]。而以Rogowski线圈为传感头的有源电流互感器具有生产成本低、抗干扰能力强、绝缘性能高、质量轻、体积小、可以实现柔性安装、无二次开路危险等优点,和传统电磁式互感器相比,不存在磁饱和与铁磁谐振的问题,且容易实现数字化[5-7],因此,在煤矿井下智能变电站应用具有一定优势。本文设计了一套井下智能变电站电流检测系统,该系统以Rogowski线圈为传感头,结合积分还原电路、自适应放大电路等外围电路实现电流检测。
井下智能变电站电流检测系统结构如图1所示。系统采用分布式结构,包括积分单元和主控单元2个部分。积分单元由电流传感模块、电流信号处理模块、调零模块[8]、信号输出模块等组成;主控单元包括电源模块、主控制器、模数转换、显示模块、通信模块等。系统提供16路Rogowski线圈测量信号的输入,所得到的16路信号分别以0~5 V电压和4~20 mA电流输出[9-10]。分别对16路信号进行RMS值(有效值)测量,并由MC68332微控制器驱动TFT显示屏显示。

图1 井下智能变电站电流检测系统结构
Fig.1 Structure of current detection system of underground intelligent substation
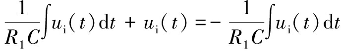
积分还原电路如图2所示,其功能是将Rogowski线圈输出的微分项进行积分还原。A1,A2构成积分器组,A3为第1级减法器,A5为第2级减法器。ui(t)为Rogowski线圈的输出电压信号[11]:
(1)
式中M为线圈互感系数。

图2 积分还原电路
Fig.2 Integral reduction circuit
A1与其外围电路构成电压串联性负反馈放大电路,有非常大的正极性输入阻抗,有利于对Rogowski线圈进行匹配。A1、A2及其附属电路的参数取为完全对称,这样有利于降低共模干扰。A1,A2的输出电压为

(2)
u12(t)=up
(3)
式中up为A1的漂移。
A3的输出电压为
(4)
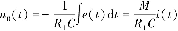
由式(4)可以看出,A3构成的减法器有效地抵消了积分器漂移产生的共模干扰。同理,A5的输出电压为
u0(t)=-u21(t)+u22(t)=-ui(t)-
(5)
A5构成的减法器也可以抵消A3,A4所产生的共模干扰。结合式(1)和式(5)可得
(6)
由式(6)可知,该积分还原电路还原了被测电流。适当取R1和积分电容C的值,以限制输出RMS不超过20 mV(对应额定计算电流)。本设计取R1为110 kΩ,C为2个47 nF电容并联值。
自适应放大电路如图3所示。A6与R16组成电压跟随器,其输入为积分还原电路的输出。A7与R17,R18,R19组成同相比例放大器,A7选用军品级可编程放大器PGA100,可以根据输入信号的大小在线调整放大倍数。

图3 自适应放大电路
Fig.3 Adaptive amplifier circuit
根据Rogowski线圈等效电路[12],忽略杂散电容,可得其幅频特性和相频特性为

(7)
式中:RL为负载电阻;L0为等效自感;ω0为截止频率。
由式(7)可以看出,比差值恒大于零,相角差与频率成反比,频率越高,相角差越小。
外界温度升高时,Rogowski线圈受热,引起支撑骨架与绕线膨胀,导致Rogowski线圈的互感发生变化,导致输出电压发生变化[13-14]。单位温度变化引起的电压误差为
(8)
由式(8)可以看出,由温度升高而引起的电压误差与线圈互感误差相同。
随机抽选任一分路所用Rogowski线圈为样本,安装支架(内径为80 mm)材质为环氧树脂,Rogowski线圈信号线为8 m,其输出均为经信号线接至积分柜端子排测得,结果见表1。从测试数据来看,Rogowski线圈的误差最高不超过0.487%,4~20 mA信号输出最高误差不超过0.501%。
线性度是衡量线性器件的重要指标。根据表1得到Rogowski线圈输入、输出曲线,如图4、图5所示。可见,Rogowski线圈线性度良好,符合要求。

图4 Rogowski线圈输出电压曲线
Fig.4 Output voltage curve of Rogowski coil

图5 Rogowski线圈输出电流曲线
Fig.5 Output current curve of Rogowski coil
载流导线在通以1 000 A电流条件下,调节频率在基波到12次谐波范围内变化,频率特性测试结果见表2。
由表2可以看出,线圈的比差和角差变化值较小,角差随频率增大而减小。
表1 Rogowski线圈测试结果
Table 1 Test results of Rogowski coil

表2 频率特性测试结果
Table 2 Test results of frequency feature

载流导线在通以1 000 A电流条件下,将线圈放入老化温度控制箱内,调节温度在-20~65 ℃范围内,测试结果见表3。
由表3可以看出,线圈的比差和角差变化值较小,随温度升高而增大。
电流精确测量对电力系统的安全运行和电站智能化的实现至关重要,尤其在环境条件恶劣的煤矿井下。以Rogowski线圈取代传统的电流互感器作为传感装置,设计了井下智能变电站电流检测系统,详细介绍了低漂移的积分还原电路、自适应放大电路的设计,并进行了系统稳定性分析和测试。测试数据表明,该系统具有较高的精度和良好的线性度。
表3 温度特性测试结果
Table 3 Test results of temperature feature

参考文献(References):
[1] 刘建华,唐润恒,赵纪峰,等.基于IEC 61850的井下智能变电站分布式母线保护方案[J].煤矿安全,2017,48(5):120-122.
LIU Jianhua,TANG Runheng,ZHAO Jifeng,et al.Distributed busbar protection scheme of underground intelligent substation based on IEC 61850[J].Safety in Coal Mines,2017,48(5):120-122.
[2] 王占飞,刘小东,张登山,等.煤矿智能化数字变电所建设基本要求与实施条件[J].煤炭科学技术,2015,43(增刊2):108-112.
WANG Zhanfei,LIU Xiaodong,ZHANG Dengshan,et al.Basic requirements and implementation conditions of intelligent digital substation construction in coal mine[J].Coal Science and Technology,2015,43(S2):108-112.
[3] GB 50053—2009 供配电系统设计规范[S].
[4] 李旭,黄继东,倪传坤,等.不同电流互感器混用对线路差动保护的影响及对策的研究[J].电力系统保护与控制,2014,42(3):141-145.
LI Xu,HUANG Jidong,NI Chuankun,et al.Influence of mixing different types of current transformers on line differential protection and the countermeasures[J].Power System Protection and Control,2014,42(3):141-145.
[5] 刘志恒,段雄英,廖敏夫,等.罗氏线圈电子式电流互感器积分特性研究[J].电力自动化设备,2017,37(3):191-196.
LIU Zhiheng,DUAN Xiongying,LIAO Minfu,et al.Research on integral characteristic of ECT with rogowski coil[J].Electric Power Automation Equipment,2017,37(3):191-196.
[6] 汪建,戴原骁.Rogowski线圈数字积分器的直流误差消除方法研究[J].电测与仪表,2016,53(24):80-86.
WANG Jian,DAI Yuanxiao.Research on DC error elimination method of Rogowski coil digital integrator[J].Electrical Measurement & Instrumentation,2016,53(24):80-86.
[7] 樊占峰,尹明,宋国兵,等.基于波形系数方程识别智能变电站采样值数据失效的方法研究[J].中国电机工程学报,2016,36(增刊1):36-42.
FAN Zhanfeng,YIN Ming,SONG Guobing,et al.Research on failure sampling data identification in smart substation based on waveform factor equation[J].Proceedings of the CSEE,2016,36(S1):36-42.
[8] 陈连玉,薛晓炎.一种嵌入式自适应应变检测系统的研究[J].工矿自动化,2007,33(6):35-37.
CHEN Lianyu, XUE Xiaoyan. Research of an embedded self-adaptation detection system of strain[J].Industry and Mine Automation,2007,33 (6):35-37.
[9] 刘冬梅,李泽滔.基于ADE7753的Rogowski线圈宽范围电流测量研究[J].自动化与仪器仪表,2015(7):159-160.
LIU Dongmei,LI Zetao.Research on wide range current measurement of Rogowski coil based on ADE7753[J].Automation & Instrumentation,2015(7):159-160.
[10] 王艳红,杜海莲.基于Rogowski线圈的电流传感器性能研究[J].电气开关,2012(2):50-53.
WANG Yanhong,DU Hailian.Study on ECT performance based on Rogowski oil[J].Electric Switcher,2012(2):50-53.
[11] 张红岭.Rogowski线圈的研究与设计[D].秦皇岛:燕山大学,2006.
[12] RICHTER F,SOURKOUNIS C.Precise current sensor for power electronic devices[C]// 2008 IEEE Power Electronics Specialists Conference,Rhodes, 2008.
[13] HEWSON C R,RAY W F,METCALFE J.Optimising hign frequency integrator operation of Rogowski current transducer[C]// 2007 European Conference on Power Electronics and Applications,Aalborg, 2007.
[14] 邸志刚,贾春荣,郑绳楦.用于小电流测量的高精度Rogowski线圈的研究与设计[J].电气应用,2005,4(5):62-65.
DI Zhigang,JIA Chunrong,ZHENG Shengxuan.The research and design of high precise Rogowski coil used to measure small current[J].Electrotechnical Application,2005,4(5):62-65.