王彦文1,郭林1,赵峰1,杨晓洲2
(1.中国矿业大学(北京) 机电与信息工程学院,北京 100083;2.抚顺煤矿电机制造有限责任公司,辽宁 抚顺 113122)
摘要:为了在计及趋肤效应情况下有效研究双鼠笼电动机转子稳态电流分布情况,对独立端环型和共端环型双鼠笼电动机转子支路进行了等效变换,利用分层法对上下笼导条支路进行分层处理,得到了在计及趋肤效应情况下同时适用于计算独立端环型和共端环型双鼠笼电动机转子稳态电流分布的方法。算例分析结果表明,独立端环型和共端环型双鼠笼电动机转子上下笼电流分布基本一致,频率越高的电流在上笼中的分布较下笼越密集;工频供电下,电动机正常运行时,独立端环型和共端环型双鼠笼电动机转子基频电流分布基本一致;工频供电下,电动机堵转时,共端环型双鼠笼电动机趋肤效应比独立端环型双鼠笼电动机更明显;相同电流频率下,共端环型双鼠笼电动机上下笼电流比值较独立端环型双鼠笼电动机大。
关键词:双鼠笼电动机;转子电流分布;趋肤效应;独立端环;共端环;转子稳态电流
中图分类号:TD614
文献标志码:A
网络出版地址:http://kns.cnki.net/kcms/detail/32.1627.TP.20180824.1051.002.html
WANG Yanwen1, GUO Lin1, ZHAO Feng1, YANG Xiaozhou2
(1.School of Mechanical Electronic and Information Engineering, China University of Mining and Technology(Beijing), Beijing 100083, China; 2.Fushun Coal Mine Motor Manufacturing Ltd., Fushun 113122, China)
Abstract:In order to effectively research rotor steady-state current distribution of double squirrel cage motor in case of skin effect, equivalent transformation of rotor branch of independent end-ring type and common end-ring type double squirrel cage motor were carried out, layering method was used to deal with upper and lower bar branches, and method for calculating rotor steady-state current distribution of independent end-ring type and common end-ring type double squirrel cage motor in case of skin effect was presented. The analysis results show that current distribution of rotor upper and lower cage of independent end-ring type and common end-ring type double squirrel cage motor is basically the same, the higher the frequency, the more dense the current is distributed in upper cage than that in lower cage; under power frequency supply, rotor basic frequency current distribution of independent end-ring type and common end-ring type double squirrel cage motor is basically the same when the motor is running normally, and skin effect of common end-ring type double squirrel cage motor is more obvious than that of independent end-ring type double squirrel cage motor when the motor is short-circuit running; current ratio of upper and lower cage of common end-ring type double squirrel cage motor is larger than that of independent end-ring type double squirrel cage motor at the same current frequency.
Key words:double squirrel cage motor; rotor current distribution; skin effect; independent end-ring; common end-ring; rotor steady-state current
文章编号:1671-251X(2018)09-0044-07 DOI:10.13272/j.issn.1671-251x.2018030031
收稿日期:2018-03-09;
修回日期:2018-08-19;
责任编辑:盛男。
基金项目:中央高校基本科研业务费基金资助项目(2017QJ10)。
作者简介:王彦文(1962-),男,河北唐山人,教授,博士,博士研究生导师,研究方向为矿山电气安全、电力系统微机监控等,E-mail:wyw@cumtb.edu.cn。
引用格式:王彦文,郭林,赵峰,等.计及趋肤效应的双鼠笼电动机转子稳态电流分布[J].工矿自动化,2018,44(9):44-50.
WANG Yanwen,GUO Lin,ZHAO Feng,et al.Rotor steady-state current distribution of double squirrel cage motor considering skin effect[J].Industry and Mine Automation,2018,44(9):44-50.
双鼠笼电动机利用趋肤效应[1-2]增大电动机启动电阻、提高电磁转矩、降低启动电流,可通过改变上下笼尺寸和材料,灵活调整上下笼参数,使电动机具有不同的启动和运行性能,以满足各种负载的不同需求[3]。受趋肤效应影响,双鼠笼电动机堵转或启动时,电流向上笼汇集、分布不均匀,致使上下笼导条各部位受力与发热不均匀,这是造成双鼠笼电动机鼠笼断条的主要原因[4-5];正常运行时,特别是脉冲电源供电时,各次谐波电流主要集中于上笼,由谐波电流引起的热损可能达到整个转子热损的一半以上[6],从而影响转子热分布。因此,有必要研究双鼠笼电动机转子电流分布特性,以便为进一步研究双鼠笼电动机转子热分布、受力分布、断条故障等提供理论基础。
双鼠笼电动机根据转子端部结构可分为独立端环型和共端环型。独立端环型双鼠笼电动机的2套鼠笼由各自的端环构成独立回路,2套鼠笼间仅有磁路而无实际电路连接;共端环型双鼠笼电动机的2套鼠笼共用1套公共端环,2套鼠笼间存在电路连接,可认为是结构特殊的深槽型电动机。文献[7]针对趋肤效应使得导条电流沿槽高方向分布不均匀的规律,使用分层法[8]计算了双鼠笼电动机启动时的转子电阻增大系数和漏电感减小系数,然而研究主要基于共端环型双鼠笼电动机转子模型,能否适用于独立端环型双鼠笼电动机有待进一步验证。
本文在研究双鼠笼电动机Г型等效电路的基础上,对独立端环型和共端环型双鼠笼电动机转子支路进行等效变换,在计及趋肤效应情况下,利用分层法得到同时适用于计算独立端环型和共端环型双鼠笼电动机转子稳态电流分布的方法,并通过算例分析独立端环型和共端环型双鼠笼电动机转子稳态电流分布特性。
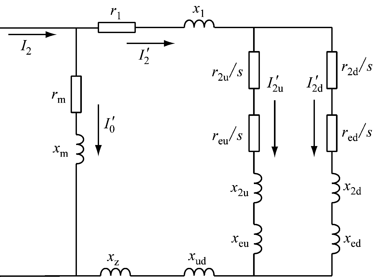
独立端环型双鼠笼电动机上下笼导条一般采用铜条制成,上笼铜条电阻率大,具有较大的启动转矩及启动电阻[9]。独立端环型双鼠笼电动机Г型等效电路如图1所示[10](图中转子侧参数已归算到定子侧)。s为电动机转差率;r1和x1分别为定子侧电阻和电抗;rm和xm分别为励磁侧电阻和电抗;r2u和r2d分别为上下笼导条电阻;x2u和x2d分别为上下笼槽漏抗;reu,red和xeu,xed分别为上下笼端环电阻和电抗;xud为上下笼导条互感漏抗;xz为转子谐波漏抗;
和
分别为上下笼电流;I2为总电流;
为转子侧电流;
为励磁电流。

图1 独立端环型双鼠笼电动机Г型等效电路
Fig.1 Г type equivalent circuit of independent end-ring type double squirrel cage motor
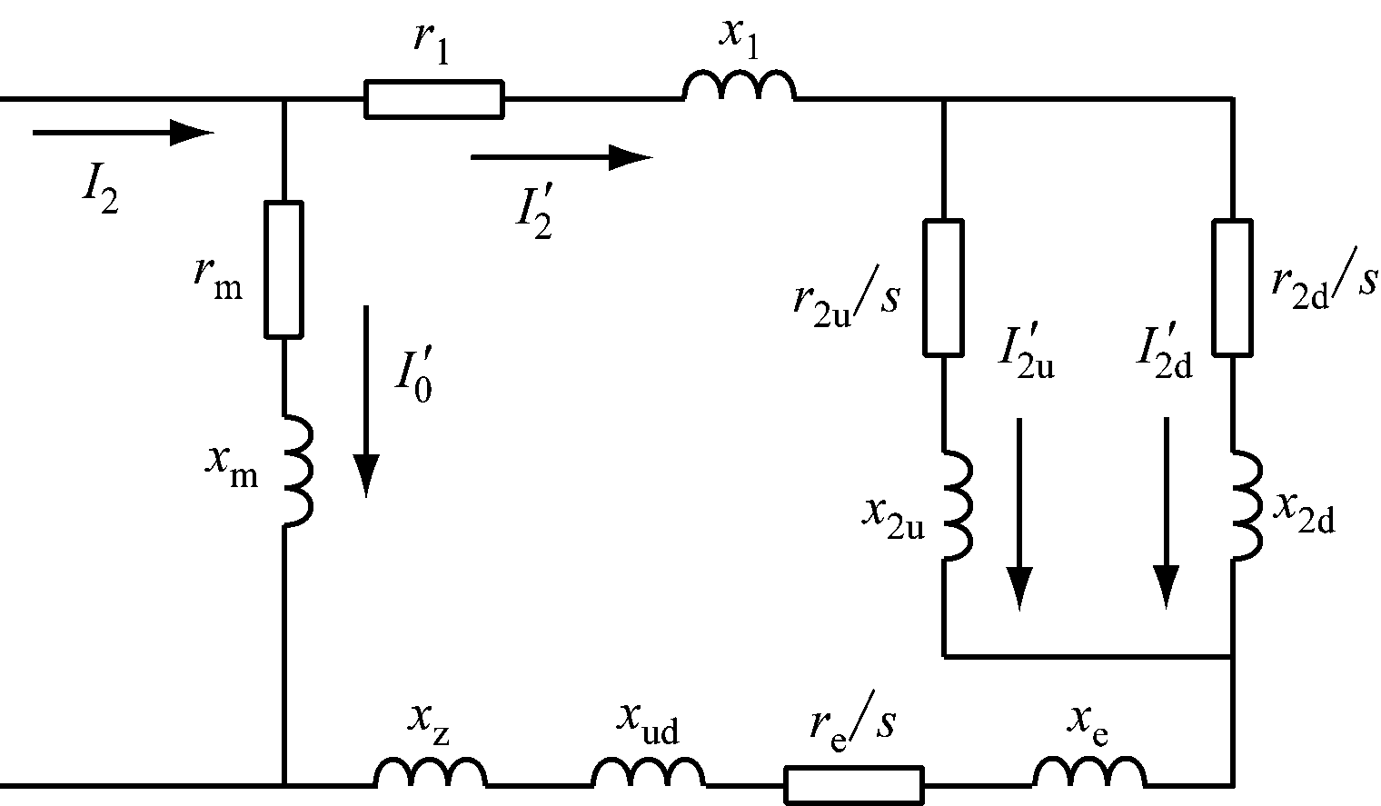
共端环型双鼠笼电动机的2套鼠笼两端由1对端环固定,导条由铸铝或铜条制成,结构强度较低[9]。共端环型双鼠笼电动机Г型等效电路如图2所示[10](图中转子侧参数已归算到定子侧),与独立端环型双鼠笼电动机Г型等效电路不同之处在于上下笼导条支路并联后再串联公共端环阻抗(re和xe分别为公共端环电阻和电抗)。

图2 共端环型双鼠笼电动机Г型等效电路
Fig.2 Г type equivalent circuit of common end-ring type double squirrel cage motor
使用分层法,首先要假设分层后的导条各层端电压相同[11],但独立端环型双鼠笼电动机上下笼端环电阻分别对上下笼各层进行分压,上下笼导条分层后,不能简单认为各层导体的端电压相同,同时,上下笼端环电阻的分压将影响趋肤效应对电流分布的作用。
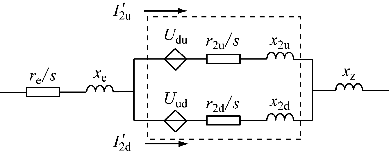
将图1中转子支路分为槽内支路与槽外支路,可得转子支路等效电路,如图3所示。虚线框内为槽内支路,包括上下笼导条支路阻抗;虚线框外为槽外支路,包括上下笼各自端环支路阻抗;用受控电压源Udu,Uud表示上下笼互感电压。

图3 独立端环型双鼠笼电动机转子支路等效电路
Fig.3 Rotor branch equivalent circuit of independent end-ring type double squirrel cage motor
将上下笼导条分别沿槽高平均分为m,n层,独立端环型双鼠笼电动机转子支路等效分层如图4所示(图中转子侧参数未归算到定子侧)。Reu,Red和Xeu,Xed分别为上下笼端环归算入各自导条支路的电阻和电抗;Iu和Id分别为上下笼总电流;Rup和Rdq分别为上下笼第p(p=1,2,…,m),q(q=1,2,…,n)层电阻;Lup和Ldq分别为上下笼第p,q层槽漏感;ω为转子电流角频率;Xz为转子谐波漏抗。

图4 独立端环型双鼠笼电动机转子支路等效分层
Fig.4 Rotor branch equivalent layering of independent end-ring type double squirrel cage motor
共端环型双鼠笼电动机可看作是端环并联的独立端环型双鼠笼电动机,其转子支路等效电路如图5所示,与独立端环型双鼠笼电动机转子支路等效电路不同之处在于上下笼导条端电压相同。

图5 共端环型双鼠笼电动机转子支路等效电路
Fig.5 Rotor branch equivalent circuit of common end-ring type double squirrel cage motor
共端环型双鼠笼电动机转子支路等效分层如图6所示(图中转子侧参数未归算到定子侧),其中Re和Xe分别为公共端环电阻和电抗。

图6 共端环型双鼠笼电动机转子支路等效分层
Fig.6 Rotor branch equivalent layering of common end-ring type double squirrel cage motor
一般双鼠笼电动机上笼采用圆柱型导条,下笼采用长方体型导条,如图7所示。w1,w2和h1,h3分别为上下笼槽口宽度和高度;w3和h4分别为下笼槽宽和槽高;R和h2分别为上笼半径和槽高。本文以该转子槽型结构为例,计算转子稳态电流分布。

图7 双鼠笼电动机转子槽型结构
Fig.7 Rotor slot structure of double squirrel cage motor
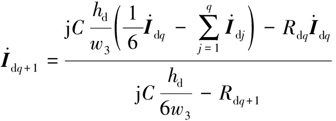
设下笼层高为hd,图4中下笼第1,2,…,n层电流分别为Id1,Id2,…,Idn。根据磁导分析原理[12],下笼第q层与第q+1层磁链差为
Ψdq-Ψdq+1=![]()
(1)
式中:Ψdq,Ψdq+1分别为下笼第q层、第q+1层磁链;μ为真空磁导率;l为导条长度。
设转子支路端电压为U,下笼第q层和第q+1层导体与槽外支路组成的电压方程为

(2)
式中Zed为下笼端环归算入各自导条支路的阻抗,Zed=Red+jXed。
由式(1)和式(2)可得下笼各层电流递推公式:

(3)
式中C=2πf2μl,f2为转子电流频率。
设下笼第1层电流Id1为任意非零值,即可推导出下笼各层电流及下笼总电流。
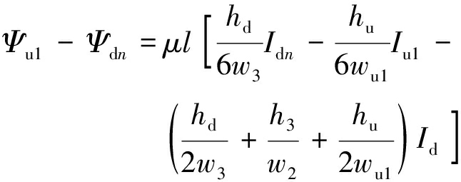
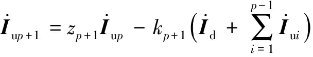
设上笼层高为hu,由下到上各层宽度为wu1,wu2,…,wum,图4中上笼第1,2,…,m层电流分别为Iu1,Iu2,…,Ium,则上笼第p层与第p+1层磁链差为
Ψup-Ψup+1=![]()
p=1,2,…,m-1
(4)
式中Ψup,Ψup+1分别为上笼第p层、第p+1层磁链。
上笼第p层和第p+1层导体与槽外支路组成的电压方程为

(5)
式中Zeu为上笼端环归算入各自导条支路的阻抗,Zeu=Reu+jXeu。
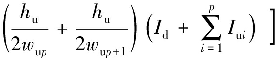
由式(4)和式(5)可得上笼各层电流递推公式:
(6)
式中:
若能求得上笼任一层电流,即可通过式(6)计算出上笼各层电流及上笼总电流。由于此前已经假定下笼第1层电流,为分析鼠笼整体电流分布情况,此时不能直接通过假设上笼第1层电流进行计算。
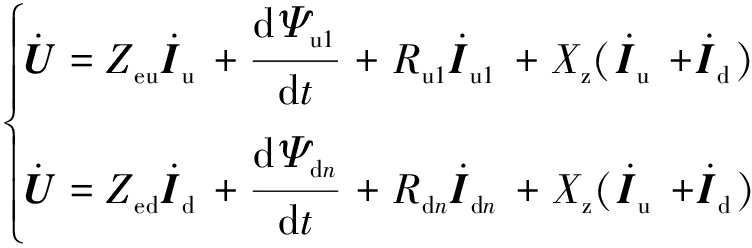
上笼第1层与下笼第n层磁链差为

(7)
式中:Ψu1,Ψdn分别为上笼第1层、下笼第n层磁链。
上笼第1层和下笼第n层导体与槽外支路组成的电压方程为

(8)
由式(7)和式(8)可得
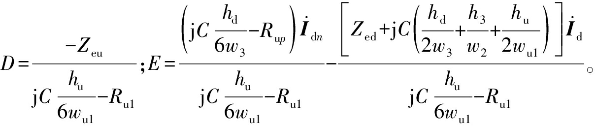
(9)
式中:
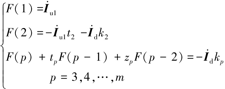
设上笼前p层电流之和为
则由式(6)可得关于F(p)的递推式:

(10)
式中tp=kp-1-zp。
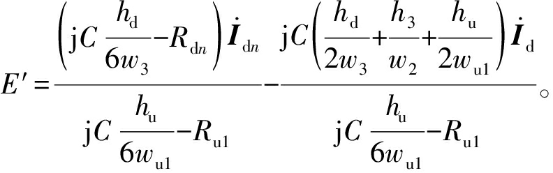
由式(9)和式(10)可得

(11)
通过式(11)即可求出上笼前p层电流之和F(p),从而求得上笼任意层电流。
共端环型双鼠笼电动机采用公共端环连接固定上下笼导条,上下笼导条通过公共端环直接并联,分层后任意层间磁链关系不变,仅电压方程改变。
上笼任意第p层与下笼任意第q层电压方程为

(12)
式中Ze为公共端环阻抗,Ze=Re+jXe。
由式(12)可知,上下笼导条各层端电压均相等,同时由于磁链关系不变,上下笼各层电流递推公式同式(6)、式(3),上笼第1层电流为
(13)
式中
由此可得

(14)
假设下笼第1层电流为任意非零值,联立式(3)、式(6)、式(13)、式(14),可得上下笼各层电流。
矿用YBCS2-400型双鼠笼电动机上下笼导条均为铜质,转子槽数为38,上笼槽口宽度和高度分别为2.0,2.7 mm,上笼槽高为13.2 mm,上笼半径为6.6 mm,下笼槽口宽度和高度分别为2.0,6.0 mm,下笼槽宽和槽高分别为9.3,16.3 mm。为分析不同端环结构转子稳态电流分布,将该电动机转子端环结构分别设计为独立端环型与共端环型。
当设计为独立端环型时,上笼端环平均直径为336.40 mm,宽度为59.00 mm,厚度为12.00 mm,电阻率为1.24×10-7Ω·m(同上笼导条电阻率);下笼端环平均直径为301.50 mm,宽度为35.5 mm,厚度为20.00 mm,电阻率为3.14×10-8Ω·m(同下笼导条电阻率)。当设计为共端环型时,由于公共端环阻抗不影响上下笼电流分布,上下笼端环阻抗可设置为零。
分别将转子上下笼导条分为100层,其中1—100层为下笼部分,101—200层为上笼部分。设独立端环型和共端环型双鼠笼电动机转子下笼第1层电流均为1 A,真空磁导率μ=4π×10-7H/m。基于前文理论计算,分析不同频率下转子稳态电流分布规律。
0~1 000 Hz频率范围内转子电流在上下笼导条中的大小及密度分布情况如图8所示。由图8可知,在较高频段,独立端环型和共端环型双鼠笼电动机转子电流大小及密度分布规律基本一致,即频率越高的电流在上笼中分布较下笼越密集,越接近上笼槽口,各频率电流密度越大。

图8 0~1 000 Hz频率下双鼠笼电动机转子电流分布
Fig.8 Rotor current distribution of double squirrel cage motor under 0-1 000 Hz
工频50 Hz供电时双鼠笼电动机转子基频电流范围为0~50 Hz,根据图8可得工频供电下转子基频电流大小与密度分布情况,如图9所示。由图9可知,在较低频段,共端环型双鼠笼电动机电流分布受趋肤效应影响较独立端环型双鼠笼电动机明显,共端环型双鼠笼电动机上笼电流大小及密度比独立端环型双鼠笼电动机大。
工频50 Hz供电下,电动机正常稳定运行时转子电流频率为1 Hz左右,电动机堵转时转子电流频率为50 Hz。1,50 Hz固定电流频率下独立端环型和共端环型双鼠笼电动机转子电流大小与密度分布如图10所示。由图10(a)和10(b)可知,工频供电下电动机正常运行时,独立端环型和共端环型双鼠笼电动机转子基频电流分布基本一致;由图10(c)和10(d)可知,工频供电下电动机堵转时,共端环型双鼠笼电动机趋肤效应比独立端环型双鼠笼电动机更明显,相同下笼电流下,共端环型双鼠笼电动机上笼电流更密集。

图9 0~50 Hz频率下双鼠笼电动机转子电流分布
Fig.9 Rotor current distribution of double squirrel cage motor under 0-50 Hz
独立端环型和共端环型双鼠笼电动机转子在不同频率下,其上下笼电流比值与电流频率的关系如图11所示。由图11可知,上下笼电流比值与电流频率之间基本呈线性关系;相同电流频率下,共端环型双鼠笼电动机上下笼电流比值较独立端环型双鼠笼电动机大;高频电流主要集中于上笼。
(1) 独立端环型和共端环型双鼠笼电动机转子上下笼电流分布基本一致,频率越高的电流在上笼中的分布较下笼越密集,越接近上笼槽口,各频率电流密度越大。
(2) 工频供电下,电动机正常运行时,独立端环型和共端环型双鼠笼电动机转子基频电流分布基本一致;工频供电下,电动机堵转时,共端环型双鼠笼电动机趋肤效应比独立端环型双鼠笼电动机更明显,相同下笼电流下,共端环型双鼠笼电动机上笼电流更密集。
(3) 上下笼电流比值与电流频率之间基本呈线性关系;相同电流频率下,共端环型双鼠笼电动机上下笼电流比值较独立端环型双鼠笼电动机大。

(a) 1 Hz时转子电流大小分布

(b) 1 Hz时转子电流密度分布

(c) 50 Hz时转子电流大小分布

(d) 50 Hz时转子电流密度分布
图10 1,50 Hz频率下双鼠笼电动机转子电流分布
Fig.10 Rotor current distribution of double squirrel cage motor under 1,50 Hz

图11 双鼠笼电动机转子上下笼电流比值
Fig.11 Current ratio of upper and lower cage of double squirrel cage motor
参考文献(References):
[1] 李发海,朱东起.电机学[M].4版.北京:科学出版社,2007.
[2] 赵凯华,陈熙谋.电磁学[M].3版.北京:高等教育出版社,2011.
[3] 戈宝军,梁艳萍,温嘉斌.电机学[M].3版.北京:中国电力出版社,2016.
[4] 赵志敏,胡红艳,周明.双鼠笼电机笼条损坏的原因分析与处理[J].石家庄铁道大学学报(自然科学版),2003,16(增刊1):146-148.
ZHAO Zhimin,HU Hongyan,ZHOU Ming.Reason analysis and treatment of electro motor rotor[J].Journal of Shijiazhuang railway institute,2003,16(S1):146-148.
[5] 陈邦文.双鼠笼型高压电动机转子笼条断裂分析与处理[J].安徽电力,2012,29(2):105-106.
CHEN Bangwen.Cracking problem analysis and treatment of motor rotor squirrel-cage bars in double squirrel-cage high voltage motor[J].Anhui Electric Power,2012,29(2):105-106.
[6] 曾妮.集肤效应对笼型异步电机发热及允许转矩的影响[J].中小型电机,1990(3):63-64.
[7] 吴新振,王祥珩.异步电机双笼转子导条集肤效应的计算[J].中国电机工程学报,2003,23(3):116-120.
WU Xinzhen,WANG Xiangheng.Calculation of skin effect for double-cage rotor bar of the induction machine[J].Proceedings of the CSEE,2003,23(3):116-120.
[8] 陈立人.笼型转子挤流效应的数值和数值-解析计算[J].中小型电机,1988(1):4-8.
[9] 雅科文柯.防爆异步电动机[M].北京:煤炭工业出版社,1983.
[10] 汤蕴璆,梁艳萍.双鼠笼感应电动机的瞬态模型[J].电机与控制学报,1999(4):197-202.
TANG Yunqiu,LIANG Yanping.Transient model of double-cage induction motor[J].Electric Machines and Control,1999(4):197-202.
[11] 傅丰礼.异步电动机转子挤流效应的分层计算法[J].微特电机,1989(1):14-19.
[12] 陈世坤.电机设计[M].2版.北京:机械工业出版社,1997.