张昕1,3,李忠辉1,2,3,4,钮月1,3,魏洋1,3,程富起1,3,王佳丽5
(1.中国矿业大学 安全工程学院,江苏 徐州 221116;2.中国矿业大学 煤炭资源与安全开采国家重点实验室,江苏 徐州 221116;3.中国矿业大学 煤矿瓦斯与火灾防治教育部重点实验室,江苏 徐州 221116;4.新疆工程学院 安全科学与工程学院,新疆 乌鲁木齐 830023;5.新郑煤电有限责任公司,河南 郑州 451100)
摘要:为研究顶板岩石失稳破坏过程中表面电位信号的临界慢化特征,对顶板岩样进行了受载破坏实验,测试并采集了岩样受载过程中的表面电位信号。运用临界慢化理论计算并分析了电位信号-时间序列的方差和自相关系数。结果表明,岩样受载破坏过程中的表面电位变化与载荷及应变具有良好的对应关系;岩样受载过程中的表面电位信号存在临界慢化现象,电位信号的方差和自相关系数在岩样主破裂前均出现了急剧增大并持续增加的趋势,可作为预示岩样破坏的前兆信号;不同的窗口长度、滞后步长对表征电位信号临界慢化现象的自相关系数、方差的稳定性及变化趋势有影响;方差相比于自相关系数,更能有效预示岩样趋于失稳破坏的临界点。
关键词:顶板岩石;失稳破坏临界点;表面电位;临界慢化特征;前兆信号
中图分类号:TD326
文献标志码:A
网络出版地址:http://kns.cnki.net/kcms/detail/32.1627.TP.20180816.1100.003.html
ZHANG Xin1,3, LI Zhonghui1,2,3,4, NIU Yue1,3, WEI Yang1,3, CHENG Fuqi1,3, WANG Jiali5
(1.School of Safety Engineering, China University of Mining and Technology, Xuzhou 221116, China;2.State Key Laboratory of Coal Resources and Safe Mining, China University of Mining and Technology, Xuzhou 221116, China; 3.Key Laboratory of Coal Mine Gas and Fire Prevention and Control of the Ministry of Education, China University of Mining and Technology, Xuzhou 221116, China; 4.School of Safety Science and Engineering, Xinjiang Institute of Engineering, Urumqi 830023, China; 5.Xinzheng Coal Electricity Co.,Ltd., Zhengzhou 451100, China)
Abstract:In order to study critical slowing down characteristics of surface electric potential (EP) before unstable failure of roof rocks, loading failure experiment of rock specimens was carried out, the surface EP signal of rocks was collected in loading process. Based on theory of critical slowing down, variance and autocorrelation coefficient of the potential signal time sequence were calculated and analyzed. The analysis results are as follows: there is a good correspondence between the change of surface potential, the load and strain during the whole loading process; EP signal of rock has the phenomenon of critical slowing down in the loading process, the variance and autocorrelation coefficient of EP has sudden increase and continuously increasing trend before the main rupture, it can be used as a precursory signal to indicate unstable failure of rocks; the different window lengths and lagging steps affect the volatility stability and variation tendency of autocorrelation coefficient and variance of EP signal; compared with autocorrelation coefficient, variance is more effective for prediction of the critical failure point of the rock specimens.
Key words:roof rock; critical point of unstable failure; surface electric potential; critical slowing down feature; precursor signal
文章编号:1671-251X(2018)09-0026-06 DOI:10.13272/j.issn.1671-251x.2018030095
收稿日期:2018-03-30;
修回日期:2018-07-15;
责任编辑:胡娴。
基金项目:国家自然科学基金项目(51674254,51504244);“十三五”国家重点研发计划项目(2016YFC0801404)。
作者简介:张昕(1996-),男,山东济宁人,硕士研究生,研究方向为煤岩动力灾害监测预警技术,E-mail:15065426153@163.com。通信作者:李忠辉(1978-),男,河北高邑人,教授,博士研究生导师,研究方向为矿山安全、煤岩动力灾害监测监控,E-mail:leezhonghui@163.com。
引用格式:张昕,李忠辉,钮月,等.顶板岩石失稳破坏电位临界慢化特征实验研究[J].工矿自动化,2018,44(9):26-31.
ZHANG Xin,LI Zhonghui,NIU Yue,et al.Experimental study on electric potential critical slowing down characteristics before unstable failure of roof rocks[J].Industry and Mine Automation,2018,44(9):26-31.
随着矿井开采深度逐渐增加,煤岩动力灾害日趋严重[1-2]。煤岩动力灾害是矿山岩体在地应力和采动应力共同作用下发生快速失稳破坏的动力过程,会向外界释放出多种形式的能量。煤岩体动力破坏过程中存在自由电荷的产生与转移,自由电荷积累于煤岩体表面使电位信号产生变化[3]。文献[4-6]研究了不同破坏方式下煤岩表面电位特征及机理,发现可用表面电位信号来反映煤岩受载破坏的状态。文献[7]研究了电荷感应技术在冲击地压预测中的应用,并用研制的电荷感应仪进行了现场测试。文献[8]采用相似模拟方法,结合煤岩层的应力分布和变形破坏状况,分析了深部煤层开采过程的电位特征响应。文献[9]对信号进行快速傅里叶变换处理,在频域内研究不同孔隙瓦斯压力条件下电荷感应信号的变化规律。作为煤体变形破裂过程中的一种能量释放形式,电位信号能反映煤岩体应力状态及损伤破坏过程,可用于矿山煤岩动力灾害监测预警[8,10]。
目前大多研究均着眼于研究不同实验条件下煤岩失稳破坏过程中的电位特征及规律,但煤岩电位的一般时序信号无法直接反映破坏的前兆点,因此,对煤岩破坏的电位前兆特征仍需要深入的研究。
临界慢化现象在揭示复杂动力系统是否趋于临界性灾变方面展示了重要潜力。文献[11-12]将临界慢化理论用于地震前兆资料的研究,发现地震前周边形变、水化学某些测项均存在临界慢化现象,可作为预示地震发生的早期信号。文献[13-14]研究表明,临界慢化现象可能是气候突变发生前的一个前兆信号。文献[15]基于临界慢化原理计算了声发射计数-时间序列的方差和自相关系数,发现这2个参数在煤样破坏前均出现了持续增大的趋势,可以作为煤样破坏的前兆信号。由此可见,复杂动力系统的临界慢化现象在不同的学科领域都受到了普遍关注,并在解释突发性灾变事件和寻找灾变前兆信息等方面展示了重要潜力。
本文进行了顶板岩石受载破坏实验,研究了电位信号的临界慢化特征。通过选择一定的窗口长度与滞后步长,对实验所得的电位信号-时间序列进行了临界慢化处理,分析了表征电位信号临界慢化现象的自相关系数及方差,探索2个参数在顶板岩石失稳破坏前的响应特征及变化规律,从而探寻能够表征顶板岩石趋于失稳破坏的有效前兆点。
实验系统包括加载控制系统、LB-IV多通道电位数据采集系统、应变数据采集系统,如图1所示。实验系统可以实时记录并存储煤岩受载破裂过程中的应力、煤岩应变及电位数据。应力由YAW4306微机控制电液伺服压力试验机提供并记录,电位信号由煤样表面的电极接收,最大采样频率可达1 kHz。实验于高效电磁屏蔽室内进行,可有效避免外界信号干扰。

1-加载控制系统;2-压力机;3-绝缘垫片;4-电磁屏蔽网;5-岩样;6-电磁屏蔽室;7-应变片;8-电极片;9-前端放大器;10-应变数据采集系统;11-电位数据采集系统
图1 顶板岩石受载破坏实验系统
Fig.1 Experimental system of roof rock loading failure
实验所用岩样取自神火集团有限公司梁北煤矿巷道顶板围岩,从同一块顶板围岩上取出,以保证岩样性质的均一性。在实验室将岩样加工成尺寸为Φ50 mm×100 mm的标准圆柱体,并用细砂纸将岩样外表打磨光滑,用酒精擦拭表面后置于室内自然晾干。
(1) 利用导电胶、导电漆、胶带在岩样中部环向等距布置应变片及铜片电极。应变片和铜片电极各布置2个,中心距岩样上下端各50 mm。
(2) 连接好实验系统,调试正常后启动加载控制系统,将压力机加载至实验机头恰好接触岩样上端后保持恒载。岩样顶底两端均放置绝缘垫片绝缘,并于压力机周围布置电磁屏蔽网。
(3) 同时启动加载控制系统、LB-IV多通道电位数据采集系统、应变数据采集系统,同步收集岩样加载过程中的应力、应变及电位数据。
(4) 待岩样破坏卸载后,停止加载及数据采集,记录破坏特征。
采用1 000 N/s的力控加载方式,先后对8组岩样进行加载至破裂的实验。选取具有代表性的2组实验结果进行分析。岩样的载荷、电位、应变随时间变化的曲线如图2所示。

(a) 岩样1

(b) 岩样2
图2 岩样的载荷、电位、应变随时间变化的曲线
Fig.2 Curves of load, potential and strain of rock sample with time change
分析图2可知,岩样受载破坏过程中的表面电位-时间曲线与载荷-时间曲线及应变-时间曲线具有良好的对应关系。
加载初期,岩样损伤变形较少,微破裂发育较为缓慢,因此,监测到的电位信号较小,波动于0 mV上下。随着载荷增加,对于岩样1,在131 s时载荷达到峰值129 kN,132 s时岩样发生局部小破裂,载荷突降至102 kN,同时电位信号突增。之后,在岩样受载经过短暂上升后,在140 s时发生主破裂,载荷迅速卸载,几乎同时,电位信号上升到最大值30 mV。对于岩样2,在113 s时载荷达到峰值并发生小幅突降,由于岩样破裂程度较小,所以,监测到的电位增幅也较小。随后,在120 s时,岩样发生主破裂,几乎同时,电位信号上升到最大值41 mV。另外,在岩样加载的整个过程中,应变与载荷有着良好的对应关系,当载荷发生突变时,应变斜率明显变大。加载后期,岩样失稳破坏后,电位幅值急剧下降,但由于峰后岩样继续破坏,电位仍有小幅度波动。
通过以上分析可得:岩样受载破坏过程中,表面电位信号与载荷及应变具有良好的对应关系,并且电位信号能够很好地响应岩样受载破裂情况。但是,用电位突变点作为预示岩样主破裂发生的前兆点极不准确,需要对表面电位信号做进一步处理。
对于顶板岩石受载破坏过程而言,主破裂前的载荷积累可以理解为旧相,失稳破坏时的应力卸载为相变。在岩样主破裂前的加载阶段,应变以稳定速率逐渐增加,虽然加载过程中应变会因为一些局部破裂发生小幅突变,但岩样受小幅度扰动的恢复速率较快,会短时恢复至原有加载状态,载荷与应变保持原有速率递增。当接近岩石破裂阶段时,应变稳定增加的特征逐渐消失,呈现出指数变化特征,表现为变化幅度显著增大,等时长内变形差距明显拉大。由此表明,当岩石加载接近临界破裂点时出现了明显的变形恢复慢化现象[12]。
理论上,表面电位作为监测煤岩失稳破坏的前兆信号,其伴随着岩样破裂过程而累积,在趋于失稳破坏的临界点时,岩样恢复至原有形态的速率将趋于零,其内部裂隙扩展,贯通速率不断加大,单位时间内自由电荷的转移与累积数量急剧增大,表面电位也会出现单位时间内电位信号涨落明显增大且持续时间拉长、恢复到旧相态的能力变小等一系列临界慢化特征。所以,可以将临界慢化原理用于顶板岩石失稳破坏过程电位信号特征的分析。
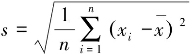
在统计中,方差(样本方差)是每个样本值与全体样本值的平均数之差的平方值的平均数,是描述样本中数据对均值偏离程度的特征量,记为s2,s为均方差。其计算公式分别为
(1)
(2)
式中:xi为第i个数据;n为样本数据个数;
为样本平均值。
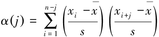
自相关系数是描述同一变量不同时刻之间相关性的统计量,将变量xi滞后长度为j的自相关系数记为α(j):
(3)
假设状态变量存在周期为Δt的受迫扰动,在扰动过程中呈近似指数关系,恢复速率为λ,在回归模型中可以描述为
yn+1=exp(λΔt)yn+s εn
(4)
式中:yn为系统变量到平衡态的偏离量;εn为符合正态分布的随机量。
如果λ和Δt不依赖于yn,则式(4)可简化为
yn+1=αyn+s εn
(5)
式中自相关系数α=exp(λΔt)。
通过方差来分析式(4)可得
(6)
式中Var()表示方差。
当系统向临界点趋近时,小幅度扰动的恢复速率会越来越小,恢复速率λ将趋近于0且自相关系数α趋近于1,方差趋近于无限大,因此,可以将方差和自相关系数增大作为系统趋近于临界点的前兆信号[16-19]。
采用临界慢化原理对某一复杂动力系统进行分析时,选择适当的窗口长度和滞后步长非常关键[20]。基于以往文献资料,选取窗口长度为300、滞后步长为30,对岩样1的电位数据进行处理分析,方差及自相关系数变化趋势如图3所示。
分析图3可知,电位信号的自相关系数开始波动比较杂乱,没有呈现出一定的变化趋势,在127.6 s时急剧增大并持续增加,超前岩样主破裂发生时间12.4 s。另外,方差在前期加载过程始终保持为0,在132.5 s时急剧上升并逐渐趋近于1,方差突增点超前岩样主破裂发生时间7.5 s。因此,岩样受载过程中表面电位信号存在临界慢化现象,电位-时间序列的自相关系数及方差在岩样失稳破坏前均出现了急剧增大并持续增加的趋势,可作为预示岩样破坏的前兆信号。

图3 岩样1表面电位临界慢化指标
Fig.3 Critical slowing down index of surface potential of specimen 1
滞后步长取30,窗口长度分别取200,300,400,500时电位信号的自相关系数及方差如图4所示。不同窗口长度下电位信号的自相关系数均在127.6 s急剧增大且持续增加。127.6 s前自相关系数较为波动,且窗口长度越大,自相关系数波动越平缓。方差在132.5 s时突然增大,突增点之前均为0,突增点之后,窗口长度越大,方差的上升幅度越小。因此,窗口长度对临界慢化前兆点基本没有影响,仅影响方差及自相关系数曲线的波动稳定性。

(a) 自相关系数

(b) 方差
图4 不同窗口长度下临界慢化指标
Fig.4 Critical slowing down index under different window lengths
窗口长度取300,滞后步长分别取10,20,30时电位信号的自相关系数及方差如图5所示。不同滞后步长下,方差的变化趋势相同,突增点同为132.5 s,比岩样主破裂时间提前7.5 s。总体来看,自相关系数波动比较剧烈,变化趋势比较杂乱,突增并持续增大的前兆点不易捕捉。另外,滞后步长对自相关系数的变化影响较大,滞后步长越大,前后序列数据间的相关性越弱,因此自相关系数突增点也不同。根据文献[19],对不同系统进行分析时,表征临界慢化现象的指标也不同,例如在气候变化及生态系统分析中,自相关系数为主要参照指标,而在渔业开采分析中,方差增大是主要的参照指标。综合比较,运用临界慢化理论对顶板岩石失稳破坏电位信号进行分析时,电位-时间序列的方差突增点更适合作为预示岩样即将破坏的前兆点。

(a) 自相关系数

(b) 方差
图5 不同滞后步长下临界慢化指标
Fig.5 Critical slowing down indexes under different hysteresis step lengths
由分析结果可知,采用临界慢化原理处理顶板岩石失稳破坏过程的电位信号效果良好。在岩样趋于主破裂时,表面电位信号的方差及自相关系数均提前出现突增并持续增大趋势,可作为预测岩样失稳破坏的前兆信息。与采用电位信号突增信号表征岩样破坏的方式相比,显著地提高了预测的准确性。作为表征电位信号临界慢化的指标,与自相关系数相比,方差产生的伪信号较少,变化趋势更为直观明显,前兆点更易于识别且不随滞后步长的不同而变化。作为表征顶板岩石趋于失稳破坏的前兆信号,方差变化优于自相关系数。
(1) 岩样受载过程中的表面电位信号存在临界慢化现象,电位信号的方差和自相关系数在岩样主破裂前均出现了急剧增大并持续增加的趋势,可作为预示岩样破坏的前兆信号。与仅用电位突变作为岩样破坏前兆信号相比,表面电位的方差和自相关系数突变点更能有效预示顶板岩石将发生失稳破坏。
(2) 不同的窗口长度、滞后步长对于表征岩样失稳破坏电位信号临界慢化现象的自相关系数及方差的波动稳定性及变化趋势有影响。滞后步长相同时,不同窗口长度对临界慢化前兆点基本没有影响,窗口长度越大,自相关系数波动越为平缓,方差在突增点后的增幅越小;窗口长度相同时,不同滞后步长对方差变化情况没有影响,滞后步长越大,前后序列数据间的相关性越弱,自相关系数突增点也会不同。
(3) 作为表征电位信号临界慢化的指标,相比于自相关系数,方差产生的伪信号更少,变化趋势更为直观明显,前兆点易于识别且更接近岩样主破裂时间。所以,作为表征顶板岩石趋于失稳破坏的前兆信号,方差变化优于自相关系数。
参考文献(References):
[1] 姜耀东, 潘一山, 姜福兴,等. 我国煤炭开采中的冲击地压机理和防治[J]. 煤炭学报, 2014, 39(2): 205-213.
JIANG Yaodong, PAN Yishan, JIANG Fuxing, et al. State of the art review on mechanism and prevention of coal bumps in China[J]. Journal of China Coal Society, 2014,39(2):205-213.
[2] 谢和平, 高峰, 鞠杨. 深部岩体力学研究与探索[J]. 岩石力学与工程学报, 2015, 34(11):2161-2178.
XIE Heping, GAO Feng, JU Yang. Research and development of rock mechanics in deep ground engineering[J]. Chinese Journal of Rock Mechanics & Engineering, 2015, 34(11):2161-2178.
[3] ECCLES D, SAMMONDS P R, CLINT O C. Laboratory studies of electrical potential during rock failure[J]. International Journal of Rock Mechanics & Mining Sciences, 2005,42(7):933-949.
[4] 李忠辉, 王恩元, 刘贞堂,等. 煤岩破坏表面电位特征规律研究[J]. 中国矿业大学学报, 2009, 38(2): 187-192.
LI Zhonghui, WANG Enyuan, LIU Zhentang, et al. Study on characteristics and rules of surface potential during coal fracture[J]. Journal of China University of Mining & Technology, 2009, 38(2):187-192.
[5] 王恩元, 李忠辉, 刘贞堂,等. 受载煤体表面电位效应的实验研究[J]. 地球物理学报, 2009,52(5): 1318-1325.
WANG Enyuan, LI Zhonghui, LIU Zhentang, et al. Experimental study on surface potential effect of coal under load[J]. Chinese Journal of Geophysics, 2009, 52(5): 1318-1325.
[6] 李忠辉, 王恩元, 何学秋. 煤岩破坏表面电位效应理论与机制研究[M]. 徐州:中国矿业大学出版社, 2013.
[7] 潘一山, 赵扬锋, 李国臻. 冲击地压预测的电荷感应技术及其应用[J]. 岩石力学与工程学报, 2012, 31(增刊2):3988-3993.
PAN Yishan, ZHAO Yangfeng, LI Guozhen. Charge-induced technique of rockburst prediction and its application[J]. Chinese Journal of Rock Mechanics & Engineering, 2012, 31(S2): 3988-3993.
[8] NIU Y, LI Z, KONG B, et al. Similar simulation study on the characteristics of electric potential response to coal mining[J]. Journal of Geophysics and Engineering, 2017,15(1):42.
[9] 郑文红, 潘一山, 李忠华,等. 三轴条件下煤体受压破裂电荷感应信号试验研究[J]. 工程地质学报, 2015, 23(5):924-929.
ZHENG Wenhong, PAN Yishan, LI Zhonghua, et al. Experimental study of characteristics about coal charge induction signal under triaxial stress condition[J]. Journal of Engineering Geology, 2015, 23(5): 924-929.
[10] TRIANTIS D, VALLIANATOS F, STAVRAKAS I, et al. Relaxation phenomena of electrical signal emissions from rock following application of abrupt mechanical stress[J]. Annals of Geophysics, 2012, 55(1):207-212.
[11] 高丽娟, 杨又陵, 刘建明,等. 新疆2次中强地震前的临界慢化现象研究[J]. 内陆地震, 2013,27(4): 311-318.
GAO Lijuan, YANG Youling, LIU Jianming, et al. Research on critical slowing down precursor before two moderate earthquakes in Xinjiang[J]. Inland Earthquake, 2013,27(4):311-318.
[12] 晏锐, 蒋长胜, 张浪平. 汶川8.0级地震前水氡浓度的临界慢化现象研究[J].地球物理学报,2011,54(7):1817-1826.
YAN Rui, JIANG Changsheng, ZHANG Langping. Study on critical slowing down phenomenon of radon concentrations in water before the Wenchuan M_s 8.0 earthquake[J]. Chinese Journal of Geophysics, 2011, 54(7):1817-1826.
[13] 吴浩, 侯威, 颜鹏程,等. 基于临界慢化现象的气候突变前兆信号的初步研究[J].物理学报,2012,61(20):561-569.
WU Hao, HOU Wei, YAN Pengcheng, et al. The preliminary research about the precursory signals of abrupt climate change based on critical slowing down phenomenon[J]. Acta Physica Sinica, 2012,61(20): 561-569.
[14] 吴浩, 侯威, 颜鹏程. 试用临界慢化原理探讨气候突变[J]. 物理学报,2013,62(3):548-558.
WU Hao, HOU Wei, YAN Pengcheng, et al. Using the principle of critical slowing down to discuss the abrupt climate change[J]. Acta Physica Sinica,2013,62(3):548-558.
[15] KONG X, WANG E, HU S, et al. Critical slowing down on acoustic emission characteristics of coal containing methane[J]. Journal of Natural Gas Science & Engineering, 2015, 24:156-165.
[16] 于渌,郝柏林. 相变和临界现象[M]. 北京: 科学出版社, 1984.
[17] VAN NES E H, SCHEFFER M. Slow recovery from perturbations as a generic indicator of a nearby catastrophic shift[J]. American Naturalist, 2007, 169(6):738-747.
[18] OVASKAINEN O, HANSKI I. Transient dynamics in metapopulation response to perturbation[J]. Theoretical Population Biology, 2002, 61(3): 285-295.
[19] SCHEFFER M, BASCOMPTE J, BROCK W A,et al. Early-warning signals for critical transitions[J]. Nature, 2009,461(7260):53-59.
[20] 陈亮. 掘进工作面煤与瓦斯突出实时监测预警技术研究[D]. 徐州:中国矿业大学, 2016.