郭思雯,陶玉帆,李超
(中国矿业大学(北京) 机电与信息工程学院,北京 100083)
摘要:现有瓦斯浓度预测方法只能实现瓦斯浓度的静态预测,不能随着瓦斯数据的累积而及时更新,从而导致预测结果不具有及时性。 针对该问题,提出了一种基于时间序列的瓦斯浓度动态预测方法。利用小波分解技术的多分辨率特性,将瓦斯浓度时间序列分解到不同尺度上,使时间序列平稳化;通过实时动态构建的自回归滑动平均(ARMA)模型,利用过去瓦斯浓度变化趋势预测未来一段时间的矿井瓦斯浓度值,得到时间序列预测结果;为提高瓦斯浓度预测精度,将ARMA模型的预测结果与矿井环境参数输入到训练好的BP神经网络模型中,通过BP神经网络模型对预测结果进行修正,从而获得最终的瓦斯浓度预测值。测试结果表明,该方法可对矿井瓦斯浓度进行准确预测,瓦斯体积分数预测平均相对误差从8%降低到了5%。
关键词:矿井瓦斯浓度预测;瓦斯浓度动态预测; 时间序列;小波分解;自回归滑动平均模型;BP神经网络
中图分类号:TD712
文献标志码:A
网络出版地址:http://kns.cnki.net/kcms/detail/32.1627.TP.20180725.1519.001.html
GUO Siwen, TAO Yufan, LI Chao
(School of Mechanical Electronic and Information Engineering, China University of Mining and Technology(Beijing), Beijing 100083, China)
Abstract:Existing gas concentration prediction methods could only achieve static gas concentration prediction, could not update with accumulation of gas data, as a result, the prediction results were not timeliness. In view of the above problem, a dynamic prediction method of gas concentration based on time series was proposed. Firstly, the method uses multi-resolution characteristic of wavelet decomposition technique to decompose the gas concentration time series to different scales to make the time series smooth. Then it adopts auto regressive and moving average(ARMA) model constructed by real-time and dynamic data to predict mine gas concentration in the future time by use of gas concentration change trend in the past time, so as to obtain time series prediction results. Finally, in order to improve the accuracy of the gas concentration prediction, the prediction results of the ARMA model and mine environment parameters are input into the trained BP neural network model, and the prediction results are corrected by the BP neural network model, so as to obtain final gas concentration prediction value. The test results show that the method can accurately predict the mine gas concentration, and the average relative error of gas concentration prediction is reduced from 8% to 5%.
Key words:mine gas concentration prediction; dynamic prediction of gas concentration; time series; wavelet decomposition; auto regressive and moving average model; BP neural network
文章编号:1671-251X(2018)09-0020-06 DOI:10.13272/j.issn.1671-251x.2018040051
收稿日期:2018-04-18;
修回日期:2018-07-23;
责任编辑:张强。
作者简介:郭思雯(1993-),女,河北石家庄人,硕士研究生,主要研究方向为计算机应用,E-mail:gswcumtb@163.com。
引用格式:郭思雯,陶玉帆,李超.基于时间序列的瓦斯浓度动态预测[J].工矿自动化,2018,44(9):20-25.
GUO Siwen,TAO Yufan,LI Chao.Dynamic prediction of gas concentration based on time series[J].Industry and Mine Automation,2018,44(9):20-25.
矿井瓦斯浓度是煤矿安全生产的重要指标之一,关系着煤矿生产和矿工的生命安全,因此,掌握矿井瓦斯浓度变化规律,对瓦斯浓度进行精准预测显得尤为重要[1]。
国内外许多专家学者针对瓦斯浓度预测问题进行了大量研究工作,提出了一系列的方法,如基于灰色系统理论的预测方法、基于人工神经网络和模糊时间序列预测模型等的预测方法,不同的预测方法在瓦斯浓度预测过程中有不同的特点和适用范围。煤矿瓦斯浓度变化的影响因素众多,各种因素之间呈现复杂的非线性关系[2],并且系统中的影响因素数据并非完全已知,此时对原始数据建立灰色预测模型,在不需要知道所有影响因素历史数据的情况下,能够迅速且准确地对瓦斯浓度进行预测,但是,由于灰色理论引入灰导数和背景值等概念,使白化微分方程变为背景变量形式,导致模型精度不高[3-4],从而导致预测精度也不高。基于人工神经网络的预测方法能够很好地处理非线性信息,解决了瓦斯浓度预测多变量非线性的复杂问题,但由于神经网络结构的选择尚无统一而完整的理论指导,输入神经元的选择上主观因素影响较大,建模缺乏一定的科学性和理论性[5-6]。神经网络模型的实质是梯度下降法,是一种局部搜索优化方法,其权值是沿局部梯度下降最快的方向逐渐进行调整的,不仅模型的收敛速度慢,而且容易使算法陷入局部极值,导致训练失败。瓦斯浓度时间序列含有瓦斯浓度变化的特征信息,通过非线性理论分析瓦斯浓度时间序列的特征和规律,已经成为煤矿瓦斯浓度预测的主流趋势。基于模糊时间序列预测模型的预测方法通过重构时间序列,模仿瓦斯浓度的空间性质,构建瓦斯浓度预测模型,能够准确预测瓦斯浓度变化趋势,其不足之处在于模型参数较多,求解过程繁琐[7]。
由于基于灰色系统理论的预测方法、基于神经网络的预测方法皆为静态方法,不能随着瓦斯数据的累积而及时更新,只能进行瓦斯浓度的静态预测,导致预测结果不具有实时性。而时间序列预测方法利用矿井瓦斯的实时值,结合瓦斯浓度的实时变化趋势,可对未来一段时间的瓦斯浓度进行预测。鉴此,本文提出了一种基于时间序列的瓦斯浓度动态预测方法,该方法采用ARMA(Auto Regressive and Moving Average,自回归滑动平均)模型和BP神经网络结合的方法对瓦斯浓度进行分析预测,利用过去瓦斯浓度变化趋势预测未来的发展,并将ARMA模型预测结果与矿井环境数据相结合,提高了瓦斯浓度预测的精度。
基于时间序列的瓦斯浓度动态预测方法通过对时间序列平稳化处理和模式识别来确定各个模型参数,并进行模型评估和诊断,最后进行预测。由于煤矿井下瓦斯浓度变化的复杂性,使得瓦斯时间序列数据本身呈现非平稳特性,所以,引入小波分解技术,利用其多分辨率的特性,对瓦斯浓度时间序列进行3阶离散小波分解,并分解到不同尺度上,使时间序列平稳化;然后对分解得到的3组数据分别进行分析处理,确定ARMA模型参数,利用训练好的ARMA模型进行瓦斯浓度预测,对3组预测结果进行重构,以恢复到原始空间尺度,得到时间序列预测结果。最后,将ARMA模型预测的瓦斯浓度与矿井环境参数输入到训练好的BP神经网络模型中,获得最终瓦斯浓度预测值。瓦斯浓度预测过程如图1所示。其中Train为训练数据集,Predict为预测集,Result为最终预测结果,A2,D2,D1为训练集小波分解后的分量。

图1 瓦斯浓度预测过程
Fig.1 Gas concentration prediction process
由于瓦斯浓度序列为非平稳时间序列,利用小波分解技术对训练数据集进行处理,将输入信号分解到不同的频率通道上,经过分解后的信号在频率成分上比原始信号单一,且小波分解对信号进行了平滑,使非平稳序列平稳化。
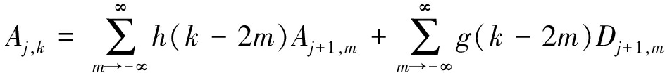
小波变换的基本思想是对原始数据进行小波分解与重构[12-14],在离散小波变换中,在空间Vj=Vj-1+Wj-1上表示信号,即对于每一个在Vj上的信号x(t)都能分解到上述2个空间中。本文采用Mallat算法[11]将信号逐层分解,将上一次分解得到的低频信号再次分解为低频和高频2个部分。Mallat分解公式为

(1)
式中:Aj,m为小波信号在第j层的低频信号,m为进行平移操作的参数;Dj,m为小波信号在第j层的高频信号;h为小波分解时的低通滤波器;g为小波分解时的高通滤波器;k=2m+n,h(n),g(n)为进行时间伸缩和平移前的低通滤波器和高通滤波器。
经分解预测后的数据可以通过重构算法进行重构,使其恢复到原始空间尺度,重构方程为
(2)
本文采用Daubechies小波作为基函数对矿井瓦斯浓度时间序列进行3阶离散小波分解,经过1次分解后得到的3组时间序列数据归于平稳化,根据ARMA模型建立过程,分别对3组数据构建时间序列瓦斯浓度预测模型,并对预测结果进行小波重构。
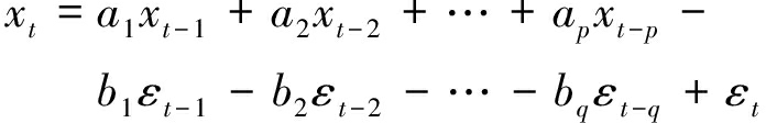
ARMA时间序列分析是基于随机过程理论和数理统计的一种重要方法[7-9],可实现平稳时间序列模拟和预测,其优点在于建立精确的模型并确立模型系数后,可以根据有限的数据集对其未来发展进行预测。ARMA模型由于其灵活性和可行性,被广泛应用于瓦斯预测中,能够很好地模拟时间序列的变化趋势,对瓦斯浓度变化进行动态预测。ARMA模型由AR(p)和MA(q)两部分组成,其数学公式为
(3)
式中:xt为t时刻瓦斯浓度预测值;ap为第p个自回归系数,p为自回归项;xt-p为t时刻之前第p时刻的瓦斯浓度真实值;bq为第q个滑动平均系数,q为移动平均项;{εt}~N(0,σ2),为白噪声序列。
ARMA模型识别主要依赖于对自相关系数和偏自相关系数的截尾和拖尾分析。若偏自相关系数p步之后迅速减小,即截尾,则p值确定,若同时自相关系数不截尾,此时模型参数q=0,ARMA(p,q)模型变成AR(p);反之,当p=0,q≠0时,模型变成MA(q)。利用时间序列的自相关系数和偏自相关系数确定模型的阶数p,q的取值。
对同一个时间序列,可能有多个合适的ARMA模型,因此,引入信息准则概念来选择其中的最优模型。本文结合赤池信息准则(Akaike Information Criterion,AIC)和贝叶斯信息准则(Bayesian Information Criterion,BIC)来衡量模型的优良性[10-11],寻求模型精度和泛化能力的平衡,从而避免过高的模型精度带来的过拟合效应。一般认为AIC和BIC最小的模型即为最优模型。
模型阶数确定后,需要利用最小二乘法对模型进行检验,分析残差序列是否为白噪声序列,判定模型的正确性。根据评估和检验结果,最后选择合适的ARMA模型对瓦斯浓度进行预测,通过计算预测值与真实值之间的平均相对误差确定预测模型的精度。
利用“滑动窗口”的思想实现瓦斯浓度的动态预测。初始时间序列为{xt,xt+1,…,xt+N-1},长度为N,预测模型以当前数据小波分解后的训练样本建立,并预测当前序列之后的20个数据点;预测完成后窗口向后滑动W个数据点,重新建立新的ARMA模型并进行预测。
ARMA模型预测结果虽然符合实际瓦斯浓度变化趋势,但相对误差仍然较大。瓦斯浓度变化从来都不是单一因素导致的,即只利用历史瓦斯浓度对其进行预测,忽略环境因素的影响是不合理的。因此,结合井下瓦斯浓度的影响因素,如矿井温度、风速、湿度、采掘深度等,对ARMA模型预测结果进行修正。瓦斯浓度的变化规律一般为非线性的,很难建立相应的数学模型,为了更合理准确地模拟瓦斯浓度变化规律,采用BP神经网络对预测结果进行拟合修正。BP神经网络是一种按照误差逆向传播算法训练的多层前馈神经网络,对非线性系统有很好的拟合能力[15-17]。 用于瓦斯浓度预测的BP神经网络结构如图2所示。

图2 用于瓦斯浓度预测的BP神经网络结构
Fig.2 Structure of BP neural network for prediction of gas concentration
BP神经网络通过对样本主要特征的学习模拟信息间的内在机制,对预测结果进行修正, 修正的实质是通过选择合适的神经网络模型,以“无限”逼近实际系统。以瓦斯浓度预测值和环境参数作为网络输入,瓦斯浓度作为网络的输出,模型通过对已有数据集的学习,模拟环境参数对瓦斯浓度变化的影响规律,将ARMA模型瓦斯浓度预测值与矿井环境参数相结合,提高了瓦斯浓度预测的精确度和容错能力。
BP神经网络由输入层、隐含层和输出层组成,各层神经元之间的连接被赋予权值而作用在整个网络上,并通过激活函数计算对应的输出。神经网络理论已经证明,只要隐含层节点足够多,神经网络可以逼近任何有限间断点的非线性函数[18],但隐含层节点越多,模型精度提高的同时,神经网络泛化能力也随之下降。结合多方原因及多次实验结果,本文最终采用3层结构神经网络对瓦斯浓度数据进行训练,其训练过程主要分为2个部分:数据前向传播预测和反向传播权值更新。
由于输入数据单位不一致,在进行网络模型训练之前需要对输入数据集进行归一化处理,利用式(4)将瓦斯浓度预测值、风速、温湿度数据换算到[0,1]区间,利用式(5)对输出层数据进行反归一化处理。
(4)
x=y(l1-l2)+l2
(5)
式中:x,y分别为归一化前后的数据;l1,l2分别为样本最大值和最小值。
前向传播时样本从输入层输入,经过隐含层处理后传向输出层,在隐含层中,第i个神经元的输出a1i为
(6)
式中:f为激活函数;r为输入神经元个数;w0ij为输入层第j个神经元到隐含层第i个神经元的权值;a0j为输入层第j个神经元;b1i为输入层连接到隐含层第i个神经元的偏置项。
瓦斯浓度修正值,即输出神经元a2为
(7)
式中:s为隐含层的神经元个数;w1i为隐含层第i个神经元到输出神经元的权值;b2为隐含层连接到输出层神经元的偏置,采用最小均方误差作为代价函数J(w),J(w)=
(y-a2)2。
将输出层结果与实际瓦斯浓度的误差反向传回输入层,进行权值更新,主要工作是求解每一层权重的梯度。隐含层到输出层的权重梯度和输入层到隐含层的权重梯度分别为
-(y-f(w1ia1i))f′(w1ia1i)a1i=
(8)
-(y-f(w1ia1i))f′(w1ia1i)w1i×
(9)
式中da2和da1i分别表示输出节点和隐含层第i个神经元与实际值的残差。
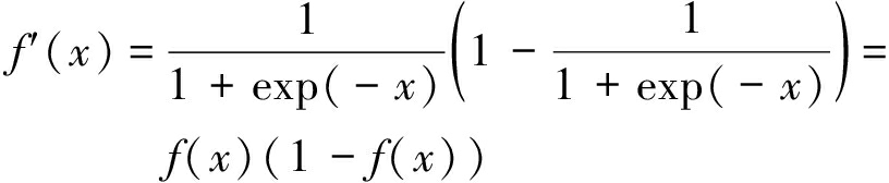
瓦斯浓度变化呈现明显的非线性和复杂性,激活函数应为非线性函数,结合多方考虑,选择sigmoid函数作为激活函数,其表达式和一阶导数公式为
(10)

(11)
为验证基于时间序列的瓦斯浓度动态预测方法的有效性,利用某矿区采煤工作面2016年11月10—15日的480个数据(时间间隔为15 min)作为训练集,预测未来5 h的瓦斯浓度。
利用db4小波变换将原始瓦斯浓度时间序列进行3级进尺的db4小波变换,对小波变换后的3组时间序列进行自相关和偏相关系数检验,检验结果均为平稳时间序列。结合自相关系数和偏自相关系数的截尾和拖尾情况,确定RAMA模型的参数p,q取值;根据AIC,BIC准则,结合所有模型的实际拟合效果选择其中的最优模型。利用建立好的ARMA模型对3组时间序列进行预测,将预测结果进行小波重构。
小波分解+ARMA模型的瓦斯体积分数预测值与实测值比较结果见表2。从表2可看出,瓦斯体积分数的预测平均相对误差为8.24%,预测精度相对较高。
ARIMA(Autoregressive Integrated Moving Average,自回归积分滑动平均)模型也是时间序列预测的一种常用模型,主要针对非平稳时间序列,该模型通过d阶差分运算使时间序列平稳化后建立ARMA模型进行预测。小波分解+ARMA模型与ARIMA模型的瓦斯体积分数预测值比较如图3所示。从图3可看出,小波分解+ARMA模型预测结果明显优于ARIMA模型预测结果,预测精度更高。但相对目前瓦斯浓度预测现状,小波分解+ARMA模型预测的误差相对较大。为了进一步提高预测精度,降低预测误差,利用BP神经网络对时间序列预测结果进行修正。
表2 小波分解+ARMA模型的瓦斯体积分数预测值与实测值比较结果
Table 2 Comparison results of predicted value with measured value of gas concentration of wavelet decomposition + ARMA model


图3 小波分解+ARMA模型与ARIMA模型的瓦斯体积分数预测值比较
Fig.3 Comparison of predictive value of gas concentration between wavelet decomposition + ARMA model and ARIMA model
利用2016年11月10—15日的数据预测16日00:00—05:00的瓦斯浓度值,之后利用“滑动窗口”思想将瓦斯浓度时间序列向后滑动5 h,预测16日05:00—10:00的瓦斯浓度,依此类推,得到2016年11月16—17日的瓦斯浓度预测值,将ARMA模型预测得到的192组数据结合矿井环境参数组成BP神经网络的训练样本。
经过多次测试,设隐含层节点数为8。设定训练次数为10 000次,学习速率为0.05,训练目标设置为0.001,对训练样本进行迭代训练,确定BP神经网络模型参数。
对构建好的瓦斯浓度预测模型进行泛化测试与评估,将2016年11月13—17日的瓦斯体积分数作为ARMA模型的输入数据集,对未来5 h的数据进行预测,将预测结果与11月17日矿井的风速、温湿度数据输入到BP神经网络模型中对预测结果进行修正。BP神经网络修正前后瓦斯体积分数预测结果对比如图4所示。从图4可看出,经BP神经网络修正后的预测模型精确度和可靠性进一步提高了,通过计算,修正后的瓦斯体积分数预测平均相对误差降低至5%,相对误差更小。

图4 BP神经网络修正前后瓦斯体积分数预测结果对比
Fig.4 Comparison of prediction results of gas concentration before and after BP neural network correction
(1) 提出了一种基于时间序列的瓦斯浓度动态预测方法,利用瓦斯浓度时间序列实时动态建立ARMA预测模型,根据瓦斯浓度变化趋势对未来瓦斯浓度进行预测,实现了矿井瓦斯浓度的动态预测,平均相对误差达8.24%,预测精度较高。
(2) 为了提高ARMA模型瓦斯预测的准确性,将预测结果和矿井环境参数一起作为BP神经网络模型的输入,模拟环境对瓦斯浓度的影响规律,对预测结果进行修正。
(3) 通过某矿区采煤工作面实际数据仿真分析可以看出,基于时间序列的瓦斯浓度动态预测方法能够准确预测矿井瓦斯浓度,经过BP神经网络模型修正后,瓦斯体积分数预测平均相对误差由8%降至5%,预测精度进一步提高。测试结果表明,该方法能够对矿井瓦斯浓度进行合理预测,对于预防瓦斯浓度超限及瓦斯爆炸有一定的指导作用,为煤矿提前采取安全防范措施提供了依据。
参考文献(References):
[1] 朱志洁,张宏伟,韩军,等.基于PCA-BP神经网络的煤与瓦斯突出预测研究[J].中国安全科学学报,2013,23(4):45-50.
ZHU Zhijie,ZHANG Hongwei,HAN Jun,et al.Prediction of coal and gas outburst based on PCA-BP neural network[J].China Safety Science Journal,2013,23(4):45-50.
[2] 秦汝祥,张国枢,杨应迪.瓦斯涌出异常预报煤与瓦斯突出[J].煤炭学报,2006,31(5):599-602.
QIN Ruxiang,ZHANG Guoshu,YANG Yingdi.Predicting coal and gas outburst with monitored gas consistence[J].Journal of China Coal Society,2006,31(5):599-602.
[3] 刘思峰,党耀国.灰色系统理论及其应用 [M].5版.北京:科学出版社,2010.
[4] 高锡擎,王来斌,沈金山,等.基于灰色关联度BP神经网络预测煤层瓦斯含量[J].煤炭技术,2011,30(8):102-104.
GAO Xiqing,WANG Laibin,SHEN Jinshan,et al.Prediction of seam gas content based on grey correlation degree and BP neural network[J].Coal Technology,2011,30(8):102-104.
[5] 马科伟,袁梅,李波波.人工神经网络在矿井监测监控数据中的预测研究[J].煤矿安全,2010,41(8):88-90.
MA Kewei,YUAN Mei,LI Bobo.The research on the prediction of measured data on collieries with artificial neural networks[J].Safety in Coal Mines,2010,41(8):88-90.
[6] 姚青华,邱本花.基于改进BP神经网络的矿井瓦斯浓度预测算法[J].煤炭技术,2017,36(5):182-184.
YAO Qinghua,QIU Benhua.Prediction algorithm of gas concentration in coal mine based on improved BP neural network [J].Coal Technology,2017,36(5):182-184.
[7] 王江荣,文晖,罗资琴.基于模糊时间序列的工作面瓦斯浓度预测分析[J].现代矿业,2015(1):21-24.
WANG Jiangrong,WEN Hui,LUO Ziqin.Prediction and analysis of the gas concentration of working face based on fuzzy time series [J].Modern Mining,2015(1):21-24.
[8] 孟海东,孙搏,司子稳,等.基于时间序列的矿井瓦斯涌出量预测方法[J].工矿自动化,2010,36(12):24-27.
MENG Haidong,SUN Bo,SI Ziwen,et al. Prediction method of mine gas emission based on time series [J].Industry and Mine Automation,2010,36(12):24-27.
[9] 常太华,王璐,马巍.基于AR、ARIMA模型的风速预测[J].华东电力,2010,38(1):66-69.
CHANG Taihua,WANG Lu,MA Wei.Wind speed prediction based on AR,ARIMA model[J].East China Electric Power,2010,38(1):66-69.
[10] 邵良杉,张宇.基于小波理论的支持向量机瓦斯涌出量的预测[J].煤炭学报,2011,36(增刊1):104-107.
SHAO Liangshan,ZHANG Yu.Mine gas gushing forecasting based on wavelet theory support vector machine[J].Journal of China Coal Society,2011,36(S1):104-107.
[11] 马秀红,曹继平,董晟飞.小波分析及其应用[J].微机发展,2003,13(8):93-94.
MA Xiuhong,CAO Jiping,DONG Shengfei.Wavelet analysis and application[J].Microcomputer Development,2003,13(8):93-94.
[12] INOUSSA G.基于改进的神经网络自回归模型的非线性时间序列建模和预测[D].长沙:中南大学,2012.
[13] 王江荣.基于小波分析的最小二乘拟合及应用[J].自动化仪表,2012,33(2):19-21.
WANG Jiangrong.Application of the least square fitting based on wavelet analysis[J].Process Automation Instrumentation,2012,33(2):19-21.
[14] 崔锦泰.小波分析导论[M].西安:西安交通大学出版社,1995.
[15] 刘璋温.赤池信息量准则 AIC 及其意义[J].数学的实践与认识,1980(3):65-73.
[16] 刘奕君,赵强,郝文利.基于遗传算法优化BP神经网络的瓦斯浓度预测研究[J].矿业安全与环保,2015,42(2):56-60.
LIU Yijun,ZHAO Qiang,HAO Wenli.Study of gas concentration prediction based on genetic algorithm and optimizing BP neural network [J].Mining Safety & Environmental Protection,2015,42(2):56-60.
[17] 吕淑萍,赵咏梅.基于小波神经网络的时间序列预报方法及应用[J].哈尔滨工程大学学报,2004,25(2):180-182.
LYU Shuping,ZHAO Yongmei.The method and application of time series prediction based wavelet neural network [J].Journal of Harbin Engineering University,2004,25(2):180-182.
[18] OZKAYA B,DEMIR A,BILGILI M S.Neural network prediction model for the methane fraction in biogas from field-scale landfill bioreactors[J].Environmental Modelling & Software,2007,22(6):815-822.