分析研究
赵晓霞1,孟文俊1,赵慧娟2,张君1,3,陈昱璇4
(1.太原科技大学 机械工程学院,山西 太原 030024;2.太原科技大学 晋城校区,山西 晋城 048000;3.中国煤炭科工集团太原研究院有限公司,山西 太原 030006;4.中国市政工程华北设计研究总院有限公司,天津 300074)
摘要:针对埋刮板输送机在输送不同物料时存在刮板节距如何确定的问题,以MS型、MC型埋刮板输送机为研究对象,分析了刮板面积、机槽高度与宽度、输送物料等影响因素对刮板节距的影响规律。分析结果表明,相比较而言,输送物料的不同对刮板节距的影响较大。对于MS型埋刮板输送机,在其他因素不变的情况下,刮板节距随着刮板面积的增大而增大,随着机槽宽度与高度的增大而减小;不同的物料由于内摩擦角不同,刮板节距呈现先减小后增大的情况,在25°左右达到最小值。对于MC型埋刮板输送机,当增大刮板宽度时,刮板节距减小;而增大刮板高度时,刮板节距随之增大;当输送内摩擦角为30°的物料时,刮板节距为最小值。
关键词:埋刮板输送机;物料输送;刮板节距;运行阻力;摩擦力
中图分类号:TD634
文献标志码:A
网络出版地址:http://kns.cnki.net/kcms/detail/32.1627.tp.20180823.0840.002.html
ZHAO Xiaoxia1, MENG Wenjun1, ZHAO Huijuan2, ZHANG Jun1,3, CHEN Yuxuan4
(1.School of Mechanical Engineering, Taiyuan University of Science and Technology, Taiyuan 030024, China; 2.The Jincheng Campus, Taiyuan University of Science and Technology, Jincheng 048000, China; 3.CCTEG Taiyuan Institute, Taiyuan 030006, China;4.North China Municipal Engineering Design & Research Institute Co. Ltd., Tianjin 300074, China)
Abstract:In order to solve problem of how to determine scraper pitch when en-masse conveyors transported different materials,MS and MC en-masse conveyors were taken as the research object, the influence law of the scraper area, conveying material, machine slot height and width on the scraper pitch were analyzed. The analysis results show that the different conveying materials have a great influence on the scraper pitch. For MS en-masse conveyor, the scraper pitch increases with increasing of the scraper area and decreases with increasing of slot width and height when other factors remain unchanged. Because the internal friction angles of different material are different, scraper pitch decreases first and then increases, at about 25° to the minimum. For the MC en-masse conveyor, scraper pitch decreases as the scraper width increases, and increases as the scraper height increases. When the internal friction angle is about 30°, the minimum value of scraper pitch is obtained.
Key words:en-masse conveyor; material transportation; scraper pitch; running resistance; friction
文章编号:1671-251X(2018)09-0010-05 DOI:10.13272/j.issn.1671-251x.2018030001
收稿日期:2018-03-01;
修回日期:2018-07-20;
责任编辑:张强。
基金项目:国家自然科学基金项目(51575370);山西省回国留学人员科研项目(2016-094);山西省煤基重点科技攻关项目(MJ2014-09)。
作者简介:赵晓霞(1989-),女,山西新绛人,博士研究生,主要研究方向为连续装卸输送机械设计及理论研究、机械系统智能控制与动态检测技术,E-mail:morningdian@163.com。
引用格式:赵晓霞,孟文俊,赵慧娟,等.埋刮板输送机刮板节距的影响因素分析[J].工矿自动化,2018,44(9):10-14.
ZHAO Xiaoxia, MENG Wenjun, ZHAO Huijuan, et al. Analysis of influencing factors of scraper pitch of en-masse conveyor[J].Industry and Mine Automation,2018,44(9):10-14.
作为一种在封闭壳体内进行工作的运输设备,埋刮板输送机利用运动的刮板链条连续输送散料。埋刮板输送机是由刮板输送机演变而来的,但两者有着明显的区别:刮板输送机由其内部所有刮板推动散料,以实现散料的输送;而埋刮板输送机运行时,与散料形成连续整体的料流一起向前运动,这是因为其刮板与链条埋在被输送的物料之中。散料具有内摩擦力,并且会对垂直侧壁产生压力,埋刮板输送机就是利用这个原理使得物料层的内摩擦力大于物料与机槽之间的外摩擦力,以实现物料的运动[1-3]。
多年来,诸多学者对埋刮板输送机的机理进行了大量的研究。卢来印等[4]从多方面阐述了埋刮板输送机与链斗式输送机在输送循环流化床锅炉底渣的优缺点。徐乃兵等[5]对埋刮板输送机选型的确定及一些注意事项进行了探讨。孟文俊等[6]对水平型大运量埋刮板输送机分别进行了静态分析与动态分析,并对刮板链条最大张力进行了详细的理论分析和试验研究。詹国春等[7]根据火力发电厂的工矿要求对输送煤的埋刮板输送机的设计选型、使用要求、操作注意事项分别进行了介绍。结合某运输机械厂生产的埋刮板输送机的市场调查报告,余汪洋[8]对埋刮板输送机运煤故障与预防措施进行了分析。其他学者[9-11]也对埋刮板输送机的输送原理、性能及链轮进行了研究。以上研究成果大多是涉及埋刮板输送机的设计选型、原理及故障诊断等方面,研究深度尚浅,且没有对刮板节距进行相关研究。刮板作为埋刮板输送机的关键部件,通常在其设计过程中主要考虑刮板的结构型式与承载能力,而对刮板节距的确定却不够重视,但是事实表明,刮板节距的确定是至关重要的一步,它的设计直接关系到埋刮板输送机的安全运行。刮板节距的确定与很多因素有关,本文以MS型与MC型埋刮板输送机为研究对象,对刮板节距的各影响因素进行详细分析,为埋刮板输送机工程设计提供借鉴。
散体物料的研究本身较复杂,埋刮板输送机内物料的理论分析就更为困难。为便于研究,作如下假设:① 刮板四周与机筒的间隙很小。② 对每段刮板节距内物料进行分析时,其所受的侧压力随物料深度的增加而线性增大。本文以MS型与MC型通用的U型刮板为研究对象进行研究,如图1所示。

(a) 主视图

(b) 左视图
图1 U型刮板
Fig.1 U-scraper
在机槽内均匀的物料流稳定运行时,每一块刮板对物料的作用力相等,换言之,每段刮板节距内物料的受力情况相同,下面以其中一段刮板节距内物料为对象进行研究。
机槽内的物料除了对机槽底部产生正压力F1外,同时还对机槽侧壁产生侧压力F2,F1和最大侧压力F2max分别为
F1=γHg
(1)
F2max=λ0F1
(2)
式中:γ为物料的堆积密度,kg/m3;H为机槽高度,m;g为重力加速度,m/s2;λ0为物料的静侧压系数。
机槽底部对运输物料的摩擦力为
W1=BtsF1f1
(3)
机槽侧壁对运输物料的摩擦力为
W2=F2maxHtsf1
(4)
式中:B为机槽宽度,m;ts为MS型埋刮板输送机机槽刮板节距,m;f1为机槽对物料的摩擦系数。
物料的运行阻力为
W=W1+W2=γHgtsf1(B+λ0H)
(5)
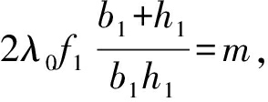
通常埋刮板输送机内的散体物料作为整体,按照要求沿固定方向稳定运行。一旦物料局部所受压力超过其稳定临界值,就会导致物料的稳定性被破坏。设该U型刮板对物料的推力为T,高为h1,宽为b1,厚度为b,则刮板面积为A=b1b+2(h1-b)b。
当埋刮板输送机稳定运行时,在刮板推力作用下单位面积上的压力为
p=T/A
(6)
刮板节距内物料的平均压力为
(7)
当物料受到局部压力时,其保持整体运行的条件为
(8)
式中λ1为物料的被动侧压系数。
由式(6)—式(8)得
(9)
对单段刮板节距内物料进行受力分析,根据稳定运行时的受力平衡,得到机槽的摩擦阻力与刮板推力相等,即T=W,则
(10)
以输送碎煤为例,MS型埋刮板输送机刮板的面积、机槽宽度及高度对其刮板节距的影响规律如图2—图4所示。当埋刮板输送机输送不同物料时,物料与刮板节距的关系如图5所示。

图2 刮板面积与刮板节距的关系
Fig.2 Relation between scraper area and scraper pitch
从图2—图5可看出,随着刮板面积的增大,MS型埋刮板输送机刮板节距也随之增大。在其他参数不变的情况下,刮板节距随着机槽宽度与高度的增大而减小。不同的物料由于内摩擦角不同,刮板节距呈现先减小而后增大的情况,在25°左右达到最小值。
散体作为整体运行主要由2个因素决定:一是水平段产生的散体垂直方向的压力P1;二是刮板自身的包围系数ψ。ψ的表达式为

图3 机槽宽度与刮板节距的关系
Fig.3 Relation between machine slot width and scraper pitch

图4 机槽高度与刮板节距的关系
Fig.4 Relation between machine slot height and scraper pitch

图5 不同物料与刮板节距的关系
Fig.5 Relation between different materials and scraper pitch
ψ=L2/(L1+L2)
(11)
式中:L1为刮板外圈周长,L1=b1+2h1+2b,m;L2为刮板内圈周长,L2=(b1-2b)+2(h1-b),m。
内层物料受到外层物料的内摩擦力为
F3=λ0P1L2tcf2g
(12)
内层物料质量为
G=(b1-2b)(h1-b)tcγg
(13)
式中:P1为刮板对外层物料垂直向上的压力,N;f2为物料内摩擦系数;tc为MC型埋刮板输送机刮板节距,m。
根据散料整体运行条件可得
F3=G
(14)
将式(12)、式(13)代入式(14)得
(15)
这一压力由水平段产生,垂直输送时物料在这一压力的作用下形成整体向上输送。
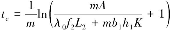
物料所受总阻力W为物料自身质量与料槽4个侧面外摩擦力之和。取一厚度为dz的薄层物料为研究对象,则该薄层物料的重力为
dW1=b1h1γgdz
(16)
料槽对该薄层物料的外摩擦力为
dW2=2(b1+h1)λ0q1f1gdz
(17)
式中q1为薄层物料的顶面压力。
则该薄层物料的总运行阻力为
dW=dW1+dW2
(18)
令
对式(18)进行定积分可得
(19)
式中K为失稳系数。
刮板对物料的推力数学模型为
T=P1A
(20)
刮板稳定运行的条件为
T=W
(21)
则可得此情况下的刮板节距为
(22)
式(22)即为MC型埋刮板输送机刮板节距的数学模型。
以输送碎煤为例,根据推导得到的MC型埋刮板输送机刮板节距数学模型可以看出,该数学模型较复杂,影响因素与MS型不同,以下分析刮板宽度、刮板高度、不同物料对其影响规律,结果如图6—图8所示。
从图6—图8可看出,刮板宽度与刮板高度的影响规律不同,前者表现为下降曲线,即当增大刮板宽度时,刮板节距减小;后者表现为上升曲线,即当刮板高度增大时,刮板节距增大;不同物料的输送对刮板节距有所影响,曲线同样为先下降然后上升的趋势,当物料的内摩擦角为30°左右时,刮板节距为最小值。

图6 刮板宽度与刮板节距的关系
Fig.6 Relation between scraper width and scraper pitch

图7 刮板高度与刮板节距的关系
Fig.7 Relation between scraper height and scraper pitch

图8 不同物料与刮板节距的关系
Fig.8 Relation between different materials and scraper pitch
(1) 对于MS型与MC型埋刮板输送机,影响其刮板节距取值的因素有刮板面积、机槽尺寸及输送物料等。
(2) MS型埋刮板输送机刮板面积与机槽尺寸对刮板节距的影响规律不同,当其他影响因素保持不变时,增加机槽尺寸,刮板节距随之减小;减小机槽尺寸,刮板节距随之增大;刮板面积对刮板节距的影响正好相反,刮板节距随刮板面积的增大而增大,随刮板面积的减小而减小。
(3) 对于MC型埋刮板输送机,当增大刮板宽度时,刮板节距减小;而增大刮板高度时,刮板节距随之增大。
(4) 输送物料的不同对不同形式的埋刮板输送机刮板节距的影响较大。对于MS型埋刮板输送机,当输送内摩擦角为25°的物料时,刮板节距为最小值;对于MC型埋刮板输送机,当输送内摩擦角为30°的物料时,刮板节距为最小值,这主要与MS型、MC型埋刮板输送机运行时物料的受力情况有关。
参考文献(References):
[1] JB/T 9154—2008 埋刮板输送机用链条、刮板和链轮[S].
[2] SUN Xiaoxia,MENG Wenjun.Design method of a vertical screw conveyor based on TCP-SHV[J].Advances in Mechanical Engineering,2017,9(7): 1-11.
[3] 余汪洋.国外埋刮板输送机的现状及发展趋势[J].起重运输机械,1986(12):21-26.
[4] 卢来印,倪泰山.浅谈链斗式输送机和埋刮板输送机在输送锅炉底渣上的优缺点[J].煤炭工程,2007,39(6):65-66.
[5] 徐乃兵,李光凡.浅谈通用型埋刮板输送机的选型与设计[J].中国油脂,2007(4):70-71.
[6] 孟文俊,黄松元,王鹰.水平型大运量埋刮板输送机的试验研究[J].太原重型机械学院学报,1992(4):16-29.
[7] 詹国春,陈明政.埋刮板给煤机的设计与使用[J].起重运输机械,1988(2):37-42.
[8] 余汪洋.埋刮板输送机运煤故障分析及预防措施[J].起重运输机械,1985(8):24-29.
[9] 毛广卿,赵韩.埋刮板输送机垂直输送原理分析[J].起重运输机械,2004(10):13-16.
[10] 程相文,肖亚茹.埋刮板输送机分体链轮接触强度分析[J].矿山机械,2018,46(2):34-37.
CHENG Xiangwen,XIAO Yaru.Analysis on contact strength of split sprocket of drag chain conveyor[J].Mining & Processing Equipment,2018,46(2):34-37.
[11] 吴畏.布置形式对埋刮板输送机性能的影响[J].安徽农业科学,2015,43(22):322-325.
WU Wei.Influence of layout form to embedded scraper conveyor performance[J].Journal of Anhui Agricultural Sciences,2015,43(22):322-325.