实验研究
赵彤1,2, 李先圣1,2, 张雷1,2, 丁恩杰1,2, 胡延军1,2
(1.中国矿业大学 信息与控制工程学院, 江苏 徐州 221008;2.中国矿业大学 物联网(感知矿山)研究中心, 江苏 徐州 221008)
摘要:针对煤矿井下长距离巷道内人员定位信号存在衰减大、定位精度低的问题,提出了一种节点合作加权质心定位算法。该算法在ZigBee通信环境下,通过参数寻优思想在长距离巷道内人员定位时选择近距离虚拟参考节点(已定位的未知节点)与参考节点合作使用,利用改进的小区域三角形加权质心定位算法对未知节点进行初始定位,然后通过坐标修正确定未知节点的位置。仿真与实验结果表明,利用参考节点与虚拟参考节点合作定位,减少了远距离参考节点的使用,可以解决因距离远导致的信号衰减大的问题,提高了井下人员定位的精度;该算法的平均定位误差为1.5 m,可满足煤矿井下长距离巷道内人员定位精度的要求。
关键词:煤矿井下; 人员定位; 长距离巷道; 无线传感器节点; 虚拟参考节点; 节点合作; 加权质心定位; 坐标修正
中图分类号:TD655
文献标志码:A
网络出版地址:http://kns.cnki.net/kcms/detail/32.1627.TP.20180718.1726.004.html
ZHAO Tong1,2, LI Xiansheng1,2, ZHANG Lei1,2, DING Enjie1,2, HU Yanjun1,2
(1.School of Information and Control Engineering, China University of Mining and Technology, Xuzhou 221008, China; 2.Internet of Things (Perception Mine) Research Center, China University of Mining and Technology, Xuzhou 221008, China)
Abstract:In view of problems of large attenuation error and low positioning accuracy of personnel positioning signal in underground long-distance roadway, a weighted centroid localization algorithm based on node cooperation was proposed. Under the ZigBee communication environment, the algorithm selects virtual reference node (unknown node that has been located) at a close distance to cooperate localization with reference node in long-distance roadway, and uses improved small-area triangle weighted centroid localization algorithm to locate the unknown node, uses coordinate correction method to determine position of unknown node. The simulation and experimental results show that the localization of reference nodes and virtual reference nodes can reduce use of long-distance reference nodes, which can solve the problem of large signal attenuation caused by long distance and improve the accuracy and stability of underground personnel positioning. The average positioning error of the algorithm is 1.5 m, which meets requirements of personnel location precision in underground long-distance roadway.
Key words:coal mine underground; personnel positioning; long-distance roadway; wireless sensor nodes; virtual reference node; cooperative node; weighted centroid localization; coordinate correction
文章编号:1671-251X(2018)08-0032-07
DOI:10.13272/j.issn.1671-251x.2018010007
收稿日期:2018-01-03;
修回日期:2018-05-16;
责任编辑:张强。
基金项目:国家重点研发计划资助项目(2017YFC0804401);国家重点基础研究发展计划(973计划)项目(2014CB046305)。
作者简介:赵彤(1993-),女,江苏徐州人,硕士研究生,研究方向为煤矿井下物联网无线定位,E-mail:zhaotongff@126.com。
引用格式:赵彤,李先圣,张雷,等.煤矿井下节点合作加权质心定位算法[J].工矿自动化,2018,44(8):32-38.
ZHAO Tong,LI Xiansheng,ZHANG Lei,et al. Weighted centroid localization algorithm based on node cooperation in coal mine underground[J].Industry and Mine Automation,2018,44(8):32-38.
目前,室内、煤矿井下、隧道等场所的人员定位主要应用无线传感器网络技术。无线传感器网络技术利用无线传感器网络节点收发信号,具有组网简单、灵活方便、效率高、速度快、成本低等优势,但是节点发射的信号受多径、反射、衰减等影响,会导致接收端的信号准确度差,从而降低定位精度,当参考节点部署较远时信号衰减严重,导致接收信号误差增大,误差严重时将导致定位系统瘫痪。因此,提高节点的定位精度和稳定性仍然是无线传感器网络技术研究的热点之一。
为了获得更加精确的人员定位信息,国内外研究人员提出了多种人员定位的算法,并且在已有算法基础上不断进行改进[1]。无线传感器网络定位算法可以分为基于非测距的定位算法和基于测距的定位算法[2-3]。基于非测距的定位算法有DV-Hop算法、Amorphous算法、指纹匹配算法[4]和质心定位算法[5]等。DV-Hop算法复杂,且节点部署密集。Amorphous算法执行效率低。指纹匹配算法需要大量数据建立指纹库,一旦场景改变需要大量人力物力重新建立指纹库。质心定位算法能提高测试精确度且实际应用简单便捷,得到了广泛使用。基于测距的定位算法[6]包括基于到达角度(Arrival of Angle, AOA)、到达时间(Time of Arrival, TOA)、到达时间差(Time Difference of Arrival, TDOA)和信号强度指示(Received Signal Strength Indicator, RSSI)[7-11]等。其中AOA定位算法需要装配特殊的收发信号天线,对硬件要求高,实现复杂度高[12]; TOA、TDOA定位算法简单,但是需要严格的时间同步[13]。所以,基于测距的AOA、TOA和TDOA定位算法在井下应用存在很大挑战性,而RSSI是一种低功耗、低成本、信号获取简单的井下最佳测距方法,将基于测距的RSSI定位方法与基于非测距的质心定位算法结合,利用距离信息作为质心定位算法的权值,可以更合理估计未知节点位置。但是RSSI受环境场景及节点间距的影响,测距误差大[14-15],加权质心定位算法的权重受到测距误差的影响,从而导致定位不精确。目前井下环境中普遍存在传感器,它们携带了大量的节点信息,将节点之间的信息相互利用成为提高基于RSSI定位算法精度的新思想。为了克服现有井下人员定位算法的局限性,本文对基于RSSI的测距算法及加权质心定位算法进行改进,利用节点合作思想减少远距离节点的使用,从而降低测距误差,将不同节点的距离组合作为加权质心的权值。前人在基于RSSI测距定位及质心定位算法改进方面进行了大量研究,文献[16]提出了一种煤矿井下基于RSSI的加权质心定位算法,指出路径损耗受环境参数影响,通过动态获取路径损耗指数,在改进的加权质心定位算法下实施定位,增强了定位算法的自适应性和定位精度。文献[17]研究了煤矿井下实测距离与模型预测距离的关系,提出了概率区间交叠定位算法,并以多边界质心算法为辅,得到一种新的混合定位方法。文献[18]提出了一种基于高斯滤波分段的高精度巷道定位算法,该算法可以实时计算环境中动态路径损耗因子、环境参量、接收RSSI信号方差的值,在坐标求解阶段引入距离误差修正参数,采用标准最小均方差迭代估计未知节点的坐标。
本文在上述算法的基础上,提出节点合作加权质心定位算法,利用虚拟参考节点与参考节点合作定位,充分利用各节点之间的信息,用近处的虚拟参考节点代替远距离的参考节点,减少远距离参考节点的使用,降低了信号衰减造成的测距误差,同时增加了虚拟参考节点数量,利用改进的小区域三角形加权质心定位算法对优选的合作节点实施定位并修正,进一步提高了算法的定位精度和定位系统的稳定性。
节点合作加权质心定位算法的实现步骤:① 合作节点优选,将采集的数据进行距离转换,通过信号强弱选取最优合作节点。② 小区域三角形加权质心定位算法改进,在传统加权质心定位算法基础上,改进三角形加权质心定位算法权值的获取方式,以获得更加合理有效的权值,通过测距-质心定位算法估计初始位置;③ 坐标修正,对得到的初始位置进行横纵坐标修正,以获得更加精确的坐标。
煤矿井下环境复杂,受巷道壁、机械设备等物体及距离的影响,随距离的增大,RSSI信号衰减严重,导致距离计算的误差加大。不同位置信号衰减造成的测距误差如图1所示。在0~30 m的测试区间内,固定发射端AP位置,让接收端从距离AP 1 m的地方开始以信号衰减2 dB为间隔后移测试,获得对应信号到AP的距离,在1 m处信号(RSSI=-30 dB)上下浮动2 dB,导致距离波动0.3 m左右,在30 m处信号(RSSI=-68 dB)上下浮动2 dB,距离变化将会有4 m左右。所以,将RSSI值较大的近距离节点作为辅助定位节点可帮助定位有用节点,包括选择的可用参考节点和虚拟参考节点,可以有效避免因信号衰减严重而造成的测距误差大的问题。

图1 不同位置信号衰减造成的测距误差
Fig.1 Distance error caused by signal attenuation at different positions
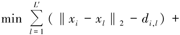
根据参数寻优思想,在参考节点与虚拟参考节点中寻找到一组最优节点参数,建立误差函数值最小模型,辅助定位节点需要M个,辅助定位节点坐标设为xm,未知节点有N个,第i个未知节点坐标为xi,未知节点到辅助定位节点之间的距离为λi,m,未知节点到所有辅助节点定位误差最小化目标函数为
假设辅助定位节点是来自参考节点和虚拟参考节点,则目标函数可转换为
式中:xl为参考节点l的坐标;di,l为未知节点i到
参考节点l之间的距离,通过构建Shadowing模型I获得;L′为定位时选中的参考节点数(L为测试环境中部署的总参考节点);J为虚拟参考节点个数,J=M-L′;xj为虚拟参考节点j的坐标;di,j为未知节点i到虚拟参考节点j的距离。
为了实现未知节点i与虚拟参考节点j之间的通信,本文把ZigBee模块作为RSSI数据的收发装置,将ZigBee提前编入2种工作模式(Receiver和Transmitter)中,当未知节点i处于待定位阶段时,启动Receiver模式,实时接收参考节点及其他虚拟参考节点j传送过来的数据信息;当节点i定位成功后,立即切换Transmitter进入虚拟参考节点模式,发送数据信息供其他待定位节点使用,其他待定位的未知节点接收来自已经定位节点的数据,通过Shadowing模型II进行RSSI与距离之间关系的转换,得到距离di,j。为了减小存在的累积误差,本文算法以未知节点距离目标区域中心点的距离为顺序,逐个定位未知节点,并且对每个点坐标进行修正,进一步减小各节点定位误差,确保累积误差最小,在累积定位误差最小的情况下,经过改进的加权质心定位算法和精确的坐标修正方法将定位误差减到更小。
合作节点优选步骤如下:
(1) 根据Shadowing模型I获得第i个未知节点到不同参考节点l的距离di,l。
(2) 根据Shadowing模型II获得第i个未知节点到虚拟参考节点j的距离di,j。
(3) 从参考节点和虚拟参考节点里选择合适的定位节点:首先考虑待定位节点到参考节点的距离关系,从中选择一部分节点;再从虚拟参考节点中选用一部分节点,2个部分的节点共同合作完成定位过程。
(4) 将筛选出的P个节点(P=M+J) 作为优选合作节点,通过小区域三角形加权质心定位算法初步估计目标位置xP,xP=[xPM,xPJ],进一步利用坐标修正目标位置,得到精确定位结果。
1.2.1 算法改进
本文提出了一种改进的小区域三角形加权质心定位算法,如图2所示。
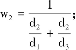
根据三角形顶点B1,B2,B3坐标及参考节点对各顶点的影响大小,计算未知节点在小区域内的权值和实际坐标。小区域交点B1由AP2和AP3产

图2 小区域三角形加权质心定位算法
Fig.2 Small area triangle weighted centroid localization algorithm
生,当d1很大时,B1点受d2和d3的约束多,权值较小,质心更偏向于AP2和AP3,故权值改进为
同理,小区域交点B2由AP1和AP3产生,故权值
小区域交点B3由AP1和AP2产生,故权值
获得改进的三角形加权质心定位算法(式(3)),由此计算出未知节点的坐标P(x,y)。

1.2.2 算法的误差比较
传统三角形加权质心定位算法与改进的小区域三角形加权质心定位算法的误差比较如图3所示。从图3可知,传统三角形加权质心定位算法最大定位误差为7 m,平均误差为4.5 m。改进的小区域三角形加权质心定位算法的最大定位误差为3.5 m,平均误差为1.8 m。

图3 传统三角形加权质心定位算法与改进的小区域三角形加权质心定位算法的误差比较
Fig.3 Comparison of error between the traditional triangular weighted centroid localization algorithm and the modified small area triangular weighted centroid localization algorithm
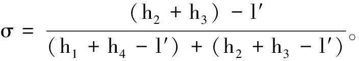
4个参考节点AP1(A),AP2(B), AP3(C),AP4(D)等间隔部署在巷道两侧,间距为F;设P0(xi,yi)为未知节点位置,它移动到参考节点AP1, AP2, AP3, AP4的距离为h1,h2,h3,h4;P′(x1,y1)为利用节点合作混合定位算法得到的初始位置。
纵坐标修正如图4所示。要将P′(x1,y1)修正到P1(x,y)的位置,以巷道两侧墙壁为直线,将P′向一侧墙壁做垂线l′,与巷道两侧的交点为Z,Z′,x与x1相等,求出P1处y值,即得到修正后的坐标位置。h1+h2+h3+h4总长度始终保持不变,未知节点纵坐标受h2+h3长度的影响,距离越长,坐标y越大,根据式(4)可获得相对应的y值,对应获得修正后的坐标P1。

图4 纵坐标修正
Fig.4 Vertical coordinate correction

式中:
为未知节点P1到点Z′的距离;
为Z,Z′点之间巷道纵向宽度;σ为调节因子,![]()
横坐标修正与纵坐标修正方法相同,经过修正得到P2,修正后P1所在直线与P2所在直线的交点即为修正后未知节点坐标Q,如图5所示。
在目标区域中选取100个待定位节点,每个节点采集多组数据信息,使用Matlab工具进行仿真。从中选取中间第40—60个节点,对定位结果进行坐标修正误差对比,结果如图6所示。由于存在一些未知节点,在初始定位时误差结果已经非常小,这类节点修正的效果不明显,此类节点概率随机,本次仿真的100个节点中,这类节点比例为10%,仿真结果显示,算法精度达到90%。

图5 坐标修正结果
Fig.5 Coordinate correction results

图6 坐标修正结果对比
Fig.6 Comparison of coordinate correction results
仿真区域部署如图7所示,区域长为30 m,宽为3 m,共布设3个参考节点、9个未知节点和1个中心节点。定位顺序以各未知节点距离中心节点的远近为依据,因为定位第1个未知节点必须用参考节点,在巷道或室内中间区域使用AP信号不会有较大衰减误差,对其他未知节点定位不会造成较大累积误差。

图7 仿真区域部署
Fig.7 Simulation area deployment
随机出现的9个未知节点为C1—C9,给定横纵坐标随机误差为8 m。本文主要与文献[16]提出的煤矿井下基于 RSSI 的加权质心定位算法(以下简称文献[16]算法)相比,2种算法的仿真定位结果如图8所示。本文算法与文献[16]算法都是在煤矿井下利用基于测距的RSSI定位技术和三角形加权质心定位算法进行定位,有很强的可比性。在相同实验参数条件下,经过多次仿真得到文献[16]算法的最大定位误差为7 m,利用本文算法最大定位误差为2.5 m。

图8 2种算法的仿真定位结果
Fig.8 Simulation positioning results of the two algorithms
对本文算法与文献[16]算法进行多次仿真比较,定位结果如图9所示。

图9 2种算法多次定位结果比较
Fig.9 Comparison of multiple localization results error of the two algorithms
在相同测试环境下,文献[16]算法的最大定位误差为7 m,有8%的点定位误差在2 m以下;本文算法最大定位误差为2.5 m,有88%的点定位误差在2 m以下,平均定位误差为1.5 m。比较2种算法,结果表明,本文算法的定位精度大大提高了。
未知节点到参考节点的RSSI信号波动对真实距离的计算有影响,但是通过不同的定位算法可以减小由测距误差带来的定位误差。文献[16]算法在测距误差方面没有进行优化处理,测距误差大,最终导致定位误差急剧上升。本文算法利用节点优选方法选择近距离的节点,平均测距误差引起的定位误差较小,且趋于平缓。文献[16]算法与本文算法平均测距误差对定位造成的影响如图10所示,在远距离定位时本文算法优势更加明显。

图10 2种算法的平均测距误差对定位结果造成的影响曲线
Fig.10 Influence curve of average distance error on localization results of the two algorithms
实验场景布置如图11所示,在长为30 m,宽为3 m,高为3 m的区域采集数据,利用ZigBee模块进行RSSI发射与接收,其中在高为1.5 m的平面放置3个参考节点只发射信号,9个未知节点既可接收信号,又可以发射信号,对本文提出的算法进行实际场景数据采集和定位测试。

图11 实验场景布置
Fig.11 Experimental scene deployment
将实验场景中部署的9个未知节点C1—C9进行数据采集与处理后导入测试系统,结果如图12所示,根据图12的定位结果得到表1。从表1可看出,在相同环境中,文献[16]算法最大定位误差为7 m左右,平均定位误差达到5 m,本文算法最大定位误差为2.5 m左右,平均定位误差为1.5 m,实际测试结果与仿真结果相符合。节点合作加权质心定位算法提高了定位系统的定位精度。

图12 2种算法的实验定位结果
Fig.12 Experimental positioning results of the two algorithms
表1 2种算法的定位坐标及误差
Table 1 Localization coordinates and errors of the two algorithms

(1) 节点合作加权质心定位算法实现了未知节点接收与发送信号2种模式设定,实现了未知节点之间的相互通信。利用参考节点与虚拟参考节点合作定位,减少了远距离参考节点的使用,同时随着虚拟参考节点数目的增加,系统定位稳定性更强,避免了因参考节点失效造成系统失效。
(2) 节点合作加权质心定位算法通过节点合作、改进三角形加权质心定位算法及进一步修正横纵坐标,大大降低了定位误差。实验结果表明,该算法的平均定位误差为1.5 m,基本可满足煤矿井下长距离巷道中人员定位精度要求。
参考文献(References):
[1] 胡斌斌,倪小军. 基于 RSSI 测距室内定位改进质心算法[J]. 计算机技术与发展,2017,27(8):133-136.
HU Binbin, NI Xiaojun. An improved indoor localization algorithm of centroid with RSSI[J].Computer Technology and Development,2017,27(8):133-136.
[2] 李彦,田亮.一种结合辅助估距锚点的WSN改进型DV-Hop算法[J].南京邮电大学学报(自然科学版),2016,36(5):120-126.
LI Yan, TIAN Liang. Improved DV-Hop algorithm in WSN combined with auxiliary anchor distance estimator[J]. Journal of Nanjing University of Posts and Telecommunications (Natural Science),2016,36(5):120-126.
[3] 马华兴.TD-SCDMA智能天线电磁辐射计算方法分析[J].电信工程技术与标准化,2009(1):24-26.
MA Huaxing. Analysis of method for computing smart antenna's electromagnetic radiation[J].Telecommunication Engineering Technology and Standardization,2009(1):24-26.
[4] NARZULLAEV A, PARK Y, YOO K, et.al. A fast and accurate calibration algorithm for real-time locating systems based on the received signal strength indication[J]. International Journal of Electronics and Communications,2011,65:305-311.
[5] BULUSU N, HEIDEMANN J, ESTRIN D.GPS-less low cost outdoor localization for very small devices[J]. IEEE Personal Comm Magazine,2000,7(5):28-34.
[6] 王琦. 基于RSSI测距的室内定位技术[J].电子科技, 2012,25(6):64-66.
WANG Qi. Research on an indoor positioning technology based on RSSI ranging [J]. Electronic Science and Technology,2012,25(6):64-66.
[7] XU Yaming, ZHOU Jianguo, ZHANG Peng. RSS-based source localization when path loss model parameters are unknown[J].IEEE Communications Letters,2014,18(6):1055-1058.
[8] 袁鑫,吴晓平,王国英. 线性最小二乘法的RSSI 定位精确计算方法[J].传感技术学报,2014,27(10):1412-1417.
YUAN Xin, WU Xiaoping, WANG Guoying. Accurate computation approach of RSSI-based localization with linear least square method[J]. Chinese Journal of Sensors and Actuators, 2014,27(19):1412-1417.
[9] 程秀芝,朱达荣,张申,等. 基于RSSI 差分校正的最小二乘-拟牛顿定位算法[J].传感技术学报,2014,27(1):123-127.
CHENG Xiuzhi,ZHU Darong,ZHANG Shen,et al. RSSI-based differential correction least-squares-quasi-Newton positioning algorithm[J]. Chinese Journal of Sensors and Actuators, 2014,27(1):123-127.
[10] WANG Yuan, MA Shaodan, CHEN PHILIP C L. TOA-based passive localization in quasi-synchronous networks[J].IEEE Communications Letters, 2014,18(4):592-595.
[11] SHEN Hong. Multiple source localization in wireless sensor networks based on time of arrival measurement[J]. IEEE Transactions on Signal Processing,2014,62(8):1938-1949.
[12] 杨浩,周俊奇,孟庆民.一种基于TDOA/TOA的混合三维定位算法[J].南京邮电大学学报(自然科学版),2012,32(6):31-36.
YANG Hao, ZHOU Junqi, MENG Qingmin. A hybrid three-dimensional location algorithm based on TDOA and TOA[J].Journal of Nanjing University of Posts and Telecommunications(Natural Science Edition), 2012,32(6):31-36.
[13] 龙佳,卑璐璐,张申,等.基于虚拟信标节点的改进加权质心定位修正算法[J].微电子学与计算机,2017,34(3):74-78.
LONG Jia, BEI Lulu, ZHANG Shen, et al. Improved weighted centroid localization correction algorithm based on virtual beacon nodes[J].Microelectronics & Computer, 2017,34(3):74-78.
[14] 王群,李宗骍,李千目,等. 基于实时运动状态的RSSI测距室内定位算法[J].南京理工大学学报(自然科学版),2015,39(2):229-235.
WANG Qun, LI Zongxing, LI Qianmu, et al. Indoor localization algorithm based on real time state of motion and RSSI ranging[J]. Journal of Nanjing University of Science & Technology(Natural Science Edition), 2015,39(2):229-235.
[15] 熊海龙,刘漫丹,刘庆威.基于校正的无线传感器网络加权定位算法[J].华东理工大学学报(自然科学版),2014,40(2):225-229.
XIONG Hailong, LIU Mandan, LIU Qingwei. A weighted localization algorithm based on correction for WSN[J]. Journal of East China University of Science and Technology (Natural Science Edition), 2014,40(2):225-229.
[16] 韩东升,杨维,刘洋,等. 煤矿井下基于 RSSI 的加权质心定位算法[J]. 煤炭学报, 2013, 38(3): 522-528.
HAN Dongsheng,YANG Wei,LIU Yang,et al.A weighted centroid localization algorithm based on received signal strength indicator for underground coal mine[J].Journal of China Coal Society,2013,38(3):522-528.
[17] YI X, LIU Y, DENG L. A novel environment self-adaptive localization algorithm based on RSSI for wireless sensor networks[C]//2010 IEEE International Conference on Wireless Communications, Networking and Information Security (WCNIS),2010:360-363.
[18] 李论,张著洪,丁恩杰,等.基于RSSI的煤矿巷道高精度定位算法研究[J].中国矿业大学学报,2017,46(1):183-191.
LI Lun, ZHANG Zhuhong, DING Enjie, et al. Research on high precision positioning algorithm of coal mine roadway based on RSSI[J]. Journal of China University of Mining and Technology,2017,46(1):183-191.