科研成果
郭清华1,2
(1.中煤科工集团重庆研究院有限公司, 重庆 400039; 2.瓦斯灾害监控与应急技术国家重点实验室, 重庆 400037)
摘要:为消除外界振动对分布式激光甲烷检测系统的影响,在分析振动对光纤物理特性及甲烷检测的影响、振动波形频率特征的基础上,提出一种基于实时采样信号和设定频率信号的振动波形辨识算法。该算法通过傅里叶变换、互相关运算、最大相似系数判定和甲烷浓度解算等步骤,有效识别出不同频率的外界振动波形,进而可准确删除振动波形,消除外界振动对甲烷浓度测量值的影响。实验室测试及工业性测试结果表明,该算法能有效识别出不同频率的振动干扰,避免振动信号引入的测量误差。
关键词:分布式激光甲烷检测; 点式激光甲烷传感器; 激光自稳频; 甲烷浓度测量; 振动干扰; 振动波形辨识
中图分类号:TD712
文献标志码:A
网络出版地址:http://kns.cnki.net/kcms/detail/32.1627.TP.20180717.1630.005.html
GUO Qinghua1,2
(1.CCTEG Chongqing Research Institute, Chongqing 400039, China; 2.State Key Laboratory for Gas Disaster Monitoring and Emergency Technology, Chongqing 400037, China)
Abstract:In order to eliminate influences of external vibration on distributed laser methane detection system, based on analysis of frequency characteristics of vibration waveform and influences of vibration on physical properties of fiber and methane detection, a vibration waveform recognition algorithm based on real-time sampling signal and set frequency signal was proposed. The algorithm can effectively identify external vibration waveforms with different frequencies by steps including Fourier transform, cross-correlation operation, maximum similarity coefficient judgment and methane concentration calculation, and then the vibration waveform can be accurately deleted and the influences of external vibration on methane concentration measurement can be eliminated. The laboratory test and industrial test results show that the algorithm can effectively identify the vibration interference with different frequencies and avoid measurement error introduced by vibration signal.
Key words:distributed laser methane detection; point laser methane sensor; laser stabilized frequency; detection of methane concentration; vibration interference; vibration waveform recognition
文章编号:1671-251X(2018)08-0001-06
DOI:10.13272/j.issn.1671-251x.2018030088
收稿日期:2018-03-28;
修回日期:2018-06-15;
责任编辑:胡娴。
基金项目:国家重点研发计划专项资助项目(2016YFC0801405);国家科技重大专项课题(2016ZX05045006)。
作者简介:郭清华(1983-),男,重庆人,助理研究员,研究方向为煤矿检测用仪器仪表,E-mail:saint_gqh@126.com。
引用格式:郭清华.分布式激光甲烷检测系统振动干扰诊断与辨识[J].工矿自动化,2018,44(8):1-6.
GUO Qinghua.Diagnosis and recognition of vibration interference in distributed laser methane detection system[J].Industry and Mine Automation,2018,44(8):1-6.
瓦斯灾害是煤矿开采领域的主要灾害之一,瓦斯气体的主要成分是甲烷,属于易燃易爆气体[1]。国家安全生产监督管理总局于2015年颁布了《强化煤矿瓦斯防治十条规定》[2],明确了对瓦斯浓度监测的相关要求。为确保瓦斯浓度的准确监测,国际先进的激光气体检测技术正逐步在煤矿推广应用。目前,国内多个厂家相继研制成功了点式激光甲烷传感器,并在煤矿等现场进行了应用[3-4]。在分布式多点激光气体传感方面,文献[5]对TDM(Time Division Multiplex ,时分复用)技术在光纤气体传感中的应用进行了分析,给出了理论模型,并对复用数量和灵敏度进行理论预测,实现了基于TDM的多点光纤传感系统。文献[6]基于TDM技术,提出采用在光路中嵌入标定池的方法来反演瓦斯浓度。文献[7]提出了一种适用于煤矿瓦斯监测的光纤传感方法,采用SDM(Space Division Multiplex ,空分复用)技术实现光纤传感网络。文献[8]以氧气作为目标气体,研究基于吸收光谱学的气体温度测量方法。文献[9]提出了基于可调谐半导体激光吸收光谱技术的火灾气体高灵敏实时检测系统。本文在基于激光自稳频技术的分布式多点甲烷检测系统研究的基础上,针对煤矿等实际现场应用环境,为消除外界振动对系统测量的影响,研究了振动对光纤传输特性的影响、振动波形的频率特征及振动波形的辨识算法,通过软件算法有效消除了振动对系统测量的影响。
当光纤传感系统受到外界振动影响时,光波在光纤中的部分传输特性如光强、相位等会发生改变[10]。研究结果表明,光波的反射率、相位等变化与作用在光纤上的外界振动作用力的大小、频率有关[11]。
光纤受振动影响的实质是受外界力的作用,作用力分为轴向外力和径向外力[12]。在轴向外力F的作用下,光纤的轴向长度和横截面尺寸会发生微小变化[13-14]。外力为拉伸力时,光纤轴向长度增大,如图1所示;当外力为压缩力时,光纤轴向长度减小,横截面增大,如图2所示。


图1 光纤受轴向拉力作用时的变化(虚线为受力后)
Fig.1 Change of fiber under axial tension(The dotted line is the force)


图2 光纤受轴向压力作用时的变化(虚线为受力后)
Fig.2 Change of fiber under axial pressure(The dotted line is the force)
单模光纤直径一般为9 μm,其受到的径向力近似为均匀的径向压力。为保持光纤平衡,径向压力一般成对出现,如图3所示。在实际工程应用中,由于光缆带有钢丝铠装,径向受力很微弱,基本不会引起光纤径向变形。

图3 光纤径向压力
Fig.3 Radial pressure of optical fiber
光波在光纤中传播时,入射角α、纤芯折射率n1和包层折射率n2必须满足全反射定律的要求,即n1显著大于n2,如图4所示。当光纤受振动影响时,由于光纤受力发生形变,入射角α会发生随机性变化,当其超过光纤传播最大入射角αmax时,光纤中光波的通过光强也会随之产生随机性变化。

图4 光波在光纤中的传输原理
Fig.4 Transmission principle of light waves in optical fibers
激光甲烷检测原理:特定波长(1 653.7 nm)的光波经过甲烷气体时,光波光强被甲烷气体按一定比例吸收,吸收系数与甲烷浓度成单一的正相关关系,满足Beer-Lambert气体吸收定律[15]。当光纤受振动影响时,单个采样点的光强发生随机性变化,按照谐波检测算法解算出的甲烷浓度值也是随机性的,并不是环境中待测甲烷的真实浓度值。
分布式激光甲烷检测系统主要由分布式激光甲烷监测主机、双芯导光光缆和气体探测模块构成[16],如图5所示。传输光缆在实际工程应用中易受环境振动的影响,导致光信号发生变化,从而使得甲烷测量值产生较大偏差。

图5 分布式激光甲烷检测系统
Fig.5 Distributed laser methane detection system
图6为正常测量和振动状态下无甲烷(体积分数为0)时的采样波形。图7为正常测量和振动状态下甲烷体积分数为85%时的采样波形。通过二次谐波幅值/一次谐波幅值解算后,得到甲烷体积分数分别为0,1.86%,85.1%,41.6%,引入的测量偏差超过真实值的50%,远大于系统正常测量的误差要求。

(a) 正常测量状态

(b) 振动状态
图6 无甲烷时的采样波形
Fig.6 Sampling waveform without methane

(a) 正常测量状态

(b) 振动状态
图7 甲烷体积分数为85%时的采样波形
Fig.7 Sampling waveform when methane volume fraction is 85%
分布式激光甲烷检测系统受外界振动干扰的影响,主要是指光缆在传输光波的过程中内部光纤的光学特性受外界振动波的影响。系统采用5 Hz锯齿波叠加1 000 Hz正弦波方式周期性驱动激光器扫描信号,通过同步触发高频离散数字采样方式进行波形采集,采样频率设定为1 MHz。后期进行数据处理时引入低通滤波、高通滤波和平滑滤波等算法。对于小于5 Hz的低频振动信号和大于1 000 Hz的中高频振动信号,检测系统可以通过软件滤波算法消除其大部分影响。因此,本文重点研究5~1 000 Hz的振动信号对甲烷测量值的影响。
对采样信号进行傅里叶变换,得到信号的频率信息,除直流分量外,其余频率分量如图8所示。
对采样波形进行傅里叶变换得到的频率数据表明,正常测量状态下,当存在甲烷吸收时,采样信号的频率分量最大幅值处于200和1 800采样点,并且幅值随甲烷浓度增大而增大,其余位置对应的幅值很小,当有不规则振动干扰时,在基频等位置处会引入较大的幅值分量。

(a) 正常测量状态(无甲烷)

(b) 振动状态(无甲烷)

(c) 正常测量状态(甲烷体积分数为85%)

(d) 振动状态(甲烷体积分数为85%)
图8 采样波形傅里叶变换结果
Fig.8 Fourier transform result of sampling waveforms
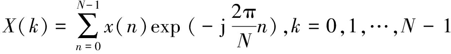
采样得到的正常测量波形的频率信号是保持不变的,对离散采样信号x(n)进行傅里叶变换可得到频率信息,傅里叶变换公式为
(1)
式中:X(k)为实时测量波形频谱;x(n)为有限长序列;N为采样波形序列长度。
设由激光器驱动电流决定的正常测量波形和实时测量波形的傅里叶变换数列分别为X0(k)和X(k),进一步通过互相关算法,可以得到实时测量波形的频率分布与正常测量波形的频率分布的相似程度:
(2)
由于采样误差、器件老化等白噪声的影响,实时测量波形与设定的正常测量波形的频率存在偏差。通过测试得出,当两者相似系数大于90%时,实时测量波形为正常信号波形,否则为受振动影响波形,删除该次测量数据。
振动波形辨识算法流程如图9所示,包括傅里叶变换、互相关运算、最大相似系数Rmax判定和甲烷浓度解算等步骤。
在实验室环境中,搭建了包含7个测量通道的分布式激光甲烷检测系统,采用16芯传输光缆,光纤长度为4 km,各测量通道相互独立,互不干扰。将系统置于振动测试台上,并记录测试结果,以1号通道的测试数据为例,测试结果见表1和表2。

图9 振动波形辨识算法流程
Fig.9 Flow of vibration waveform identification algorithm
表1 1号通道无甲烷时受振动影响的测试结果
Table 1 Test results of channel 1 affected by vibration when no methane is introduced

表2 1号通道通入体积分数为2.00%的甲烷时受振动影响的测试结果
Table 2 Test results of channel 1 affected by vibration when 2.00% methane is introduced

测试结果表明,采用振动波形辨识算法后,系统能有效识别出不同频率的外界振动波形,进而准确删除振动波形(显示上一次有效测量的甲烷浓度),以消除振动对系统的影响。
在重庆松藻煤电有限公司渝阳煤矿进行了工业性测试,每个采样点时间间隔0.33 s,测试结果如图10所示。由于运煤车、人员走动等外界振动干扰,在采用振动波形辨识算法前系统会经常输出甲烷体积分数超限(大于1.00%)信号;提取出振动波形后,测量的甲烷体积分数为-0.02%~0.02%,基本消除了外界振动对系统测量的影响。

(a) 引入振动波形辨识算法前的测试结果

(b) 引入振动波形辨识算法后的测试结果
图10 分布式激光甲烷检测系统在煤矿现场的测试结果
Fig.10 Test results of distributed laser methane detection system in coal mine site
(1) 对外界环境振动对光纤传输特性及分布式激光甲烷检测系统测量值的影响进行了原理研究,在此基础上,对振动波形的频率特征进行了分析。
(2) 提出了一种振动波形辨识算法,以消除外界振动对分布式激光甲烷检测系统测量值的影响。
(3) 在不同振动频率环境中,对系统性能进行了实验室测试和工业现场测试验证。测试结果表明,提出的振动波形辨识算法能有效识别出不同频率的振动干扰,避免了振动信号引入的测量误差。
参考文献(References):
[1] 周成明.有关煤矿瓦斯检测技术应用的浅析[J].广东科技,2012,21(2):30.
[2] 王玉田.光电子学与光纤传感器技术[M].北京:国防工业出版社,2003.
[3] 卢雨,印新达,于本化,等.基于TDLAS的时分复用型甲烷多点监测系统[J].电子测试,2014(23):42-44.
LU Yu,YIN Xinda,YU Benhua,et al.A multipoint methane sensing system of time division multiplexing based on TDLAS[J].Electronic Test,2014(23):42-44.
[4] FERRI D, FORNI L. Methane combustion on some perovskite-like mixed oxides[J]. Applied Catalysis B Environmental,1998,16(2):119-126.
[5] 邓广福,刘光达,周志坚.提高可调谐激光光谱气体检测精度的研究[J].激光与红外,2008,38(5):462-464.
DENG Guangfu,LIU Guangda,ZHOU Zhijian.Research on improving gas detection precision based on tunable laser spectroscopy[J].Laser & Infrared,2008,38(5):462-464.
[6] 许婷.利用可调谐半导体激光吸收光谱测量高温火焰中的CO浓度[D].杭州:浙江大学,2012.
[7] 李军,孙世岭,龚仲强,等.一种微差压原位式取样激光甲烷在线分析系统[J].分析仪器,2016(5):1-5.
LI Jun,SUN Shiling,GONG Zhongqiang,et al.A situ micro-differential pressure sampling device based on laser for on-line analysis of methane[J].Analytical Instrumentation,2016(5):1-5.
[8] 李鹏.基于吸收光谱气体温度测量方法的研究[D].秦皇岛:燕山大学,2009.
[9] 陈东,刘文清,张玉钧,等.可调谐半导体激光光谱火灾气体探测系统[J].中国激光,2006,33(11):1552-1556.
CHEN Dong, LIU Wenqing, ZHANG Yujun,et al. Tunable diode laser spectroscopy system for fire gases sensing[J].Chinese Journal of Lasers,2006,33(11):1552-1556.
[10] CHAO X, JEFFRIES J B, HANSON R K. Absorption sensor for CO in combustion gases using 2.3 μm tunable diode lasers[J].Measurement Science & Technology,2009,20(11):115201-115209.
[11] LI H, FAROOQ A, JEFFRIES J B, et al. Near-infrared diode laser absorption sensor for rapid measurements of temperature and water vapor in a shock tube[J]. Applied Physics B,2007,89(2-3):407-416.
[12] 阚瑞峰,刘文清,张玉钧,等.基于可调谐激光吸收光谱的大气甲烷监测仪[J].光学学报,2006,26(1):67-70.
KAN Ruifeng, LIU Wenqing, ZHANG Yujun, et al.Infrared absorption spectrometer of monitoring ambient methane[J].Acta Optica Sinica,2006,26(1):67-70.
[13] 陈玖英,刘建国,张玉钧,等.调谐半导体激光吸收光谱自平衡检测方法研究[J].光学学报,2007,27(2):350-353.
CHEN Jiuying, LIU Jianguo, ZHANG Yujun, et al. Autobalanced detection based on tunable diode laser absorption spectroscopy[J].Acta Optica Sinica,2007,27(2):350-353.
[14] 褚衍平,张景超,管立君,等.双气室气体检测系统的研究[J].应用光学,2008,29(3):390-393.
CHU Yanping,ZHANG Jingchao,GUAN Lijun,et al.Double gas-cell detection system for gases[J].Journal of Applied Optics,2008,29(3):390-393.
[15] 齐洁,董小鹏,沈炎鑫,等.基于扫描光源的光纤气体传感系统的研究[J].中国激光,2011,38(9):97-102.
QI Jie,DONG Xiaopeng,SHEN Yanxin.Research on fiber gas sensor system based on scanning light source[J].Chinese Journal of Lasers,2011,38(9):97-102.
[16] LATHDAVONG L, SHAO J, KLUCZYNSKI P,et al.Methodology for detection of carbon monoxide in hot, humid media by telecommunication distributed feedback laser-based tunable diode laser absorption spectrometry[J]. Applied Optics, 2011, 50(17): 2531-2550.