刘少飞, 王国富, 张法全, 叶金才
(桂林电子科技大学 信息与通信学院, 广西 桂林 541004)
摘要:针对目前煤层瓦斯压力监测存在测量精度低、数据传输不及时、设备部署不便等问题,设计了一种基于6LoWPAN的煤层瓦斯压力监测系统。该系统测压节点通过多跳方式在6LoWPAN网络中选择最优路径,将实时采集的瓦斯压力数据传输至边界路由器,边界路由器通过工业以太网将数据传至地面服务器,同时地面设备可通过服务器查询指定区域测压节点的实时监测数据。测试结果表明,该系统可实时、准确地监测煤层瓦斯压力,具有较高的数据通信效率和稳定性,且功耗低。
关键词:煤层瓦斯; 瓦斯抽放; 压力监测; 6LoWPAN; 低功耗
瓦斯抽放是解决煤层瓦斯压力过高的有效方法[1-2]。为检测瓦斯抽放效果,多数矿山企业由人工定时抄录压力表头示数,存在容易误报导致测量精度低、数据传输不及时等问题;也有矿山企业采用电子压力记录仪自动记录瓦斯压力,但采用有线传输方式,设备部署不便[3]。6LoWPAN是基于IPv6的低功耗无线个域网技术[4-5],本文设计了一种基于6LoWPAN的煤层瓦斯压力监测系统,可实时、准确地上传压力数据,并对瓦斯压力监测区域数据进行定点查询。
基于6LoWPAN的煤层瓦斯压力监测系统主要由测压节点、边界路由器、地面服务器组成,如图1所示。

图1 基于6LoWPAN的煤层瓦斯压力监测系统组成
Fig.1 Composition of coal seam gas pressure monitoring system based on 6LoWPAN
瓦斯抽放孔分布在煤层开采区域,大部分抽放孔被密封后会剩余数个测压孔,根据测压孔的分布部署测压节点[6]。6LoWPAN自组网完成后测压节点开始监测数据,各测压节点通过多跳方式在6LoWPAN网络中选择最优路径[5],将数据传输到边界路由器。边界路由器通过工业以太网将数据传至地面服务器。由于各测压节点具备独立IPv6地址,地面设备可通过服务器查询指定区域测压节点的实时监测数据。
测压节点由压力传感器、信号调理模块、主控处理器、充电模块、锂电池组、电源调理模块、射频匹配模块、外置天线、OLED屏、超限报警模块组成,如图2所示。

图2 测压节点组成
Fig.2 Composition of pressure measurement node
主控处理器采用CC2538芯片,其基于ARM Cortex M3内核,具有32 kB片上RAM、512 kB片上闪存及IEEE 802.15.4射频功能。压力传感器型号为M7139-500PG,量程为0~3.5 MPa,具有IP67防护等级。压力传感器将瓦斯压力转换为电压信号,电压信号经信号调理模块处理后输入CC2538的ADC接口,转换结果一方面通过OLED屏显示,另一方面通过阈值处理模块进行判定,当其大于报警阈值时,超限报警模块发出警报。射频收发模块通过射频匹配模块连接50 Ω外置天线,从而实现6LoWPAN网络数据收发。锂电池组采用聚合物锂电池,放电范围为3.0~4.2 V,进一步通过电源调理模块提供系统所需3.3,5 V稳定电压。
边界路由器由网络模块、主控处理器、充电模块、锂电池组、电源调理模块、射频匹配模块、外置天线组成,如图3所示。边界路由器的主控处理器、充电模块、锂电池组、电源调理模块、射频匹配模块、外置天线与测压节点一致,不同的是通过SPI接口连接ENC28J60网络模块,实现6LoWPAN网络与地面服务器之间的通信[7]。

图3 边界路由器组成
Fig.3 Composition of border router
软件开发基于Linux平台,在arm-linux-gcc编译环境下编写系统所需API。采用Thingsquare官方驱动源码,通过移植实现6LoWPAN网络路由与转发功能设计。在编译工程前需向Makefile添加编译文件,完成编译环境的配置。
为保证系统低功耗运行,测压节点大部分时间都处于休眠状态,只在特定时间点及服务器发出采集数据请求时才会被唤醒。测压节点工作流程如图4所示。首先系统初始化,包括寄存器初始化、传感器检测与电池检测。然后启动定时器,由设定的采样间隔或服务器主动查询触发采样中断,建立通信并发送数据。最后对数据进行超限判定:当达到或超过《煤矿安全规程》规定的预警值0.74 MPa时,测压节点发出报警信号;如果没有超限,则重新进入休眠状态。

图4 测压节点工作流程
Fig.4 Work flow of pressure measurement node
压力传感器输出电压范围为0.5~4.5 V,在量程范围内瓦斯压力P与电压V呈线性关系:
(1)
由于设置CC2538的ADC参考电压为2.5 V,压力传感器输出的电压信号需经过信号调理模块进行1/2等比分压后才能准确采集,所以输入CC2538的12位ADC的电压为0.25~2.25 V。由此可得输入电压、瓦斯压力、ADC值对应关系,见表1。
表1 输入电压、瓦斯压力、ADC值对应关系
Table 1 Correspondence among input voltage, gas pressure and ADC

《煤矿安全规程》规定的预警值0.74 MPa为绝对压力,对应的传感器表头压力应为0.64 MPa,根据表1可得预警值对应的ADC值为1 009。
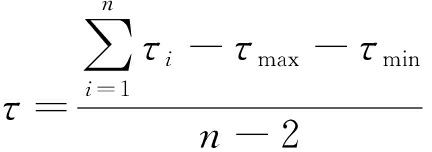
压力传感器受供电电源纹波的扰动,ADC值会出现波动,为减小其波动,在采样中断触发后对压力进行多次采集,并采用均值滤波算法[8]:

(2)
式中:τ为平均ADC值;τi为第i(i=1,2,…,n,n为采集次数)次采集的ADC值;τmax为采集的最大ADC值;τmin为采集的最小ADC值。
服务器每隔15 min收集1次测压节点监测数据,截取最近72 h的数据进行排序,获取72 h内最大、最小压力。根据《煤矿安全规程》规定,所测压力在72 h内变化小于0.015 MPa,则认为该稳定的压力即为煤层瓦斯压力[9]。由表1可得,0.015 MPa对应的ADC变化值为14,即当τmax-τmin≤14时,可判定煤层瓦斯压力处于稳定状态。
3.4.1 通信协议栈
要实现各测压节点之间基于IP的数据通信,必须有IP协议栈作为基础[10]。Contiki是一个开源的、高度可移植的多任务操作系统,适用于联网嵌入式系统和无线传感器网络。Contiki操作系统内部集成了uIP无线传感器网络协议栈,能够实现Contiki与因特网的通信,且支持TCP,UDP,ICMP等传输协议[10]。
在传输协议的选择上,由于UDP在处理报头和协议逻辑方面开销非常低[11],分组的传输和接收将消耗较少的能量,每个分组将有更多的可用于应用层数据的空间,这对系统的低功耗要求非常有利。但UDP无法保证数据的高可靠传输和接收数据先后的正确排列[11]。基于系统的应用场景,瓦斯压力监测是一个长期过程,且压力数据每隔15 min定时向服务器集中多次发送,服务器只接收1个数据,个别数据丢失不会影响整体判断的准确性。因此,UDP传输协议能很好地满足数据传输需求。
3.4.2 路由和转发
测压节点的数据在6LoWPAN网络中的传输往往需要经过多跳,其中包含路由和转发2个过程。通过路由协议在每个节点上填写路由信息库(RIB,Routing Info Base),RIB包含了运行路由协议所需信息,通常可简化为一个转发信息库(FIB,Forwarding Info Base),用于转发数据[12-13]。系统中数据转发并非不同链路之间的转发,而是第3个节点所处位置不在第1个节点通信范围之内时,则需要第2个节点作中继转发[14],本文采用6LoWPAN适配层网络转发方式来实现。
为测试系统有效性,部署5个测压节点和1个边界路由器,分布位置如图5所示。

图5 测试布置
Fig.5 Test arrangement
各测压节点启动后完成自组网,在一定区域内形成6LoWPAN网络,各测压节点的数据通过路由和转发的形式传送至边界路由器。通过与边界路由器同属1个局域网的电脑进行UDP侦听,数据如图6所示。
由图6可知,节点1在第一时间建立连接,节点2—节点5分别在3,10,15,20 s后接入6LoWPAN网络,当节点5加入网络后,从22:00:54开始,链路

图6 UDP侦听数据
Fig.6 UDP listening data
上的节点数据传输速度明显加快。网络延时测试结果见表2,可看出延时较短。
表2 网络延时测试结果
Table 2 Test result of network delay

通过标准仪器测定,测压节点均处于1个标准大气压(0.1 MPa)环境中。测压节点1在12 h内收集的数据见表3,可看出压力数据稳定,波动范围小,能真实反映实际压力。
表3 测压节点1数据
Table 3 Data of pressure measurement node 1

基于6LoWPAN的煤层瓦斯压力监测系统通过测压节点实时采集瓦斯压力数据,有效避免了人工操作出现的误报问题;利用6LoWPAN网络传输数据,使测压节点部署方便,保证了数据通信的效率和稳定性;通过低功耗设计实现了煤层瓦斯压力的长期监测。
参考文献(References):
[1] 徐超,辛海会,刘辉辉.我国煤矿瓦斯抽放技术现状及展望[J].煤矿现代化,2010(1):3-4.
XU Chao,XIN Haihui,LIU Huihui.The status and prospect of gas suction technology in China coal mine[J].Coal Mine Modernization,2010(1):3-4.
[2] 范育青,朱栋,汪华君,等.突出煤层瓦斯抽采钻孔封孔新技术研究与实践[J].煤矿开采,2013,18(5):99-103.
FAN Yuqing,ZHU Dong,WANG Huajun,et al.New technology of sealing methane drainage hole in outburst coal-seam and its practice[J].Coal Mining Technology,2013,18(5):99-103.
[3] 崔正中,蒋承林,游继军.基于胶囊压力粘液封孔方式下的主动式瓦斯测压[J].煤炭技术,2012,31(2):93-95.
CUI Zhengzhong,JIANG Chenglin,YOU Jijun.Active gas pressure measurement based on capsule-pressure binder sealing technology[J].Coal Technology,2012,31(2):93-95.
[4] 李爱民,张峰.基于6LoWPAN的井下数据采集器设计[J].工矿自动化,2014,40(11):113-115.
LI Aimin,ZHANG Feng.Design of underground data collector based on 6LoWPAN[J].Industry and Mine Automation,2014,40(11):113-115.
[5] SHELBY Z,BORMANN C.6LoWPAN:无线嵌入式物联网[M].韩松,魏逸鸿,陈德基,等,译.北京:机械工业出版社,2015:131-134.
[6] AQ/T 1047—2007 煤矿井下煤层瓦斯压力的直接测定方法[S].
[7] 张效奎,白恩健.基于6LoWPAN传感器网关设计[J].电子科技,2012,25(12):11-14.
ZHANG Xiaokui,BAI Enjian.Research on and design of wireless sensor network gateway based on 6LoWPAN[J].Electronic Science and Technology,2012,25(12):11-14.
[8] 沈德海,侯建,鄂旭,等.一种改进的加权均值滤波算法[J].现代电子技术,2015,38(10):1-3.
SHEN Dehai,HOU Jian,E Xu,et al.An improved weighted mean filtering algorithm[J].Modern Electronics Technique,2015,38(10):1-3.
[9] 国家安全生产监督管理总局,国家煤矿安全监察局.煤矿安全规程(2016)[M].北京:中国法制出版社,2016.
[10] VASSEUR J P,DUNKELS A.基于IP的物联网架构、技术与应用[M].田辉,徐贵宝,马军锋,等,译.北京:人民邮电出版社,2011:137-138.
[11] 李一鸣,任勇毛,李俊.基于UDP的传输协议性能比较与分析[J].计算机应用研究,2010,27(10):3906-3910.
LI Yiming,REN Yongmao,LI Jun.Comparison and evaluation of UDP-based transport protocol performance[J].Application Research of Computers,2010,27(10):3906-3910.
[12] 郭显,方君丽,张恩展.基于cooja仿真器的无线传感器网络实验研究[J].计算机教育,2017(3):167-172.
[13] 黄友锐,曲立国,史明.一种基于簇策略的物联网6LoWPAN报头压缩技术[J].工矿自动化,2013,39(2):54-57.
HUANG Yourui,QU Liguo,SHI Ming.A header compression technology of 6LoWPAN of Internet of things based on cluster strategy[J].Industry and Mine Automation,2013,39(2):54-57.
[14] 赵增华,王楠,窦志斌,等.基于IEEE 802.11的长距离无线Mesh网络[J].计算机学报,2012,35(6):1209-1222.
ZHAO Zenghua,WANG Nan,DOU Zhibin,et al.Long-distance IEEE 802.11 wireless Mesh networks: a survey[J].Chinese Journal of Computers,2012,35(6):1209-1222.
LIU Shaofei, WANG Guofu, ZHANG Faquan, YE Jincai
(School of Information and Communication, Guilin University of Electronic Technology, Guilin 541004, China)
Abstract:In view of problems of low measurement accuracy, delayed data transmission and inconvenient equipment deployment existed in current coal seam gas pressure monitoring, a coal seam gas pressure monitoring system based on 6LoWPAN was designed. In the system, pressure measurement node selects the optimal path in 6LoWPAN network through multi-hop mode, so as to transmit gas pressure data collected in real time to border router. The border router transmits the data to ground server through industrial Ethernet, and ground equipment can query real-time monitoring data of pressure measurement node in specified area through the server. The test results show that the system can real-timely and accurately monitor coal seam gas pressure with high data communication efficiency and stability and low power consumption.
Key words:coal seam gas; gas drainage; pressure monitoring; 6LoWPAN; low power consumption
收稿日期:2018-01-30;
修回日期:2018-06-18;
责任编辑:盛男。
基金项目:国家自然科学基金资助项目(61362020)。
作者简介:刘少飞(1990-),男,河南舞阳人,硕士研究生,主要研究方向为信号与信息处理,E-mail:liushaofei0912@163.com。通信作者:王国富(1977—),男,河南平顶山人,教授,博士,主要研究方向为自适应信号处理、阵列信息处理、压缩传感,E-mail:gfwang@guet.edu.com。
引用格式:刘少飞,王国富,张法全,等.基于6LoWPAN的煤层瓦斯压力监测系统设计[J].工矿自动化,2018,44(7):99-103.
LIU Shaofei,WANG Guofu,ZHANG Faquan,et al.Design of coal seam gas pressure monitoring system based on 6LoWPAN[J].Industry and Mine Automation,2018,44(7):99-103.
中图分类号:TD712
文献标志码:A
网络出版地址:http://kns.cnki.net/kcms/detail/32.1627.TP.20180625.1139.003.html
文章编号:1671-251X(2018)07-0099-05
DOI:10.13272/j.issn.1671-251x.2018010089