经验交流
叶美图1, 梁义维1, 王锟2
(1.太原理工大学 机械工程学院, 山西 太原 030024; 2.山西潞安矿业(集团)有限责任公司 漳村煤矿, 山西 长治 046032)
摘要:针对现有矿井巷道表面位移测量采用的十字交叉测量方法存在测量不便、耗时长、工作强度大、误差不可控等问题,设计了一种矿井巷道表面位移激光测量装置。该装置基于激光测距原理,利用激光测距仪完成十字定心和变形测量,通过单个激光测距仪可分别测得巷道中每个测试站顶板、底板、左帮和右帮4个方向的表面位移量。井下试验结果表明,该装置实现了无绳测量,测量效率高,结果准确,精度达到了1 mm,满足矿井使用要求。
关键词:矿井巷道; 巷道表面位移; 变形测量; 激光测距; 十字交叉法; 无绳测量
目前,十字交叉法是进行巷道表面位移观测最为简便常用的方法之一[1-2],该方法以“十”字形式将测绳固定在每个被测巷道测试站的4个测点上,通过水平、竖直方向测绳连接互为测试基准来测量巷道顶板、底板、左帮和右帮4个方向的表面位移量。这种方法测绳数量众多,且只起定位测点作用,实际数据由其他测量仪器如钢卷尺测量[3]。由于该方法测量时间长、工作强度大,且存在无法正常测量的情况,如测点位置被遮挡,或矿井风速较大时测量困难等,给十字交叉法的应用带来许多局限。
针对十字交叉法存在的问题,张源等[4]提出一种改进的十字交叉法,通过十字布点、菱形布线来提高测量精度,但该方法未脱离测绳多次补用范畴。谭云亮等[5]提出了测杆(DDS-2.5)、测枪(BHS-10)等方法,通过高度伸缩、读取标记示数来测量位移量,但该方法只能测量到顶底板的位移量,而不能同时对测试站4个方向的位移量进行测量。杨浩等[6-7]利用收敛计测量顶板位移量,但该方法测量很不方便,不利于测量推进。为此,本文根据十字交叉法原理,设计了一种快速省力的矿井巷道表面位移激光测量装置,通过激光测距仪完成十字定心和变形测量,实现了无测绳、高效、便捷的巷道表面位移测量。
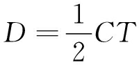
激光测距是利用激光具有很好的单色性、方向性、相干性和高亮度的特点,实现对长度、距离、角度等的高精度测量[8-10]。便携式激光测距仪是用激光测距原理制成的测量仪器,其测量原理如图1所示。一束激光从激光发射头发射而出,投射到待测物体上形成一个光斑,该光斑的反射光由感光镜头感知并接收,从而可以计算出待测距离D。
(1)
式中:C为激光在大气中的传播速度;T为激光在待测距离上往返的传播时间[11]。

1-激光测距仪;2-感光镜头;3-激光发射头;
4-显示屏;5-控制键区
图1 激光测距仪测量原理
Fig.1 Measurement principle of laser range finder
整个装置由以激光测距仪为主体的测量部分和以支撑架为主体的调整部分组成,如图2所示。

1-弹性挡条;2-支撑块;3-调位螺丝;4-转盘;5-激光测距仪;6-周转台;7-螺纹支撑头;8-水平仪;9-调高手柄;10-合页;11-螺钉;12-三级伸缩杆;13-定位螺钉;14-支撑滑块;15-旋紧锥台;16-升降杆;17-定高螺钉
图2 测量装置组成
Fig.2 Composition of measuring device
测量部分主要由激光测距仪、转盘、支撑块、调位螺丝和弹性挡条组成。激光测距仪固定在转盘上,转盘由调位螺丝定心于支撑块上,激光测距仪能够在支撑块平面内转动,且在相应位置由弹性挡条定位来防止测量时的晃动。支撑块与周转台侧面连接的合页使得支撑块及其所支撑组件能够绕合页轴旋转90°,从而由竖直方向转变为水平方向。测量部分所有组件均在周转台上,周转台经螺纹孔与螺纹支撑头相连接,从而使得该装置头部能在垂直于螺纹孔轴线的平面内转动。
调整部分主要由三级伸缩杆、升降杆、旋紧锥台、螺纹支撑头、调高手柄、定高螺钉和水平仪组成。三级伸缩杆上有支撑滑块和定位螺钉,通过这2种组件可以决定3根伸缩杆各自的总伸缩长度。安装在升降杆上的旋紧锥台可以通过旋紧或旋松来调节3根伸缩杆之间的跨角。螺纹支撑头与升降杆是固连的,通过调高手柄和定高螺钉来调节与固定升降杆的高度,所以,测量部分的高度也会随之升高或降低。水平仪用于测量前的水平调整。
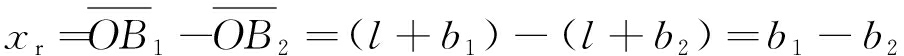
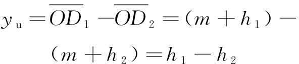
测量主要分为2个步骤:先定心,后测量。定心时,将激光测距仪旋转至竖直朝上的位置并打开,通过其发出的光斑找准测试站顶板上的测试点,对准该测试点,以水平仪为参考,通过调节升缩杆,将装置整体水平安放于测试站;再将激光测距仪旋转至使其竖直朝下的位置,将其在地面上投影的光斑与地面所设测点对准,如此则找准了顶、底板上的2个测点,此后装置整体位置不可再移动,直到测量结束;再由合页将固定有激光测距仪的支撑块转至水平位置,通过转动调高手柄来找准左右两帮上的测点,如此则完成了测前定心。测量时,激光测距仪设为“测量距离”模式,将光斑再次打到定心之后的顶底板及两帮的位置,在相应方向上读取测量数据即可。测量计算原理如图3所示,设水平放置时激光测距仪的激光发出端到旋转中心的距离为l,竖直放置时其朝上、朝下时激光发出端之间的总距离为m,令顶板下沉量、底鼓量、左帮位移量和右帮位移量分别为yu,yd,xl,xr,则测量所得为
(2)
(3)
(4)
(5)
式中:下标1、2分别表明该数据是第1次和第2次测量所得数据;h,b,a分别表示在测量顶板、右帮和左帮时激光测距仪的读数。

图3 测量计算原理
Fig.3 Measurement and calculation principle
测量装置实物如图4所示,装置整体组件所用材料为铝合金。
以漳村煤矿综采工作面为例进行装置试验测试。漳村煤矿综采工作面高为3.5 m、宽为5 m,特殊巷道高为5 m、宽为7 m。井下温度为12~18 °C,通风良好。采用十字布点法安设测站,在顶底板中部垂直方向和两帮水平方向布置测点,在直径为20 mm的测点外露木桩端部以螺钉固定φ25 mm的金属圆块,水平和垂直方向的2个监测断面沿巷道轴向间隔为0.6~1.0 m。用1个YHJ-100J矿用本安型激光测距仪测量每个方向上的表面位移。根据测量规定,测量精度要求达到1 mm,测站观测频度要求每周观测1次,且每个测站要进行专门的编号,以便于读数和记录。需要说明的是,由于激光测距仪的工作原理要求,图2中所示的直径Φ需大于20 mm。

图4 测量装置实物
Fig.4 Material object of measuring device
将该装置应用于漳村煤矿某综采工作面的2个测试站点,测量结果见表1。
从表1可看出,该方法测量所得数据准确,能够达到1 mm精度,满足矿用要求。而且,数据处理时,每个h,a,b都由激光测距仪的示数给出,同时每次测量前后的数据相减都将与实际位移无关的数据消去,避免了因人工测量带来的误差;结果读取也不再依赖人眼判断,而直接从激光测距仪读取,提高了测量的自动化水平;装置所用激光测距仪有数据存储功能,有助于数据处理;解决了测绳丢失尤其是顶板测绳丢失后的测量困难问题。
(1) 矿井巷道表面位移激光测量装置基于激光测距原理,通过合理设计测量部分和调整部分结构,利用单个激光测距仪可完成巷道表面4个位移量的一次性测量。
(2) 激光测距仪肉眼可见光斑的优势在漆黑工况下非常明显,故该装置尤其适用于井下测量。
表1 井下试验结果
Table 1 Underground test results

(3) 该装置测量结果准确,满足1 mm级别精度要求,且结果读取直观、便捷。
参考文献(References):
[1] 钱鸣高,石平五.矿山压力与岩层控制[M].徐州:中国矿业大学,2003.
[2] 兰天伟,曹博,张春营.矿压监测在六家煤矿的应用[J].煤炭技术,2008,27(2):78-80.
LAN Tianwei,CAO Bo,ZHANG Chunying. Application of mine pressure monitoring in Liujia Coal Mine.[J].Coal Technology,2008,27(2):78-80.
[3] 寇子明.液压支架动态特性分析与检测[M].北京:冶金工业出版社,1996:52-55.
[4] 张源,周长冰,刘渝,等.巷道表面位移观测技术的创新性研究[EB/OL]. (2010-01-08)[2017-10-11].http://www.paper.edu.cn/releasepaper/content/201001-288.
[5] 谭云亮,吴士良,尹增德,等.矿山压力与岩层控制[M].北京:煤炭工业出版社,2008:276-280.
[6] 杨浩.等效法收敛计变形监测[J].测绘通报,2011,18(12):18-21.
YANG Hao.Equivalent method of convergence gauge deformation monitoring[J].Bulletin of Surveying and Mapping,2011,18(12):18-21.
[7] LI Yubao,YANG Li.Testing and precision analysis of convergence indicator[J].Bulletin of Surveying and Mapping,2009,16(3):45-48.
[8] 张啸.手持式激光测距仪的研究与设计[D].合肥:合肥工业大学,2010:1-7.
[9] PALOJARVI P, RUOTSALAINEN T, KOSTANOVAARA J.A 250-MHz BiCOMS receiver channel with leading edge timing discriminator for a pulsed time-of-flight laser range finder[J].IEEE Journal of Solid-State Circuits,2005,40(6):1341-1349.
[10] 孙婷.手持式激光测距仪研究[D].北京:北京交通大学,2012:1-4.
[11] LI Junfeng,RUAN Linlin,YAO Dan.Principle and Implementation of portable laser range finder[J].Geomatics & Spatial Information Technology,2014(1):103-105.
YE Meitu1, LIANG Yiwei1, WANG Kun2
(1.College of Mechanical Engineering,Taiyuan University of Technology ,Taiyuan 030024,China; 2.Zhangcun Coal Mine,Shanxi Lu'an Mining (Group) Co., Ltd., Changzhi 046032,China)
Abstract:In view of problems of inconvenient measurement, time consuming, high labor intensity and uncontrollable errors of existing cross-measuring methods of surface displacements of mine roadway, a laser measuring device of surface displacements of mine roadway was designed. Based on the principle of laser ranging, the device uses laser range finder to complete measurement of cross centering and deformation, and can measure surface displacements of the roof, floor, left and right sidewalls of each testing station in roadway respectively by single laser range finder. The underground test results show that the device realizes cordless measurement with high measuring efficiency, accurate results, and accuracy up to 1 mm, which meets requirements of mine.
Key words:mine roadway; surface displacement of roadway; deformation measurement; laser ranging; cross-measuring method, cordless measurement
收稿日期:2017-12-30;
修回日期:2018-03-25;
责任编辑:张强。
基金项目:山西省重点研发计划项目(201603D121003)。
作者简介:叶美图(1995-),男,甘肃岷县人,硕士研究生,主要研究方向为机械制造及其自动化,E-mail:1689806018@qq.com。
引用格式:叶美图,梁义维,王锟.矿井巷道表面位移激光测量装置研究[J].工矿自动化,2018,44(7):84-87.
YE Meitu,LIANG Yiwei,WANG Kun.Research on laser measuring device of surface displacements of mine roadway[J].Industry and Mine Automation,2018,44(7):84-87.
中图分类号:TD325
文献标志码:A
网络出版地址:http://kns.cnki.net/kcms/detail/32.1627.TP.20180615.0858.001.html
文章编号:1671-251X(2018)07-0084-04
DOI:10.13272/j.issn.1671-251x.2017120086