秦翥
(中煤科工集团上海有限公司, 上海 200030)
摘要:针对目前带式输送机转载点粉尘治理的研究主要限于除尘或降尘等具体措施且粉尘治理效果不理想的问题,从转载点粉尘形成诱因出发,分析了煤料在转载点运输过程中形成的诱导气流、剪切气流和牵引气流对粉尘析出的影响;以直线型转载点煤料受力为例,得出影响粉尘浓度分布的转载点结构参数;利用Fluent软件对不同转载点倾角、截面积及截面形状下粉尘浓度分布进行了数值模拟,结果表明:转载点倾角越大,粉尘分布范围越大,转载点出口处粉尘浓度越高;转载点截面积越大,转载点出口处粉尘浓度越低;转载点截面积相同但截面形状不同时,圆形截面转载点粉尘浓度最低。
关键词:带式输送机; 转载点; 粉尘浓度; 粉尘治理
在煤矿运输过程中,带式输送机转载点的粉尘污染问题较为突出[1]。煤料在转运过程中形成的小粒径粉尘长期悬浮在空气中,危害职工健康;大粒径粉尘虽然可在短时间内自然沉降,但在后续煤料的冲击下会被再次扬起[2-3]。在密闭环境中,粉尘浓度过高时极易引发爆炸,严重威胁生产安全[4-5]。目前,对带式输送机转载点粉尘治理的研究主要限于除尘或降尘等具体措施[6-10],缺乏对转载点粉尘形成诱因的分析,较难达到理想的粉尘治理效果。本文从粉尘产生与转载点结构的关系出发,利用Fluent软件对不同倾角、截面积及截面形状下转载点粉尘浓度分布进行数值模拟,旨在为通过优化转载点结构来抑制粉尘污染提供理论依据。
(1) 诱导气流引发的粉尘。煤料进入转载点入口处后,由水平匀速直线运动转为离心抛物加速运动,使转载点密闭空间内的气体共同运动,形成诱导气流[11]。当煤料下滑接近受料输送带时,煤料的势能逐渐转化为动能,使转载点出口处诱导气流随之增大,将小粒径固体颗粒从煤料中剥离,造成落料时粉尘外溢。
(2) 剪切气流引发的粉尘。由于煤料在运动过程中与转载点内壁或受料输送带发生碰撞,破坏了煤料原有的堆积状态,使疏松煤料间的气体被快速挤压,形成剪切气流[12],带动煤料中小粒径固体颗粒一起逸出,造成转载点密闭空间内及出口处粉尘污染。
(3) 牵引气流引发的粉尘。煤料沿转载点滑行下落时,在转载点内壁两侧形成牵引气流[12],并随单位面积的煤料数量增多而加强,使小粒径固体颗粒逸散至空气中形成粉尘。特别在转载点出口处,由于煤料做非连续性离心力运动,使得牵引气流达到峰值,引起的粉尘浓度最大。
根据上述粉尘析出机理可知,转载点粉尘是在诱导气流、剪切气流和牵引气流共同作用下产生的,气流变化与煤料在转载点的运动状态密切相关,而转载点结构决定了煤料运动状态。以应用较广泛的直线型转载点结构为例,煤料在转载点所受作用力主要包括内壁承载力FN、内壁摩擦阻力FW及重力FG,如图1所示。

图1 直线型转载点煤料受力
Fig.1 Force of coal material in straight-line transfer site
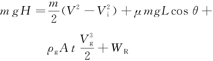
根据牛顿第二定律及能量守恒定律,可得

(1)
式中:m为煤料质量,kg;g为重力加速度,m/s2;H为转载点入口处与地面的垂直高度,m;V为煤料流出转载点的速度,m/s;Vi为煤料流入转载点的速度,m/s;μ为煤料与内壁间摩擦因数;L为转载点转运长度,m;θ为转载点倾角,(°);ρg为气体密度,kg/m3;A为转载点截面积,m2;t为煤料通过转载点的时间,s;Vg为转载点密闭空间内气流速度,m/s;WR为煤料下落的功率损耗,J。
从式(1)可看出,在m,H,Vi一定的前提下,煤料运动状态与转载点倾角、截面积相关:① 当具有一定初速度的煤料下落时,转载点倾角越大,煤料的重力势能将更多地转化为切向动能,加快煤料的运行速度,增大煤料到达受料输送带的冲击力,增强诱导气流及牵引气流,引起粉尘浓度增加。② 转载点截面积决定了煤料的运动空间,当转载点截面积减小时,煤料的运动空间变小,诱导气流、剪切气流增强,造成转载点粉尘浓度增加。③ 当转载点截面积相同、截面形状不同时,煤料与内壁的接触面积不同,使得单位时间内流经相同截面积的煤料数量、煤料与气流的作用面积不同,影响牵引气流、剪切气流强度,从而影响粉尘浓度分布。
利用Fluent软件对带式输送机转载点粉尘浓度分布进行数值模拟。通过计算转载点密闭空间内粉尘颗粒的容积含固率,确定带式输送机转载点流场符合稀疏湍流气固两相流描述。因此,采用欧拉方法描述连续气相流场[13],待模拟的风流流场趋于稳定后,再加入离散相模型,利用拉格朗日法描述粉尘运移轨迹[14-15]。
转载点模型参数:长度为20 m;若无特别说明,转载点截面积为25 m2,截面形状为正方形;倾角为90°。在CFD中设置参数:空气密度为1.225 kg/m3,压强为101 325 Pa,绝对温度为288.16 K,空气黏性系数为1.789 4×10-5kg/(m·s),风速为2 m/s,粉尘浓度为960 mg/m3,粉尘喷射速度为5 m/s,煤料密度为2 300 kg/m3,固体颗粒分布符合Rosin-Rammler分布。不同截面积下水力直径与湍流强度见表1。
表1 不同截面积下水力直径与湍流强度
Table 1 Hydraulic diameter and turbulence intensity under different section area

由于转载点密闭空间内含尘气流运动影响因素较复杂,仿真时需做如下假设:① 煤料为均匀且连续运动的圆球形颗粒;② 忽略外界气流对转载点密闭空间内部气流的影响;③ 忽略大气温度、湿度对固体颗粒属性及气体流场特性的影响;④ 假设转载点密闭空间的封闭性能良好且无漏风点;⑤ 忽略固体颗粒间的反弹与碰撞。
3.2.1 不同转载点倾角下粉尘浓度分布
转载点倾角分别为30,45,50,60°时粉尘浓度分布如图2所示。可看出倾角越大,粉尘分布范围越大,转载点出口处粉尘浓度越高。因此,在工况允


图2 不同转载点倾角下粉尘浓度分布
Fig.2 Dust concentration distribution under different inclination of transfer site
许的条件范围内,可通过适当减小转载点倾角,控制煤料在转载点的运行速度,有利于降低转运过程中由于诱导气流造成的粉尘污染。
3.2.2 不同转载点截面积下粉尘浓度分布
转载点截面积分别为10,25,40,55 m2时粉尘浓度分布如图3所示。可看出随着截面积增加,转载点出口处粉尘浓度减小。因此,通过适当增加转载点截面尺寸,可降低转载点粉尘浓度。
3.2.3 不同转载点截面形状下粉尘浓度分布
转载点截面形状分别为矩形、正方形、圆形时粉尘浓度分布如图4所示。可看出正方形、矩形、圆形截面形状下转载点粉尘浓度依次降低。因此,采用圆形截面形状的转载点可有效降低粉尘浓度。


图3 不同转载点截面积下粉尘浓度分布
Fig.3 Dust concentration distribution under different section area of transfer site

(a) 截面形状为矩形

(b) 截面形状为正方形

(c) 截面形状为圆形
图4 不同转载点截面形状下粉尘浓度分布
Fig.4 Dust concentration distribution under different section shape of transfer site
(1) 分析了带式输送机转载点粉尘析出机理,指出粉尘是煤料在转载点运输时形成的诱导气流、剪切气流和牵引气流共同作用产生的;以直线型转载点煤料受力为例,得出影响粉尘浓度分布的转载点结构参数,包括倾角、截面积及截面形状。
(2) 采用气固两相流模型对不同转载点倾角、截面积及截面形状下粉尘浓度分布进行了数值模拟,结果表明:转载点倾角越大,粉尘分布范围越大,转载点出口处粉尘浓度越高;转载点截面积越大,转载点出口处粉尘浓度越低;转载点截面积相同但截面形状不同的情况下,圆形截面转载点粉尘浓度最低。
参考文献(References):
[1] 陈举师,蒋仲安,王明.胶带输送巷道粉尘浓度分布的数值模拟及实验研究[J].湖南大学学报(自然科学版),2015,42(6):127-134.
CHEN Jushi,JIANG Zhongan,WANG Ming.Numerical simulation and experimental research on dust concentration distribution in belt conveyer roadway[J].Journal of Hunan University(Natural Sciences),2015,42(6):127-134.
[2] 王洪胜,吴兵,丁晓文.胶带运输系统粉尘运动规律及控制技术模拟研究[J].矿业安全与环保,2017,44(3):10-15.
WANG Hongsheng,WU Bing,DING Xiaowen.Simulation study on dust movement law and control technology of belt conveyor system[J].Mining Safety & Environmental Protection,2017,44(3):10-15.
[3] 张子文,杨帆,吴文豪,等.输煤皮带巷运煤量对扬尘运移扩散影响的数值模拟[J].环境工程学报,2017,11(5):2967-2976.
ZHANG Ziwen,YANG Fan,WU Wenhao,et al.Numerical simulation for effect of coal amount on dust migration and diffusion in belt conveyor roadway[J].Chinese Journal of Environmental Engineering,2017,11(5):2967-2976.
[4] 陈举师,王毅,蒋仲安.采场爆破烟尘浓度分布及扩散规律的数值模拟[J].煤炭学报,2013,38(增刊1):147-152.
CHEN Jushi,WANG Yi,JIANG Zhongan.Numerical simulation of blasting dust concentration distribution and diffusion regularities in stope[J].Journal of China Coal Society,2013,38(S1):147-152.
[5] 时训先,邓权龙,蒋仲安,等.石棉破碎车间粉尘质量浓度分布的数值模拟及实测[J].中国安全生产科学技术,2017,13(6):179-184.
SHI Xunxian,DENG Quanlong,JIANG Zhongan,et al.Numerical simulation and measurement on mass concentration distribution of dust in asbestos crushing plant[J].Journal of Safety Science and Technology,2017,13(6):179-184.
[6] 杨俊哲.神东矿区综合防尘技术及应用[J].煤炭科学技术,2015,43(11):54-59.
YANG Junzhe.Comprehensive dust prevention technology and application in Shendong Mining Area[J].Coal Science and Technology,2015,43(11):54-59.
[7] 高建川.屯兰选煤厂煤尘治理研究与实践[J].煤炭科学技术,2016,44(8):199-202.
GAO Jianchuan.Study and practices on coal dust control in Tunlan Coal Preparation Plant[J].Coal Science and Technology,2016,44(8):199-202.
[8] 邹常富.高压喷雾参数优化及应用研究[J].矿业安全与环保,2016,43(6):9-12.
ZOU Changfu.Study on optimization and application of high-pressure spray parameters[J].Mining Safety & Environmental Protection,2016,43(6):9-12.
[9] 马威.基于引射喷雾和挡尘帘的采煤机含尘气流控制技术研究[J].矿业安全与环保,2017,44(1):21-24.
MA Wei.Research on dust control technology for coal mining machine based on ejection spray and dust curtain[J].Mining Safety & Environmental Protection,2017,44(1):21-24.
[10] 张龙正,史晓勇,赵大鹏.综合降尘技术在煤矿综掘工作面的应用[J].煤炭工程,2017,49(11):69-70.
ZHANG Longzheng,SHI Xiaoyong,ZHAO Dapeng.Application of comprehensive dust reduction technology for fully mechanized tunneling face in underground coal mine[J].Coal Engineering,2017,49(11):69-70.
[11] 姚海飞,邓志刚,李继良,等.抽出式通风风流运动及粉尘运移规律数值模拟研究[J].煤矿开采,2014,19(5):96-99.
YAO Haifei,DENG Zhigang,LI Jiliang,et al.Numerical simulation for airflow movement and dust transportation of exhaust ventilation[J].Coal Mining Technology,2014,19(5):96-99.
[12] 贾兰,宋子岭,赵光.大高差溜槽粉尘颗粒扩散运动规律数值模拟[J].环境工程学报,2016,10(3):1406-1411.
JIA Lan,SONG Ziling,ZHAO Guang.Numerical simulation of dust particle diffusion elevation movement during a process of large height difference chut[J].Chinese Journal of Environmental Engineering,2016,10(3):1406-1411.
[13] SARLI V D,RUSSO P,SANCHIRICO R,et al.CFD simulations of dust dispersion in the 20 L vessel: effect of nominal dust concentration[J].Journal of Loss Prevention in the Process Industries,2014,27(1):8-12.
[14] IODICE P,ADAMO P,CAPOZZI F,et al.Air pollution monitoring using emission inventories combined with the moss bag approach[J].Science of the Total Environment,2016,541(11):1410-1419.
[15] MURILLO C,DUFAUD O,BARDIN-MONNIER N,et al.Dust explosions: CFD modeling as a tool to characterize the relevant parameters of the dust dispersion[J].Chemical Engineering Science,2013,104(50):103-116.
QIN Zhu
(CCTEG Shanghai Research Institute, Shanghai 200030, China)
Abstract:For problem that current research on dust control at transfer site of belt conveyor was mainly limited to specific measures such as dust removal or dust reduction, which results in unsatisfied dust control effect, influences of inducing air flow, shear air flow and traction air flow which formed during coal transportation at transfer site on dust generation was analyzed starting from dust inducement at transfer site. Take force of coal material at straight-line transfer site as an example, structure parameters of transfer site which influence dust concentration distribution were obtained. Numerical simulation of dust concentration distribution under different inclination, section area and section shape of transfer site was conducted by use of Fluent software. The results show that the larger the inclination is, the larger the dust distribution range and the higher the dust concentration at transfer site outlet is. The larger the section area is, the lower the dust concentration at transfer site outlet is. When section area is the same but section shape is different, dust concentration at transfer site with circular section shape is the lowest.
Key words:belt conveyor; transfer site; dust concentration; dust control
收稿日期:2018-01-22;
修回日期:2018-06-11;
责任编辑:盛男。
基金项目:上海市产业转型升级专项资金资助项目(沪J-2017-09);中国煤炭科工集团有限公司科技创新创业资金专项项目(2018QN006)。
作者简介:秦翥(1988-),女,上海人,工程师,硕士,主要从事矿用装备信息化研发方面的工作,E-mail:qin-zhu@hotmail.com。
引用格式:秦翥.带式输送机转载点粉尘浓度分布数值模拟[J].工矿自动化,2018,44(7):70-74.
QIN Zhu.Numerical simulation of dust concentration distribution in transfer site of belt conveyor[J].Industry and Mine Automation,2018,44(7):70-74.
中图分类号:TD714
文献标志码:A
网络出版地址:http://kns.cnki.net/kcms/detail/32.1627.TP.20180625.1138.002.html
文章编号:1671-251X(2018)07-0070-05
DOI:10.13272/j.issn.1671-251x.2018010064