李姗姗1, 魏钰金2, 朱海铭2, 刘江文1
(1.江苏建筑职业技术学院 机电工程学院, 江苏 徐州 221116;2.中国矿业大学 电气与动力工程学院, 江苏 徐州 221116)
摘要:针对脉冲序列控制开关变换器运行在电感电流连续导电模式下存在较大的低频振荡现象,进而影响开关变换器工作性能的问题,提出了一种连续限制性脉冲序列控制方法。以连续限制性脉冲序列控制Buck变换器为例,详细介绍了该控制方法的工作原理,阐述了其抑制开关变换器低频振荡的机理,建立了连续限制性脉冲序列控制Buck变换器在电感电流连续导电模式下的开关映射模型。通过Matlab仿真和样机实验,对比了脉冲序列控制和连续限制性脉冲序列控制下Buck变换器的输出电压和电感电流情况。研究结果表明,与脉冲序列控制方法相比,连续限制性脉冲序列控制方法通过对连续脉冲个数进行限制,有效抑制了开关变换器在电感电流连续导电模式下的低频振荡现象。
关键词:开关变换器; Buck变换器; 脉冲序列控制; 连续限制性脉冲序列控制; 连续导电模式; 低频振荡; 开关映射
开关变换器中应用最广泛的控制技术为脉冲宽度调制(Pulse-Width Modulation,PWM),其存在瞬时响应慢、补偿网络设计复杂等缺点[1-2]。为了弥补这一缺点,提出了脉冲序列(Pulse Train, PT)控制[3-5]。PT控制通过预设2组频率相同、占空比不同的高低功率脉冲信号,根据输出电压与参考值的对比结果来调整高低功率脉冲的组合,以实现对输出电压的调节。该控制方法具有动态响应快、鲁棒性好、不需要补偿网络的优点,适用于对可靠性要求较高的开关电源系统[6-7]。
PT控制在电感电流断续导电模式(Discontinuous Conduction Mode,DCM)的开关变换器中应用较成熟。DCM下,电感在每个开关周期的储能变化量均为零,输入能量可以完全传递到输出端,高功率脉冲作用时输出电压将增加,低功率脉冲作用时输出电压将减小,因此PT控制可以实现快速响应[8-10]。但当PT控制应用在电感电流连续导电模式(Continuous Conduction Mode,CCM)的开关变换器时,电感储能变化量不为零,输出电压的变化同时受输入能量和电感储能的影响,会产生较大的低频振荡现象,使开关变换器的工作性能受到较大影响[11-12]。
为了克服PT控制开关变换器在CCM下的低频振荡现象,文献[12]提出了增大输出滤波电容等效串联电阻的方法,但导致输出电压纹波变大;文献[13]通过电感电流纹波注入反馈支路,将电感电流纹波信息叠加到输出端,解决了输出电压调节的滞后性问题,从而抑制了Buck变换器在CCM下的低频波动现象,但该方法增加了电路设计复杂度;文献[14]采用谷值电流型脉冲序列控制方法,给电感电流预设1个谷值,使1个开关周期内的电感储能变化量为零,从而消除了低频振荡现象,但导致变换器的功率范围受限;文献[15]提出了一种谷值电流型脉冲序列控制技术,给电感电流设置多个谷值,不仅抑制了低频振荡,还使输出功率范围明显扩大,但增加了电路的复杂程度。
本文提出一种连续限制性脉冲序列(Continuous Restrictive Pulse Train,CR-PT)控制技术,以该技术在Buck变换器中的应用为例,阐述了其抑制低频振荡的机理,建立了CR-PT控制Buck变换器在CCM下的开关映射模型,并通过仿真和实验验证了CR-PT控制在抑制开关变换器低频振荡方面的有效性。
CR-PT控制Buck变换器电路包括Buck主电路和控制电路,如图1所示。与传统PT控制Buck变换器电路相比,该电路增加了脉冲个数判断电路和脉冲反转电路。

图1 CR-PT控制Buck变换器电路
Fig.1 CR-PT controlled Buck converter circuit
CR-PT控制原理:对输出电压v进行采样,与参考电压vref进行比较,v>vref时选择高功率脉冲PH,v≤vref时选择低功率脉冲PL。然后针对每一次选择的脉冲种类进行计数。当连续选择高功率脉冲数量μH超过预设值NHr时,启动脉冲反转电路,强制选择1次低功率脉冲,以限制电感电流的上升幅度和速度;当连续选择低功率脉冲数量μL超过预设值NLr时,启动脉冲反转电路,强制选择1次高功率脉冲,以限制电感电流的下降幅度和速度。CR-PT控制Buck变换器开关信号占空比为
(1)
式中:DH为高功率脉冲PH的占空比;DL为低功率脉冲PL的占空比。
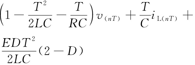
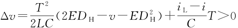
当开关变换器工作在CCM下时,其脉冲控制信号直接决定电感电流大小,并通过电感电流的调节来间接调整输出电压。然而由于电感电流不能突变,导致开关变换器输出电压升降与电感电流升降之间出现相位差,从而产生低频振荡现象。如果开关变换器能够在高功率脉冲作用时使输出电压随电感电流升高而升高,在低功率脉冲作用时使输出电压随电感电流降低而降低,则开关变换器将不存在低频振荡现象。由文献[12]可知,在1个开关周期内,Buck变换器输出电压的变化量为
(2)
式中:T为开关周期;L,C为Buck主电路的电感和电容;E为输入电压;iL为电感电流;i为负载电流。
由式(2)可知,输出电压变化量不仅与电路参数及开关信号占空比D有关,还与电感电流iL有关。欲消除低频振荡现象,应满足高功率脉冲信号作用时输出电压变化量大于零、低功率脉冲信号作用时输出电压变化量小于零的条件,即
(3)
(4)
(5)
(6)
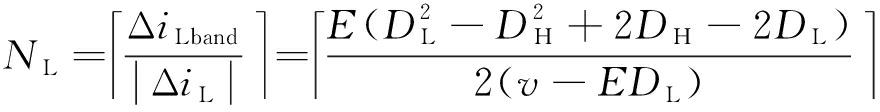
由式(3)—式(6)可知,在高功率脉冲信号作用下,当电感电流满足式(4)时,输出电压会上升;在低功率脉冲信号作用下,当电感电流满足式(6)时,输出电压会下降。这样便消除了输出电压与电感电流之间的滞后性,从而抑制低频振荡。由式(4)和式(6)可定义电感电流的下边界iLdown与上边界iLup:
(7)
(8)
上下边界的宽度为

(9)
根据电感电流的上下边界,可将电感电流运动界面分为3个区域,如图2所示。在每个开关周期起始时刻,电感电流落在不同区域时,输出电压会有不同的特性。当电感电流在区域Ⅲ内运动时,虽然在高功率脉冲信号作用下电感电流上升,但输出电压下降;当电感电流在区域Ⅱ内运动时,输出电压可随电感电流上升或下降,无滞后性;当电感电流在区域Ⅰ内运动时,虽然在低功率脉冲信号的作用下电感电流下降,但输出电压上升。因此,如果能控制电感电流在区域Ⅱ内运动,则可以抑制低频振荡。
对于Buck主电路,在单周期脉冲作用下电感电流的变化量为

图2 电感电流运动界面
Fig.2 Inductor current motion diagram
(10)
可求得在高功率脉冲作用下,电感电流从下边界运动到上边界时需要的脉冲数:
(11)
式中
x
为向上取整函数,取大于等于x的最小整数。
在低功率脉冲作用下,电感电流从上边界运动到下边界时需要的脉冲数为
(12)
另外,在连续NH个高功率脉冲后强制转换1次低功率脉冲,为了使电感电流保持上升,应满足
NHΔiLH+ΔiLL>0
(13)
式中:ΔiLH为电感电流上升值;ΔiLL为电感电流下降值。
由式(13)可得
(14)
在连续NL个低功率脉冲后强制转换1次高功率脉冲,为了使电感电流保持下降,应满足
NLΔiLL+ΔiLH<0
(15)
由式(15)可得
(16)
由式(2)和式(10)可得Buck变换器在任意第(n+1)个开关周期的输出电压和电感电流迭代模型:
v[(n+1)T]=v(nT)+Δv(nT)=

(17)
(18)
式中:v(nT)为第n个开关周期起始时刻的输出电压;Δv(nT)为第n个开关周期起始时刻的输出电压变化量;R为负载电阻;iL(nT)为第n个开关周期起始时刻的电感电流。
根据式(17)、式(18)及CR-PT控制原理,可得CR-PT控制Buck变换器输出电压与电感电流的同步开关映射方程:
(19)
式中:
基于式(19)对CR-PT控制Buck变换器的开关映射模型进行迭代分析。以负载电阻R为变化参数,其他参数设为定值,可得出CR-PT控制Buck变换器在变量R下的边界碰撞分岔图。CR-PT控制Buck变换器的电路参数和控制参数见表1。采用Matlab和Origin软件得到Buck变换器随负载电阻R变化时的输出电压和电感电流分岔图,如图3、图4所示。
表1 CR-PT控制Buck变换器参数
Table 1 Parameters of CR-PT controlled Buck converter

从图3可看出,PT控制Buck变换器的输出电压具有很大的非线性,输出电压在参考电压处发生边界碰撞,且振荡幅值随负载电阻增大而增大;R-PT控制Buck变换器的输出电压也与参考电压发生边界碰撞,但电压波动幅度非常小,且在负载电阻增大的情况下依然保持稳定。从图4可看出,PT控制Buck变换器的电感电流随负载电阻增大而逐渐减小,但电流振荡幅值越来越大;CR-PT控制Buck变换器的电感电流随负载电阻增大也逐渐减小,电流振荡幅值也越来越大,但与PT控制Buck变换器相比小得多。可见,采用CR-PT控制方法可有效抑制Buck变换器在CCM下的低频振荡现象,并显著减小电感电流的振荡区间。

(a) PT控制

(b) CR-PT控制
图3 输出电压分岔图
Fig.3 Bifurcation diagram of output voltage

(a) PT控制

(b) CR-PT控制
图4 电感电流分岔图
Fig.4 Bifurcation diagram of inductor current
C
基于Matlab软件搭建了CR-PT控制Buck变换器电路。电路参数和控制参数见表1。令负载电阻R=5,15 Ω。2种负载电阻情况下,Buck变换器工作在CCM时,其输出电压和电感电流仿真波形分别如图5、图6所示,其中t为时间。

(a) PT控制

(b) CR-PT控制
图5R=5 Ω时Buck变换器输出电压和电感电流仿真波形
Fig.5 Simulative waves of output voltage and inductor current of Buck converter whenRis 5 Ω
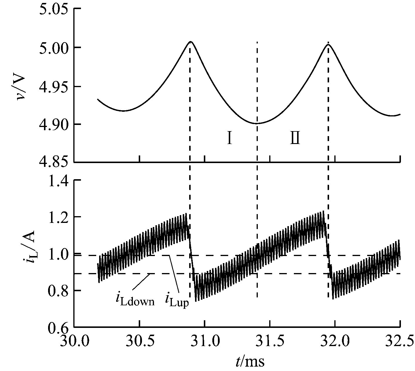
当R=5 Ω时,根据式(7)—式(12)可得电感电流的上下边界分别为iLup=0.992 A,iLdowm=0.908 A,高功率脉冲PH作用时,电感电流上升值ΔiLH=0.04 A,低功率脉冲PL作用时,电感电流下降值ΔiLL=-0.08 A,进而可得高功率脉冲PH作用下电感电流从下边界运动到上边界时需要的脉冲数NH=3,低功率脉冲PL作用下电感电流从上边界运动到下边界时需要的脉冲数NL=2。
由图5(a)可知,PT控制Buck变换器存在明显

(a) PT控制

(b) CR-PT控制
图6R=15 Ω时Buck变换器输出电压和电感电流仿真波形
Fig.6 Simulative waves of output voltage and inductor current of Buck converter whenRis 15 Ω
的低频振荡现象,输出电压振荡区间为4.90~5.01 V,振荡幅值为0.11 V;电感电流振荡区间为0.76~1.22 A,振荡幅值为0.46 A。根据输出电压上升与下降,将输出电压的1个低频振荡周期分为区域Ⅰ和区域Ⅱ,并将所求电感电流上下边界标在电流上。可看出在区域Ⅰ内,尽管电感电流一直上升,但输出电压下降,直到开关周期起始时刻的电感电流大于下边界,输出电压才开始上升。在整个振荡周期,开关周期起始时刻的电感电流只有少部分落在了电流带内。
由图5(b)可知,CR-PT控制Buck变换器依然存在轻微的低频振荡现象,输出电压振荡区间为4.988~5.002 V,振荡幅值为0.014 V;电感电流振荡区间为0.85~1.15 A,振荡幅值为0.3 A。显然,与PT控制相比,CR-PT控制Buck变换器的输出电压振荡幅值大幅度减小,在一定误差标准下,可认为输出电压保持恒定,无低频振荡,且电感电流的波动幅度也减小很多。在整个振荡周期,CR-PT控制Buck变换器在开关周期起始时刻的电感电流大部分落在了电流带内,从而消除了输出电压与电感电流的滞后性,抑制了低频振荡现象。
同样地,当R=15 Ω时,求得电感电流的上下边界分别为iLup=0.325 A,iLdowm=0.241 A。从图6(a)可看出,PT控制Buck变换器输出电压振荡区间为4.83~5.02 V,振荡幅值为0.19 V;电感电流振荡区间为0~0.66 A,振荡幅值为0.66 A,存在明显的低频振荡现象。
从图6(b)可看出,CR-PT控制Buck变换器存在轻微的低频振荡现象,输出电压振荡区间为4.992~5.002 V,振荡幅值为0.01 V;电感电流振荡区间为0.19~0.45 A,振荡幅值为0.26 A,且开关周期起始时刻的电感电流大部分落在了电流带内。在一定误差标准下,可认为输出电压保持恒定,无低频振荡现象。
根据Matlab中搭建的CR-PT控制Buck变换器电路仿真模型,试制了一台实验样机,电路参数与仿真参数保持一致。样机采用的主要器件包括IRFZ24N(55 V/17 A)型开关管、MBRB1045C(24 V/10 A)型二极管、LM339N型比较器、CD4013BE型逻辑与门、SN74HC08N型逻辑或门、LA-50P型霍尔电流传感器、6N137型光电耦合器、IR2104型驱动芯片。高低功率脉冲信号由TMS320F28335 型DSP产生,脉冲个数判断电路与脉冲反转电路由TMS320F28335实现。
R=5,15 Ω时,CCM下Buck变换器输出电压和电感电流实验波形分别如图7、图8所示。从图7可看出,R=5 Ω时,PT控制Buck变换器输出电压存在明显的低频振荡现象,振荡区间为4.8~5.1 V,平均值为4.92 V,振荡幅值为0.3 V;电感电流振荡区间为0.8~1.2 A,平均值为1.13 A,振荡幅值为0.4 A,只有少部分落在电流带内。CR-PT控制Buck变换器输出电压保持恒定,无低频振荡现象,输出电压平均值为5.00 V,电感电流平均值为0.984 A,大部分落在电流带内。实验结果与理论分析和仿真结果一致。
从图8可看出,R=15 Ω时,PT控制Buck变换器输出电压有明显的低频振荡,振荡区间为4.7~5.1 V,平均值为4.90 V,振荡幅值为0.4 V;电感电流振荡区间为0.8~1.2 A,平均值为1.13 A,振荡幅值为0.4 A,只有少部分落在电流带内。CR-PT控制Buck变换器输出电压保持恒定,无低频振荡现象,输出电压平均值为5.01 V,电感电流平均值为0.349 A,大部分落在电流带内。实验结果与理论分析和仿真结果一致。

(a) PT控制

(b) CR-PT控制
图7R=5 Ω时Buck变换器输出电压和电感电流实验波形
Fig.7 Experimental waves of output voltage and inductor current of Buck converter whenRis 5 Ω

(a) PT控制

(b) CR-PT控制
图8R=15 Ω时Buck变换器输出电压和电感电流实验波形
Fig.8 Experimental waves of output voltage and inductor current of Buck converter whenRis 15 Ω
针对PT控制开关变换器在CCM下的低频振荡问题,提出了一种CR-PT控制方法,并以CR-PT控制Buck变换器为例,介绍了该方法的工作原理,阐述了其抑制开关变换器低频振荡的机理,建立了CR-PT控制Buck变换器开关映射模型,绘制了输出电压与电感电流分岔图。仿真和实验结果表明,CR-PT控制方法通过对连续的脉冲个数进行限制,可有效抑制开关变换器在CCM下的低频振荡现象。
参考文献(References):
[1] 司明.一种开关电源PWM控制电路设计[D].沈阳:辽宁大学,2013.
[2] 许峰,徐殿国,柳玉秀.具有最优动态响应的PWM型DC-DC变换器非线性控制新策略[J].中国电机工程学报,2003,23(12):136-142.
XU Feng,XU Dianguo,LIU Yuxiu.A novel nonlinear control method for PWM DC-DC converter with optimizing transient response[J].Proceedings of the CSEE,2003,23(12):136-142.
[3] TELEFUS M,SHTEYNBERG A,FERDOWSI M,et al.Pulse train control technique for flyback converter[J].IEEE Transactions on Power Electronics,2004,19(3): 757-764.
[4] FERDOWSI M,EMADI A,TELEFUS M,et al.Suitability of pulse train control technique for BIFRED converter[J].IEEE Transactions on Aerospace and Electronic Systems,2005,41(1):181-189.
[5] FERDOWSI M,EMADI A,TELEFUS M,et al.Pulse regulation control technique for flyback converter[J].IEEE Transactions on Power Electronics,2005,20(4):798-805.
[6] 沙金,包伯成,许建平,等.脉冲序列控制电流断续模式Buck变换器的动力学建模与边界碰撞分岔[J].物理学报,2012,61(12):53-65.
SHA Jin,BAO Bocheng,XU Jianping,et al.Dynamical modeling and border collision bifurcation in pulse train controlled discontinuous conduction mode buck converter[J].Acta Physica Sinica,2012,61(12):53-65.
[7] 秦明,许建平,高玉,等.基于电流基准的开关变换器脉冲序列控制方法[J].物理学报,2012,61(3):17-25.
QIN Ming,XU Jianping,GAO Yu,et al.Current referenced pulse train control technique applied to switching converter[J].Acta Physica Sinica,2012,61(3):17-25.
[8] 许建平,牟清波,王金平,等.脉冲序列控制DCM Buck变换器输出电压纹波研究[J].电机与控制学报,2010,14(5):1-6.
XU Jianping,MOU Qingbo,WANG Jinping,et al.Output voltage ripple of pulse train controlled DCM Buck converter[J].Electric Machines and Control,2010,14(5):1-6.
[9] 吴松荣,钟曙,许建平,等.变脉宽脉冲序列控制DCM Buck变换器[J].西南交通大学学报,2014,49(3):455-461.
WU Songrong,ZHONG Shu,XU Jianping,et al.Variable width pulse train controlled DCM Buck converter[J].Journal of Southwest Jiaotong University,2014,49(3):455-461.
[10] 沙金,许建平.脉冲序列控制开关变换器的脉冲组合规律及其多周期态研究[J].物理学报,2013,62(21):412-424.
SHA Jin,XU Jianping.Study on control pulse combination of pulse train controlled switching converter and its multi-periodicity analysis [J].Acta Physica Sinica,2013,62(21):412-424.
[11] 沙金,许建平,许丽君,等.电流型脉冲序列控制Buck变换器工作在电感电流连续导电模式时的多周期行为[J].物理学报,2014,63(24):404-412.
SHA Jin,XU Jianping,XU Lijun,et al.Multi-period analysis of current-mode pulse-train controlled continuous conduction mode converter[J].Acta Physica Sinica,2014,63(24):404-412.
[12] 王金平,许建平,周国华,等.脉冲序列控制CCM Buck变换器低频波动现象分析[J].物理学报,2011,60(4):754-763.
WANG Jinping,XU Jianping,ZHOU Guohua,et al.Analysis of low-frequency oscillation phenomenon in the pulse train controlled Buck converter[J].Acta Physica Sinica,2011,60(4):754-763.
[13] WANG Jinping,XU Jianping,ZHOU Guohua,et al.Pulse-train-controlled CCM Buck converter with small ESR output-capacitor[J].IEEE Transactions on Industrial Electronics,2013,60(12):5875-5881.
[14] 沙金,许建平,刘姝晗,等.谷值电流型脉冲序列控制开关变换器及其能量建模研究[J].物理学报,2014,63(9):380-388.
SHA Jin,XU Jianping,LIU Shuhan,et al.Valley current mode pulse train control switching converter and its energy model analysis[J].Acta Physica Sinica,2014,63(9):380-388.
[15] 刘姝晗.谷值电流型脉冲序列控制开关变换器研究[D].成都:西南交通大学,2015.
LI Shanshan1, WEI Yujin2, ZHU Haiming2, LIU Jiangwen1
(1.Mechanical and Electrical Engineering Institute, Jiangsu Vocational Institute of Architectural Technology, Xuzhou 221116, China; 2.School of Electrical and Power Engineering, China University of Mining and Technology, Xuzhou 221116, China)
Abstract:For larger low-frequency oscillation of pulse train(PT) controlled switching converter under inductor current continuous conduction mode (CCM) which could degrade operation performance of switching converter, a continuous restrictive pulse train (CR-PT) control method was proposed. Operation principle of CR-PT control method and its mechanism of suppressing low frequency oscillation of switching converter were introduced in detail by taking CR-PT controlled Buck converter as an example. Switching mapping model of the CR-PT controlled Buck converter under CCM was established. Output voltage and inductor current of Buck converter were compared under PT control and CR-PT control separately through Matlab simulation and prototype experiment. Research results show that compared with PT control method, CR-PT control method can effectively suppress low-frequency oscillation of switching converter under inductor current CCM through restricting the number of continuous pulses.
Key words:switching converter; Buck converter; pulse train control; continuous restrictive pulse train control; continuous conduction mode; low-frequency oscillation; switching mapping
中图分类号:TD61
文献标志码:A
网络出版地址:http://kns.cnki.net/kcms/detail/32.1627.TP.20180530.1140.002.html
文章编号:1671-251X(2018)07-0054-07
DOI:10.13272/j.issn.1671-251x.2018030019
收稿日期:2018-03-16;
修回日期:2018-05-27;
责任编辑:李明。
基金项目:徐州市科技计划项目(KH17018);江苏建筑职业技术学院科研项目(JYA317-01);江苏省住房和城乡建设厅资助项目(2017ZD012)。
作者简介:李姗姗(1983-),女,江苏徐州人,讲师,硕士,研究方向为新能源发电、电力电子电路、能量/信号同步传输等,E-mail:lssjsjzi@163.com。
引用格式:李姗姗,魏钰金,朱海铭,等.连续限制性脉冲序列控制开关变换器研究[J].工矿自动化,2018,44(7):54-60.
LI Shanshan,WEI Yujin,ZHU Haiming,et al.Research on continuous restrictive pulse train controlled switching converter[J].Industry and Mine Automation,2018,44(7):54-60.