实验研究
施文娟1,2, 王亮1, 孙彦景1, 徐华2, 徐胜1, 吴天琦1
(1.中国矿业大学 信息与控制工程学院, 江苏 徐州 221116;2.盐城师范学院 新能源与电子工程学院, 江苏 盐城 224007)
摘要:针对磁信号传播具有显著的方向性,而目前相关研究没有充分考虑磁通信过程中天线位置、角度对传输性能影响的问题,研究了2D天线阵列模型中的双线圈阵列、四线圈阵列,以及3D线圈这3种地下磁感应通信天线模型的磁信号传播特性。首先,根据3种天线的数学模型,给出了相应的磁感应强度和收发线圈的互感表达式;其次,对磁感应强度进行仿真和特性分析,并根据磁场分布情况对接收天线的位置和角度进行了优化设置;最后,比较了3种天线模型的传输性能,给出了各发射线圈偏移量和收发线圈所在平面垂直距离对磁感应强度的影响。研究结果表明:① 2D天线阵列模型和3D线圈模型的磁感应强度具有对称性和方向性。② 随着收发线圈所在平面垂直距离的增大,2D天线阵列发射信号的传输方向由多个变为1个。③ 当发射线圈参数相同时,2D天线阵列模型的传输距离大于点对点通信模型和3D线圈模型。发射线圈个数越多,2D天线阵列模型的传输距离越远,但磁感应强度随收发线圈所在平面垂直距离的增加而快速衰减。④ 3D线圈模型在3个坐标轴方向上具有相同的磁感应强度分布。3D线圈模型的磁场分布范围最广,但磁感应强度模小于2D天线阵列模型。
关键词:磁感应通信; 天线模型; 二维天线阵列; 三维线圈模型; 双线圈阵列; 四线圈阵列; 磁感应强度; 场强分布
中国自然灾害频繁,矿井、隧道、输油管道众多,如何实时、有效地对地下环境、设施及人员进行监测和定位,可靠、有效的通信是地下信息传输面临的一大难题。为解决这一难题,美国佐治亚理工学院带宽无线通信实验室于2006年提出了无线地下传感网络[1],并得到广泛研究。无线地下传感网络采用电磁波通信方式,但电磁波在地下传输时受到土壤、含水量及多径效应[2-3]影响,传输损耗大,穿透性低。
地下磁感应通信技术采用磁耦合方式收发信号,不受土壤成份影响,具有路径损耗小、传输信道稳定等特点[4],受到了学者的广泛关注与研究。文献[5]对地下磁感应通信技术和电磁波通信技术的传输性能(如传输距离、误码率等)进行了比较,证明了磁感应通信技术更适用于地下通信。但磁感应通信技术的路径损耗与通信距离的6次方成正比,传统的点对点通信系统的传输距离有限,因此文献[6-11]提出了磁感应波导传输技术和多跳中继技术,以提高地下磁感应通信系统的传输距离。但上述2种技术对收发天线的摆放条件较为苛刻,需共轴平行,通信系统传播方向单一。文献[12-14]研究了二维(2-Directional,2D)天线阵列模型和三维(3-Directional,3D)线圈模型,提高了地下磁感应通信系统的传输性能。与电磁波传播相比,磁信号传播具有显著的方向性,相关研究没有充分考虑磁通信过程中天线位置、角度对传输性能的影响。
本文研究了2D天线阵列模型中双线圈阵列、四线圈阵列和3D线圈这3种地下磁感应通信天线模型的磁信号传播特性。首先,对3种天线模型进行数学建模,给出了磁感应强度和收发线圈的互感表达式;其次,对磁感应强度进行仿真和特性分析,并根据磁场分布情况对接收天线的位置和角度进行了优化设置;最后,对3种天线模型的传输性能进行比较分析,给出了各发射线圈偏移量和收发线圈所在平面垂直距离对磁感应强度的影响。本文为更好地研究地下磁感应通信系统的传输特点、进一步优化和提高地下磁感应通信系统网络及传输性能提供了理论依据。
本文研究的2D天线阵列模型为多输入单输出模型,即发射端有多个共面的发射线圈同时发射同一信号,接收端有1个接收线圈用来接收信号。
1.1.1 数学模型
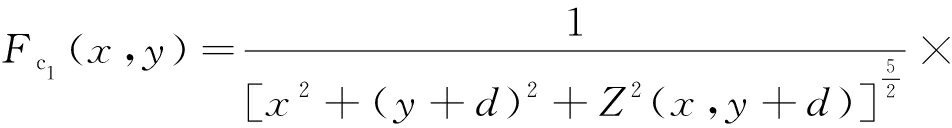
双线圈阵列数学模型如图1所示。xoy平面上有2个半径均为at、匝数均为Nt的发射线圈c1,c2。c1,c2的圆心分别在y轴负半轴和正半轴上,与原点o距离(即发射线圈c1,c2的偏移量)均为d。2个发射线圈的电流均为I,与z轴呈右手螺旋定则。接收线圈cr的圆心位于点q(x0,y0,z0)处,半径为ar,匝数为Nr,法向量为
其中A,B,C为常系数。则空间中任意一点P(x,y,z)处的磁感应强度为
(1)
式中
分别为发射线圈c1,c2在P(x,y,z)处产生的磁感应强度。
![]()
![]()
3(y+d)zey+[2z2-x2-(y+d)2]ez}
(2)
![]()
![]()
3(y-d)zey+[2z2-x2-(y-d)2]ez}
(3)
式中:μ0为真空中的磁导率;St为发射线圈的面积,
分别为x,y,z轴方向上的单位向量。

图1 双线圈阵列数学模型
Fig.1 Mathematical model of double-coil array
发射线圈与接收线圈之间的互感为
(4)
式中:[x1,x2]为接收线圈cr在xoy平面投影的x轴方向取值范围;[y1,y2]为接收线圈cr在xoy平面投影y轴方向取值范围。
{3AxZ(x,y+d)+3B(y+d)Z(x,y+d)+
C[2Z2(x,y+d)-x2-(y+d)2]}
(5)
{3AxZ(x,y-d)+3B(y-d)Z(x,y-d)+
C[2Z2(x,y-d)-x2-(y-d)2]}
(6)
![]()
(7)

(8)

(9)
y1=
(10)
y2=
(11)
若
即接收线圈的法向量
为单位向量,则A=cosα,B=cosβ,C=cosγ,α,β,γ分别为接收线圈与x,y,z轴的夹角,因此式(4)—式(11)可以用α,β,γ表示。需要注意的是,常系数C≠0,即接收线圈平面不能垂直于xoy平面。
1.1.2 磁感应强度分布
设2个发射线圈的半径at=0.25 m,电流I=1 A,匝数Nt=100,偏移量d=2 m。根据式(1)—式(3)绘制双线圈阵列模型的磁感应强度分布,如图2所示。本文以接收线圈cr所在平面与发射线圈c1,c2所在平面(即xoy平面)相距10,2 m(即z=10,2 m)的磁感应强度分布情况为例进行说明。
由图2和式(1)—式(3)可知,当z=10 m时,双线圈阵列模型的磁感应强度模的分布呈中心对称,磁感应强度模的最大值点坐标为(0,0,10),此时磁感应强度矢量只有z轴分量,所以接收线圈摆放为与发射线圈平行且圆心位于点(0,0,10)时,接收到的信号最强;z=2 m时,磁感应强度模的分布呈中心对称,但存在2个最大值点坐标(0,2,2)和(0,-2,2),2个点处磁感应强度矢量由z,y轴分量组成,而(0,0,10)处磁感应强度模很小,此时将接收线圈摆放在(0,2,2)或(0,-2,2)处时,接收到的信号最强。
通过分析图2可知,在收发线圈所在平面垂直距离增大过程中,发射线圈磁感应强度模的最大值位置有2种情况:① 2个发射线圈圆心的正上方,即(0,-2,z),(0,2,z)处;②z轴上,即(0,0,z)处。这表明磁场传输方向在磁信号传输距离增大过程中发生了变化。

(a)z=10 m时磁感应强度模的分布

(b)z=10 m时磁感应强度模的等高线

(c)z=2 m时磁感应强度模的分布

(d)z=2 m时磁感应强度模的等高线
图2 双线圈阵列模型磁感应强度分布
Fig.2 Magnetic induction intensity distribution of double-coil array model
令发射线圈c1,c2圆心分别在y轴负半轴和正半轴上,且与原点o的距离相等,接收线圈cr圆心在(0,-2,z)处,其与z轴夹角为θ,如图3所示。当θ满足式(12)时,接收线圈收到的信号最强。

(12)

图3 接收线圈最佳摆放位置和角度
Fig.3 The optimum position and angle of receiving coil
将d=z=2 m代入式(12),可得θ=86.87°,此时接收线圈接收到的信号最强。
双线圈阵列模型磁感应强度模的比值如图4所示。图4(a)中,发射线圈c1,c2的偏移量d=2 m,横坐标为接收线圈与发射线圈所在平面的垂直距离,即z,取值范围为2~50 m;纵坐标为(0,0,z)与(0,-2,z)处磁感应强度模的比值。可看出磁感应强度模的比值随z的增大先增大后减小,并逐渐趋向于1;当z=4.78 m时,磁感应强度模的比值为1。因此d=2 m时,z<4.78 m情况下接收线圈在(0,-2,z)或(0,2,z)处接收到的信号最强;当z>4.78 m时,接收线圈在(0,0,z)处接收到的信号最强。图4(b)中,z取值范围为2~50 m,d取值范围为0.25~2 m,反映(0,0,z)与(0,-2,z)处磁感应强度模的比值。可看出当d较大时,磁感应强度模的比值变化情况与图4(a)类似;当d较小(如d=0.3 m)时,磁感应强度模的比值始终大于1,并随z的增大而减小,此时接收线圈摆放在z轴上接收到的信号最强。

(a)d=2 m时磁感应强度模的比值

(b) 磁感应强度模的比值与d,z之间的关系
图4 双线圈阵列模型磁感应强度模的比值
Fig.4 Ratio of norm of magnetic induction intensity of double-coil array model
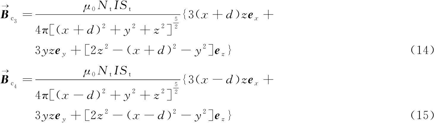
1.2.1 数学模型
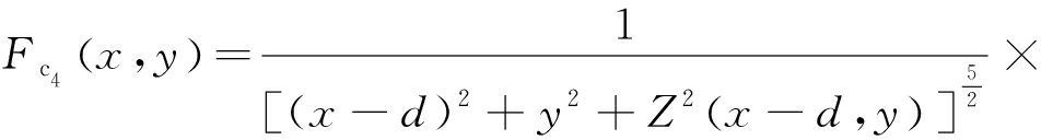
四线圈阵列数学模型如图5所示。发射线圈c1,c2,c3,c4位于xoy平面上,c1,c2的圆心分别在y轴负半轴和正半轴上,c3,c4的圆心分别在x轴负半轴和正半轴上,且c1,c2,c3,c4圆心到原点o的距离均为d。发射线圈c1,c2,c3,c4的半径均为at,匝数均为Nt,电流均为I,且与z轴呈右手螺旋定则。接收线圈cr的圆心位于点q(x0,y0,z0)处,半径为ar,匝数为Nr,法向量为
则空间中任意一点P(x,y,z)处的磁感应强度为

图5 四线圈阵列数学模型
Fig.5 Mathematical model of four-coil array
(13)
式中
分别为发射线圈c1,c2,c3,c4在P(x,y,z)处产生的磁感应强度。

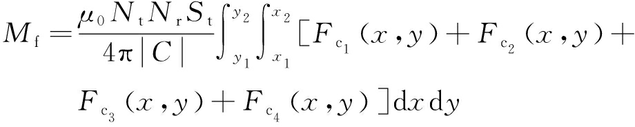
发射线圈c1,c2,c3,c4与接收线圈cr之间的互感为

(16)
{3A(x+d)Z(x+d,y)+3ByZ(x+d,y)+
C[2Z2(x+d,y)-(x+d)2-y2]}
(17)
{3A(x-d)Z(x-d,y)+3ByZ(x-d,y)+
C[2Z2(x-d,y)-(x-d)2-y2]}
(18)
当A=cosα,B=cosβ,C=cosγ时,式(16)—式(18)也可用α,β,γ表示,且常系数C≠0。
1.2.2 磁感应强度分布
设四线圈阵列模型的参数与双线圈阵列模型完全相同。选取2个接收区域,根据式(13)—式(15)绘制四线圈阵列模型的磁感应强度分布,如图6所示。本文以接收线圈所在平面与发射线圈c1,c2所在平面(即xoy平面)相距10,2 m(z=10,2 m)的磁感应强度分布情况为例进行说明。
从图6可看出,四线圈阵列模型的磁感应强度模的分布与双线圈阵列模型相似。当z=10 m时,四线圈阵列模型的磁感应强度模的分布呈中心对称。磁感应强度模在(0,0,10)处取得最大值1.396×10-8T,约为双线圈阵列模型的2倍,且最大值点的磁感应强度矢量只包含z轴分量。因此,将接收线圈摆放为与发射线圈所在平面平行,且接收线圈圆心在(0,0,10)处时,接收到的信号最强。当z=2 m时,磁感应强度模的分布也呈中心对称。磁感应强度模有4个最大值点,分别位于(0,2,2),(0,-2,2),(2,0,2),(-2,0,2)处,大小为4.97×10-7T,大于双线圈阵列模型的磁感应强度模4.828×10-7T。与双线圈阵列模型一样,四线圈阵列模型的磁信号在传输距离增大过程中,发射线圈磁感应强度模的最大值位置也存在2种情况:① 4个发射线圈圆心的正上方,即(0,-2,z),(0,2,z),(2,0,z),(-2,0,z)处;②z轴上,即(0,0,z)处。可见四线圈阵列模型的磁信号在传输距离增大过程中,其传输方向也发生了改变。

(a)z=10 m时磁感应强度模的分布

(b)z=10 m时磁感应强度模的等高线

(c)z=2 m时磁感应强度模的分布

(d)z=2 m时磁感应强度模的等高线
图6 四线圈阵列模型磁感应强度分布
Fig.6 Magnetic induction intensity distribution of four-coil array model
(0,-2,z)与(0,0,z)处磁感应强度模的比值曲线如图7所示。图7(a)中,d=2 m时,在z=3.304 m情况下,磁感应强度模的比值为1;z>3.034 m时,磁感应强度模的比值始终大于1,且随z的增大先增大后减小。因此,当d=2 m时,z<3.304 m情况下,接收线圈在(0,2,z),(0,-2,z),(2,0,z),(-2,0,z)处收到的信号最强;z>3.304 m情况下,接收线圈在(0,0,z)处收到的信号最强。由图7(b)可知,当d较大(如d=2 m)时,磁感应强度模的比值曲线如图7(a)所示;当d较小(如d=0.3 m)时,磁感应强度模的比值始终大于1,并随z的增大而减小,此时接收线圈摆放在z轴上接收到的信号最强。
双线圈和四线圈阵列模型不仅可提高通信系统的传输距离,还可改变磁场的分布情况。以四线圈阵列模型为例,若图5中x,y轴负半轴的线圈电流反向,正半轴线圈电流方向不变,则产生的磁感应强度矢量分布如图8所示。

(a)d=2 m时磁感应强度模的比值

(b) 磁感应强度模的比值与d,z之间的关系
图7 四线圈阵列模型磁感应强度模的比值
Fig.7 Ratio of norm of magnetic induction intensity of four-coil array model

(a)z=10 m时磁感应强度模的分布

(b)z=10 m时磁感应强度模的等高线

(c)z=10 m时磁感应强度矢量
图8 四线圈阵列模型线圈电流方向改变时磁感应强度分布
Fig.8 Vector distribution of magnetic induction intensity of four-coil array mode when current changes
由图8可知,当z=10 m时,磁感应强度模的最大值点有2个,位于直线x=y上,关于点(0,0,10)对称。这2个点的磁感应强度大小相等,方向相反,且均包含x,y,z轴分量。与图6(a)、图6(b)相比,磁感应强度分布由1个峰值变为2个峰值,磁场的传播方向也由1个变为2个。
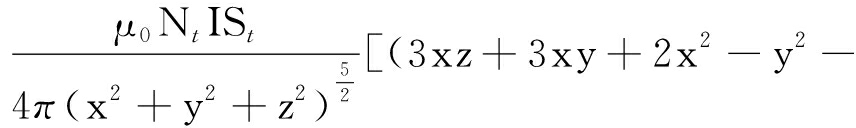
3D线圈模型由3个两两相互正交的线圈组成,在3个轴向上产生的磁场相互正交,互不干扰,因此3D线圈发射信号的方向不再单一,可覆盖整个空间。
3D线圈数学模型如图9所示。3个发射线圈c1,c2,c3分别位于yoz,xoy,xoz平面上,且两两相互正交。3个发射线圈的圆心重合,位于原点o。3个发射线圈的匝数均为Nt,半径均为at,电流大小均为I,方向分别与x,z,y轴呈右手螺旋定则。接收线圈cr的半径为ar,匝数为Nr,圆心位于点q(x0,y0,z0)。3D线圈模型在空间任意一点P(x,y,z)处的磁感应强度为
![]()
![]()
z2)ex+(3xy+3yz+2y2-x2-z2)ey+
(3xz+3yz+2z2-x2-y2)ez]
(19)

图9 3D线圈数学模型
Fig.9 Mathematical model of 3D coil
3D线圈模型的接收线圈若与某个发射线圈共轴平行,则其不受另外2个发射线圈的影响,此时即为点对点通信模型;若接收线圈不与发射线圈共轴平行,在空间任意位置,则3D线圈对接收线圈产生的互感为
(20)
{A[3xZ(x,y)+3xy+2x2-y2-Z2(x,y)]+
B[3xy+3yZ(x,y)+2y2-x2-Z2(x,y)]+
C[3xZ(x,y)+3yZ(x,y)+2Z2(x,y)-x2-y2]}
(21)
当A=cosα,B=cosβ,C=cosγ时,式(20)、式(21)也可用α,β,γ来表示,且常系数C≠0。
由式(19)可知,3D线圈模型的磁感应强度
在ex,ey,ez方向上的公式具有相似性,因此在这3个方向上的磁感应强度分布相同。设发射线圈的面积St、匝数Nt、电流I和磁导率μ0,以及所选接收区域与2D天线阵列模型相同,则z=10 m时3D线圈模型磁感应强度分布如图10所示。

(a) 磁感应强度模的分布

(b) 磁感应强度模的等高线
图10z=10 m时3D线圈模型磁感应强度分布
Fig.10 Magnetic induction intensity distribution of 3D coil model under the condition ofz=10 m
由图10可知,磁感应强度模的分布呈中心对称,但中心对称点不是接收区域的中心点,而是在(1.38,1.38,10)处,磁感应强度模的最大值包含x,y,z轴分量。设3D线圈模型产生的磁感应强度模的最大值点为(x,y,z),则x,y可用z来表示,如式(22)所示。3D线圈模型产生的磁感应强度模的最大值为5.15×10-9T,大于点对点通信模型,小于2D天线阵列模型。
x=
(22)
双线圈与四线圈阵列模型磁感应强度模与发射线圈偏移量d的关系如图11所示,其中纵坐标为(0,0,50)处磁感应强度模。可看出双线圈与四线圈阵列模型磁感应强度模随发射线圈偏移量d的增大先减小后增大,然后再减小,且双线圈阵列模型磁感应强度模小于四线圈阵列模型。当
时,双线圈与四线圈阵列模型磁感应强度的方向与z轴正方向相同,且随d的增大急剧减小;当
时,其磁感应强度模减小到0;当d>
时,磁感应强度的方向与z轴正方向相反,并随d的增大先增大,在d≈100 m时,磁感应强度模达到极大值,然后再减小。

图11 磁感应强度模与发射线圈偏移量关系
Fig.11 Relationship between magnetic induction intensity and sending coil offset
点对点通信模型[6]、双线圈阵列模型、四线圈阵列模型和3D线圈模型磁感应强度模与传输距离的关系如图12所示,其中横坐标为接收线圈所在平面到xoy平面的垂直距离,即z,纵坐标为点(0,0,z)处磁感应强度模。

图12 磁感应强度模与传输距离关系
Fig.12 Relationship between norm of magnetic induction intensity and transmission distance
由图12可知,磁感应强度模随z的增大而减小,其中四线圈阵列模型产生的磁感应强度最大,双线圈阵列模型次之,点对点通信模型最小。除3D线圈模型外,发射线圈越多,磁感应强度模越大。随着z增大,发射线圈越多,磁感应强度模减小的速度越快。假设接收线圈可接收到的最小磁感应强度模为2.0×10-9T,则点对点通信模型的传输距离为12.52 m,双线圈阵列模型的通信距离为15.52 m,比点对点通信模型提高了3 m;四线圈阵列模型的通信距离为19.68 m,比点对点通信模型提高了7.16 m;而3D线圈模型的传输距离为13.70 m,与点对点通信模型相比提高了1.18 m,但小于2D天线阵列模型的传输距离。
(1) 2D天线阵列模型和3D线圈模型的磁感应强度均具有对称性和方向性。
(2) 随着收发线圈所在平面垂直距离的增加,2D天线阵列模型发射信号的传输方向发生变化,即由多个传输方向变为1个。为接收到最佳信号,接收线圈的摆放位置和角度应根据垂直距离的变化进行相应调整。
(3) 当发射线圈参数相同时,2D天线阵列模型的传输距离大于点对点通信模型和3D线圈模型。发射线圈个数越多,2D天线阵列模型的传输距离越远,但磁感应强度随收发线圈所在平面垂直距离的增大而快速衰减。
(4) 3D线圈模型在x,y,z3个方向上具有相同的磁感应强度分布。3D线圈模型磁场分布范围最广,但其磁感应强度模小于2D天线阵列模型。
致谢:感谢南京南瑞继保电气有限公司对本研究的资助!
参考文献(References):
[1] AKYILDIZ I F,STUNTEBECK E P.Wireless underground sensor networks: research challenges[J].Ad Hoc Networks,2006,4(6):669-686.
[2] 孙彦景,吴天琦,施文娟,等.无线透地通信理论与关键技术研究[J].工矿自动化,2017,43(9):46-53.
SUN Yanjing,WU Tianqi,SHI Wenjuan,et al.Research on theory and key technologies of wireless through-the-earth communication [J].Industry and Mine Automation,2017,43(9):46-53.
[3] LI Li,VURAN M C,AKYILDIZ V I E.Characteristics of underground channel for wireless underground sensor networks[C]//Proceedings of IEEE Med Hoc Net,Corfu,2007:92-99.
[4] SUN Z,AKYILDIZ I F.Magnetic induction communications for wireless underground sensor networks[J].IEEE Transactions on Antennas & Propagation,2010,58(7):2426-2435.
[5] AKYILDIZ I F,SUN Z,VURAN M C.Signal propagation techniques for wireless underground communication networks[J].Physical Communication,2009,2(3):167-183.
[6] KISSELEFF S,GERSTACKER W,SUN Z,et al.On the throughput of wireless underground sensor networks using magneto-inductive waveguides[C]//IEEE Global Communications Conference,Atlanta,2013:322-328.
[7] SUN Z,AKYILDIZ I F.Underground wireless communication using magnetic induction[C]//IEEE International Conference on Communications,Dresden,2009:4234-4238.
[8] MIURA M,NAKAMURA H.Excitation methods for magneto inductive waveguide communication systems[C]//The Fifth International Conference on Broadband and Biomedical Communications,Malaga,2010:1-6.
[9] SYMS R R A,SHAMONINA E,SOLYMAR L.Magneto-inductive waveguide devices[J].IEE Proceedings-Microwaves Antennas and Propagation,2006,153(2):111-121.
[10] SYMS R R A,YOUNG I R,SOLYMAR L.Low-loss magneto-inductive waveguides[J].Journal of Physics D: Applied Physics,2006,39(18):3945-3951.
[11] MASIHPOUR M,FRANKLIN D,ABOLHASAN M.Multihop relay techniques for communication range extension in near-field magnetic induction communication systems[J].Journal of Networks,2013,8(5):999-1011.
[12] NGUYEN H,AGBINYA J I,DEVLIN J.Channel characterisation and link budget of MIMO configuration in near field magnetic communication[J].International Journal of Electronics & Telecommunications,2013,59(3):255-262.
[13] GUO H,SUN Z.Channel and energy modeling for self-contained wireless sensor networks in oil reservoirs[J].IEEE Transactions on Wireless Communications,2014,13(4):2258-2269.
[14] 马静.地表下近场磁感通信传播特性研究[D].北京:北京科技大学,2016.
SHI Wenjuan1,2, WANG Liang1, SUN Yanjing1, XU Hua2, XU Sheng1, WU Tianqi1
(1.School of Information and Control Engineering, China University of Mining and Technology, Xuzhou 221116, China; 2.School of New Energy and Electrical Engineering, Yancheng Teachers University, Yancheng 224007, China)
Abstract:In view of problem that magnetic signal propagation had significant directionality, but effect of antenna position and angle on transmission performance in magnetic communication had not been fully considered by current researches, magnetic signal transmission characteristics of three kinds of antenna models of underground magnetic induction communication were researched including double-coil array and four-coil array in 2D antenna array and 3D coil model. Firstly, expressions of corresponding magnetic induction intensity and mutual inductance between sending coil and receiving coil were given according to mathematical models of the three antennas. Secondly, magnetic induction intensity was simulated and analyzed. Position and angle of receiving antenna were optimized according to magnetic field distribution. Finally, transmission performances of the three antenna models were compared, and influences of offset of each sending coil and vertical distance between sending coil plane and receiving coil plane on magnetic induction intensity were given. The research results are as follows: ① Magnetic induction intensity of 2D antenna array model and 3D coil model has symmetry and directionality. ② Transmission direction of 2D antenna array model changes from multiple directions to one direction as the vertical distance increases. ③ When parameters of sending coils are as the same, transmission distance of 2D antenna array model is greater than that of point-to-point communication system and 3D coil model. The more the number of sending coils, the farther transmission distance of 2D antenna array model is. But magnetic induction intensity rapidly decreases as the vertical distance increases. ④ 3D coil model has the same distribution of magnetic induction intensity in three coordinate axes. Magnetic field of 3D coil model is the most widely distributed, but norm of magnetic induction intensity is less than the one of 2D antenna array model.
Key words:magnetic induction communication; antenna model; 2D antenna array; 3D coil model; double-coil array; four-coil array; magnetic induction intensity; field intensity distribution
中图分类号:TD655
文献标志码:A
网络出版地址:http://kns.cnki.net/kcms/detail/32.1627.TP.20180530.1047.001.html
文章编号:1671-251X(2018)07-0045-09
DOI:10.13272/j.issn.1671-251x.17316
收稿日期:2018-02-06;
修回日期:2018-05-25;
责任编辑:李明。
基金项目:国家自然科学基金青年基金资助项目(51504214,51504255);国家自然科学基金资助项目(61771417);国家重点研发计划资助项目(2016YFC0801403);江苏省重点研发计划资助项目(BE2015040);江苏省自然科学基金资助项目(BK20150204);中国博士后基金资助项目(2015M581884)。
作者简介:施文娟(1981-),女,江苏盐城人,副教授,博士研究生,研究方向为无线通信及视觉信息质量评价,E-mail:winterswj@126.com。通信作者:孙彦景(1977-),男,山东滕州人,教授,博士,博士研究生导师,研究方向为挑战环境下嵌入式实时系统及无线传感器网络,E-mail:yjsun@cumt.edu.cn。
引用格式:施文娟,王亮,孙彦景,等.地下磁感应通信天线模型及信号传播特性研究[J].工矿自动化,2018,44(7):45-53.
SHI Wenjuan,WANG Liang,SUN Yanjing,et al.Research on antenna model of underground magnetic induction communication and its signal transmission characteristics[J].Industry and Mine Automation,2018,44(7):45-53.