王雷1,2, 贾振元1, 朱明亮2, 张黎2
(1.大连理工大学 机械工程学院, 辽宁 大连 116023; 2.中煤科工集团沈阳研究院有限公司, 辽宁 抚顺 113122)
摘要:介绍了矿用永磁调速装置的结构和原理,设计了一种基于正弦曲线的调速沟槽形式,并对调速沟槽的接触应力进行有限元分析计算。将永磁调速装置中的轴向力与气隙值进行函数曲线拟合,结合调速沟槽的特性曲线得出不同气隙下调速所需的扭矩值;通过试验得到执行器实际输出扭矩值,将扭矩的理论计算值与试验结果进行对比,发现两者变化趋势相同,扭矩峰值误差为5.5%,吻合度较高。通过函数曲线拟合的数值计算方法量化了不同气隙下的调速扭矩值,可为永磁调速装置调速机构的研究提供技术支持。
关键词:矿用永磁调速装置; 调速机构; 调速沟槽; 接触应力; 调速扭矩
煤矿机械在煤矿采掘、支护、选煤等生产过程中发挥着重要作用,为了适应不同的工况,其传动系统应具有调速功能,以保证设备运行效率达到最佳;同时,在煤矿生产环境中,工作负载大,传动系统传递功率大,通过调速使电动机与负载之间达到最优能源匹配,可达到很好的节能效果[1-2],降低煤炭生产成本。
目前,在煤矿机械调速系统中,调速型液力偶合器[3]、变频器[4]、可控启动传输装置(Controlled Start Transmission,CST)及调速型永磁调速装置应用较为广泛。永磁调速装置相对于液力偶合器,具有安装简易、后期运行维护量小的优势;相对于变频器,具有运行无干扰且环境适应性强的优势;相对于CST,具有系统简易且后期维护成本低的优势。矿用永磁调速装置以其独特的技术优势在煤矿传动领域得到认可和普及[5-6]。
矿用永磁调速装置以磁场为媒介,采用非接触式的机械结构进行传动,通过调节铜导体和永磁体之间的气隙精确控制从电动机传递到负载的转矩,以满足不同的工况需求[7]。永磁调速装置中,气隙调节机构的合理设计决定了整套装置的输出特性及后期运行稳定性。本文介绍了一种调速沟槽的具体设计形式,并对调速沟槽部位进行接触应力分析。对永磁调速装置中的轴向力与气隙值进行函数曲线拟合,通过函数曲线拟合及数值计算的方式量化永磁调速中的扭矩值,为调速机构的合理化设计提供技术支持。
矿用永磁调速装置主要由铜转子、永磁体转子、调速机构、磁盘分离装置及底座支架等组成,如图1所示。电动机端与装置输入端连接,驱动铜转子组件旋转;铜转子切割永磁体磁力线产生感应涡流,形成涡流磁场;涡流磁场与永磁体磁场相互作用,生成转矩,带动永磁体盘旋转,驱动工作机运行,实现电动机到工作机的功率传递[8]。利用电动执行器驱动调速机构,带动输出侧永磁体盘轴向移动;在磁盘分离装置中的齿轮齿条带动下,输入侧磁盘与输出侧磁盘同时进行反向轴向移动。通过外部电动执行器的驱动实现了铜转子与永磁体转子之间的气隙调节,进而可改变装置的输出特性。

图1 矿用永磁调速装置结构
Fig.1 Structure of mine-used permanent magnet speed regulator
调速机构将电动执行机构的圆周驱动力转化成轴向力,该轴向力需要克服永磁体转子与铜转子之间的轴向力,以维持铜转子与永磁体转子之间的气隙值。气隙值越小,永磁体盘与铜盘之间的轴向力越大,执行器需要提供的扭矩越大。因此,调速机构的合理化设计是一个重要技术点。
由调速原理可知,电动执行器摆杆驱动调速外套在调速内套上转动,进而带动磁盘轴向移动。因此,需要在调速内套上设计调速沟槽,以起到导向作用,将圆周运动转化为轴向移动。调速沟槽所形成的螺旋线实际上起到一个斜楔作用,其受力分析如图2所示。
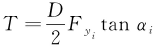
不考虑系统内的摩擦力,因为斜楔角度α恒定,所以正压力FN在水平方向的投影一定,若想推动斜楔,则推力F的最小值为
F=Fytanα
(1)
式中Fy为轴向力。
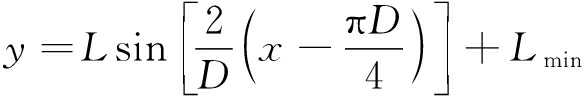
由于气隙越小,轴向力越大,所以在小气隙状态下,α越小,调速所需的外力F越小,增力效果越明显;反之,当气隙值逐渐增大时,轴向力越来越小,α值相应增大。基于上述原理,设计了一种基于正弦曲线的调速沟槽,如图3所示,Lmin为装置内部最小气隙值,Lmax为装置内部最大气隙值。

图2 调速沟槽受力分析
Fig.2 Force analysis of speed regulating groove

图3 调速沟槽结构
Fig.3 Structure of speed regulating groove
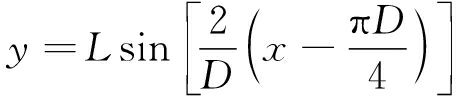
在气隙逐渐增大过程中,斜楔角度逐渐增大,气隙值最小时,调速沟槽的增力效果显著,外部执行器只需要提供较小的圆周力即可克服装置内部较大的轴向力。调速沟槽性能曲线如图4中虚线所示,函数方程为
(2)
式中:y为轴向位置;x为周向位置;L为沟槽轴向距离,L=Lmax-Lmin;D为调速内套外径。

图4 调速沟槽性能曲线
Fig.4 Performance curve of speed regulating groove
为了让y值与磁力偶合器的间隙值对应,将曲线向上平移Lmin,如图4所示的实线,其方程为
(3)
调速内套上设计有3个均匀布置的调速沟槽,在调速外套上安装有3个凸轮轴承,在执行器驱动下,凸轮轴承在调速沟槽内滑动,实现调节气隙的功能。为了确保调速性能,凸轮轴承在调速内套沟槽内滑动时,二者需要具有较高的机械强度以满足调速需求。下面利用有限元软件对调速沟槽所承受的接触应力进行分析。
模型建立:凸轮轴承外径为30 mm,宽度为15 mm,两侧有1 mm倒角。滑道有1.5 mm倒角,滑道边缘面与圆柱滚子边缘面距离为2.5 mm。在最小气隙状态下,永磁调速装置调速机构需要承受的轴向力为18.9 kN,每个凸轮轴承受到的永磁调速装置法向压力为18.9/3=6.3 kN。
将滚子的外圆面和压块的上平面建立接触,接触形式为“no separation”。对整体结构进行网格划分,划分为六面体网格,网格尺寸为1 mm,总节点数量为373 405,网格数量为87 754,如图5所示。

图5 网格划分
Fig.5 Grid Division
在滚子内圆施加6.3 kN向下的力,力的性质为“remote force”,方向沿z轴;对滚子的外表面施加x轴固定的约束;对滑道底面施加固定约束,如图6所示。

图6 约束设置
Fig.6 Constraint settings
由于滚子硬度较大,所以重点观察滑道的受力和变形,如图7所示。滑道受力面的均匀压力为50 MPa,两侧为受力薄弱环节,受力约为100 MPa,滑道变形主要集中于外侧,最大变形约为0.007 mm。

(a) 受力仿真结果

(b) 变形仿真结果
图7 滑道受力和变形仿真结果
Fig.7 Simulation results of slide force and deformation
滑道的材质为45号钢,调质处理,许用接触应力为470 MPa,该仿真值小于材料许用接触应力,说明调速内套材料能够满足要求。
为了确保永磁调速装置的调速效果,在确定调速沟槽设计形式之后,计算调速所需扭矩值,并选用合适的电动执行器来驱动调速机构。
利用有限元软件对永磁调速装置内部铜盘与永磁体之间的轴向力进行模拟计算[9-10],得出不同气隙下对应的轴向吸力值。与间隙值对应的轴向力曲线如图8所示。

图8 轴向力与间隙值曲线
Fig.8 Curve of axial force and air gap value
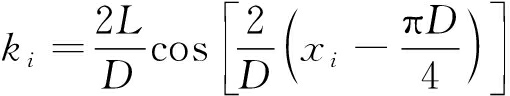
若某时刻磁力偶合器的间隙为yi,轴向吸力为Fyi,此时沟槽受力位置处的倾斜角度为αi,为保证yi值不变,根据式(1)可得调速机构需提供的扭矩T为
(4)
式(4)中的Fyi是间隙yi的函数,可利用有限元计算得到的离散数值进行插值,得到yi对应的Fyi值。式(4)中的tanαi是图4中实线在不同位置的斜率值ki,可先通过式(3)计算yi对应的xi值,再对式(3)求导,得到ki:
(5)
由式(4)和式(5)可得
(6)
矿用永磁调速装置中,电动执行器摆杆通过连杆与调速机构操纵柄连接,形成一个近似平行四边形的连杆机构,使得调速机构中调速外套的转动角度与执行器摆杆角度相同,如图9所示。

图9 电动执行器驱动调速机构
Fig.9 Driving speed regulating mechanism of electric actuator
图9中,执行器摆杆及调速机构操纵柄起始角度为45°,总行程为90°,执行器摆杆角度可与式(6)中的x值对应,根据式(6)可计算出不同摆杆角度下执行器所需要提供的扭矩值,扭矩曲线如图10所示,其中横坐标角度起点值对应调速机构操纵柄与水平方向角度45°。
由图10可知,当调速机构操纵柄摆动角度为30°,即与水平方向角度为75°时,调速机构需要提供的扭矩值最大,为187 N·m。对电动执行器的输出扭矩值进行实时监测试验,得到的执行器实际输出扭矩值趋势与理论计算结果一致,执行器实际输出扭矩峰值为198 N·m,与计算值的误差为5.5%,吻合度较高,说明数值计算方法比较合理,计算结果可靠,可作为永磁调速装置中调速机构设计及电动执行机构选型的理论基础。

图10 调速扭矩曲线
Fig.10 Curve of speed regulating torque
矿用永磁调速装置的调速机构在永磁传动中作用显著,其合理性决定了设备的调速性能及后期运行可靠性。设计了一种基于正弦曲线的调速沟槽形式,对调速所需扭矩值进行数值拟合计算,并将理论计算结果与试验数据进行对比,得出以下结论:
(1) 基于正弦曲线形式的调速沟槽具有很好的增力效果,当装置处于小气隙时,在大轴向力的作用下,执行器只需提供较小扭矩即可保证气隙值。
(2) 将轴向力与气隙值拟合成函数曲线,结合沟槽函数曲线和受力分析模型得出不同气隙下所需调速扭矩值,通过试验得到执行器实际输出扭矩值,发现两者变化趋势相同,结果吻合度较高,说明计算方法可靠性较高,可作为永磁调速装置中调速机构设计的理论基础。
参考文献(References):
[1] LI K,BIRD J.Torque density comparison of axial and radial Halbach couplings[C]// IEEE Conference on Electromagnetic Field Computation,Miami,2016.
[2] 周晓明.永磁调速在640 MW机组凝结水泵节能改造上的应用[J].水泵技术,2016(1):20-22.
[3] 赵爱军,申玉荣,孙承勇,等.永磁调速技术在电厂辅机循环水泵节能中的应用[J].自动化技术与应用,2016,35(7):70-72.
ZHAO Aijun,SHEN Yurong,SUN Chengyong,et al.Energy-saving applications of permanent magnet speed control technology for auxiliaries[J].Techniques of Automation and Applications,2016,35(7):70-72.
[4] 安金辉.调速型液力偶合器在煤矿中的应用[J].中国新技术新产品,2010(5):136.
[5] 孙中圣,李新泉,李小宁.永磁涡流调速器研究与应用[J].机械制造与自动化,2016,45(3):1-4.
SUN Zhongsheng,LI Xinquan,LI Xiaoning.Research on permanent magnet adjustable speed driver and its application[J].Machine Building & Automation,2016,45(3):1-4.
[6] LUBIN T,FONTCHASTAGNER J,MEZANI S,et al.Comparison of transient performances for synchronous and eddy-current torque couplers[C]//XXII International Conference on Electrical Machines,Lausanne,2016.
[7] 王向东,李邦达.矿用隔爆型永磁调速器的设计与实现[J].煤矿机电,2015(5):32-35.
WANG Xiangdong,LI Bangda.Design and implementation of mine explosion-proof permanent magnent speed regulation[J].Colliery Mechanical & Electrical Technology,2015(5):32-35.
[8] 王汉生.永磁传动技术在带式输送机中的应用[J].起重运输机械,2015(12):23-25.
WANG Hansheng.Application of magnetic driving technology in belt conveyer[J].Hoisting and Conveying Machinery,2015(12):23-25.
[9] 牛耀宏.矿用永磁磁力偶合器设计理论及实验研究[D].北京:中国矿业大学,2014.
[10] WITCZAK P,KUBIAK W,LEFIK M,et al.Modal-frequency spectrum of magnetic flux density in air gap of permanent magnet motor[J].Archives of Electrical Engineering,2014,63(1):29-46.
WANG Lei1,2, JIA Zhenyuan1, ZHU Mingliang2, ZHANG Li2
(1.School of Mechanical Engineering, Dalian University of Technology, Dalian 116023, China; 2.CCTEG Shenyang Research Institute, Fushun 113122, China)
Abstract:Structure and principles of mine-used permanent magnet speed regulator were introduced. A sinusoidal-based speed regulating groove was designed and contact stress of the groove was analyzed by finite element method. Axial force and air gap value in the permanent magnetic speed regulator were fitted by function curve, according to characteristic function curve of the groove, torque values under different air gaps were obtained. Actual output torque of actuator was obtained through test。By comparing theoretical calculation value of torque with the test results, it is found that both have the same change trend and high coincidence degree, peak torque error was 5.5%.Through numerical calculation method of function curve fitting, the value of speed regulation torque under different air gaps is quantified, which can provide technical support for research of speed regulating mechanism of permanent magnet speed regulator.
Key words:mine-used permanent magnet speed regulator; speed regulating mechanism; speed regulating groove; contact stress; speed regulation torque
收稿日期:2018-02-01;
修回日期:2018-05-10;
责任编辑:胡娴。
基金项目:中国煤炭科工集团科技创新基金项目2014MS013);中煤科工集团科技创新基金青年基金项目(2017QN006);中煤科工集团科技创新创业资金项目(2018ZD002)。
作者简介:王雷(1984-),男,辽宁抚顺人,副研究员,博士研究生,主要从事永磁传动技术及装置的研发工作,E-mail:89378317@qq.com。
引用格式:王雷,贾振元,朱明亮,等.矿用永磁调速装置调速机构性能研究[J].工矿自动化,2018,44(7):40-44.
WANG Lei,JIA Zhenyuan,ZHU Mingliang,et al.Research on performances of speed regulating mechanism of mine-used permanent magnet speed regulator[J].Industry and Mine Automation,2018,44(7):40-44.
中图分类号:TD614
文献标志码:A
网络出版地址:http://kns.cnki.net/kcms/detail/32.1627.TP.20180619.1841.001.html
文章编号:1671-251X(2018)07-0040-05
DOI:10.13272/j.issn.1671-251x.2018020003